张勇军、陈泽兴等:基于条件风险价值的综合能源配电网优化重构方法研究
发布时间:2020-12-07
收录于话题
基于条件风险价值的综合能源配电网优化重构方法研究
陈泽兴1,张勇军2*,黄豫1,覃芸1,陈伯达3,林楷东2
(1. 南方电网能源发展研究院有限责任公司;2. 智慧能源工程技术研究中心, 华南理工大学电力学院;3. 广东电网公司广州供电局)
重点内容
一
引言
电网和天然气网耦合所构成的电-气综合能源系统(Integrated electric power and natural gas system, IEGS)具有提高能源利用效率、提高对可再生能源的消纳能力以及降低用户的用能成本等优势,逐渐收到了业界的关注和重视。多能耦合程度的加深使得传统配电网的优化需注重多能耦合系统之间的相互影响并在优化模型中加以考虑。
配电网重构是配电网优化运行的一种有效措施,其只需对配电网络的开关组合进行调整,无需增加投资即可达到均衡负荷、提高电压质量和降低网络损耗等目的。因其具有快速操作、均衡负载的优势,故除了在促进配电网自身优化水平提升的效果外,在耦合的IEGS中也有望提升两个系统互补互济的效能。
二
IEGS中配电网优化重构的需求
1)在电-气耦合程度加深的背景下,如何综合考虑两个网络之间相互制约约束,并基于配电网络重构的快速有效手段,提升IEGS的综合运行优化水平还有待进一步研究。
2)IEGS中风光等可再生能源的广泛接入,配电网重构面临着源荷不确定性增强的问题。如何量化不确定带来的安全风险以及保证系统运行经济性,需进行深入建模分析。

⬆ 图1 IEGS典型结构示意图
三
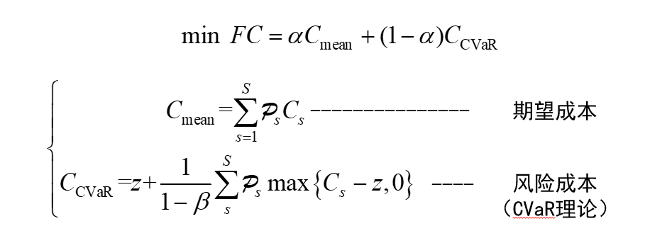
条件风险价值理论(CVaR)量化目标风险
将IEGS中源-荷不确定离散为多个场景,结合CVaR不确定风险量化理论,考虑每个场景下的成本期望和风险量化,构建IEGS中配电网优化重构模型。

式中:β为风险置信水平,α∈[0,1]为权重系数。任一场景的运行成本Cs含能源购置成本、切机切负荷成本。
四
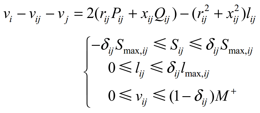
IEGS配电网重构控制量约束研究
1)支路开断潮流约束(重构控制量)

⬆ 图2 线路开断示意图
引入松弛节点电压变量vij,离散变量δij,构造线性化潮流约束。

式中:Smax,ij、lmax,ij分别为支路ij的最大传输容量和最大电流的平方,M+为任意较大数。Sij=Pij +jQij为流经线路的复功率。lij为流经配电线路电流幅值的平方,rij、xij为线路的电阻、电抗值。
2)配电网辐射状约束
引入虚拟单位负荷的概念,利用同一个待优化的拓扑网络,令除电源点外各个节点均有单位负荷s’i,构建单位负荷响应下的无损潮流线性表达式。

式中:S’ij为单位负荷响应下各支路的传输功率
五
算例分析研究
⬇ 表1 重构前后不同仿真情景结构对比

优化重构后IEGS运行成本期望值、风险成本和计及CVaR的总成本均有下降,切负荷费用降低到0。
考虑重构后,不考虑源荷不确定性的方案不能反映不确定性给系统带来的风险损失,目标函数相对较低。
源-荷不确定程度增大时配网重构方案改变了,说明了IEGS需要更具鲁棒的重构结果来应对源-荷的波动。


⬆ 图3 重构前后节点电压分布


⬆ 图4 重构前后节点气压分布
考虑优化重构后,改善了传输功率分布,改善了节点电压,提高了配电网的供电能力。抬升了气压节点,提升供气能力裕度,提高系统运行的可靠性。
本文引文信息
陈泽兴,张勇军,黄豫,等. 基于条件风险价值的综合能源配电网优化重构方法研究[J]. 全球能源互联网,2020,3(6):590-599.
CHEN Zexing, ZHANG Yongjun, HUANG Yu, et al. Optimal Reconfiguration of Distribution Networks in Integrated Energy Systems Based on Conditional Value at Risk[J]. Journal of Global Energy Interconnection, 2020, 3(6): 590-599(in Chinese).
作者简介

陈泽兴
博士,工程师
研究方向为能源互联网优化运行规划、电网规划运行。


张勇军
博士,华南理工大学电力学院教授,博导,智慧能源工程技术研究中心主任
主要研究方向:主动配电网、无功电压控制、可靠性与规划,能源互联网运行控制等。
编辑:李锡
审核:白恺
郑重声明
根据国家版权局相关规定,纸媒、网站、微博、微信公众号转载、摘编本网站作品,需包含本网站名称、二维码等关键信息,并在文首注明《全球能源互联网》原创。 个人请按本网站原文转发、分享。


