【专题论文】用于区域间电网互联的新型VSC虚拟同步技术
发布时间:2020-04-08
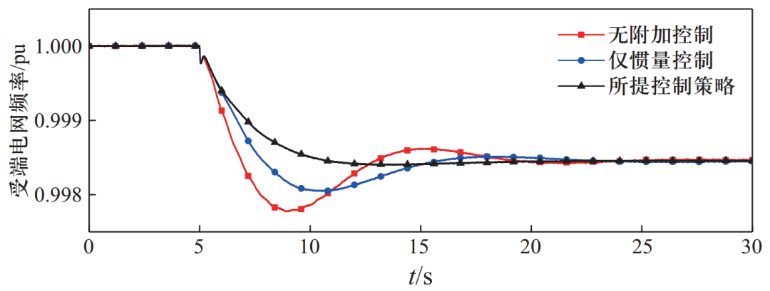
用于区域间电网互联的新型VSC 虚拟同步技术 刘宏伟1,袁枭添2,洪昊1,王丽群3,吴非斐3,李宇骏2 (1.国网杭州供电公司;2.西安交通大学电气工程学院;3.杭州电力设备制造有限公司) 文章摘要 传统基于PLL电网跟踪型控制在电网短路比(SCR)较低或PLL带宽较高情况时,给电力系统引入负阻尼导致系统不稳定。因此,本文提出了一种不依赖于PLL的用于区域间电网互联的新型VSC虚拟同步控制。首先,通过构造VSC直流电压与受端系统频率间的下垂特性,当受端电网受扰后,受端换流器可为系统提供惯量支撑。其次,通过测量送端电压波动与直流电流的波动可计算受端交流系统的频率扰动,通过模拟同步机的一次调频特性,在受端电网受扰时,送端电网可不依赖通信为受端电网提供频率支撑。与传统控制相比,在系统受扰时,利用电容储能及送端电网的调频能力为其提供频率支撑。基于PSCAD/EMTDC仿真算例验证了受端系统弱SCR场景、负荷变化场景下所提控制策略的有效性。 文章亮点 1 提出了一种不依赖于PLL和远端通信的用于区域间电网互联的VSC虚拟同步控制; 2 受端换流器模拟同步机,送端换流器模拟原动机,在受端电网受扰时,VSC-HVDC通过直流电容储能和送端电网调频能力为受端电网提供频率支撑; 3 仿真算例验证了受端系统弱SCR场景、负荷变化场景下所提控制策略的有效性。 主要内容 传统的VSC-HVDC阻断了送端和受端交流系统之间的联系,使得受端电网的“有效惯量”水平不断降低;同时,传统VSC站由于采用基于锁相环的矢量电流控制策略,在弱电网场景下容易引发系统失稳。基于以上背景,本文提出并解决了两个问题:1)如何实现VSC无需PLL的自同步过程;2)如何协调配合送端换流器和受端换流器,使得VSC-HVDC能够为受端电网提供有效的惯量和频率支撑,同时避免直流电压波动过大。 ![]() ⬆ 图1 区域间电网VSC-HVDC互联示意图 通过将受端换流器直流电压和电网频率进行耦合,受端换流器可实现无需PLL的子同步过程,同时利用直流电容储能提供惯量;不需要通信,送端通过测量直流电压波动与直流电流的波动即可计算受端交流系统的频率波动。为了充分发挥送端源侧系统的紧急救援能力,为受端系统提供更加充足的频率支撑能力,同时避免直流电压波动过大,送端换流器模拟同步机的一次调频过程。 ![]() ⬆ 图2 所提VSC-HVDC整体控制策略框图 ![]() ![]() ⬆ 图3 电网强度突降、负荷突增场景下仿真结果 该控制策略可有效模拟同步机,在系统受扰时,利用电容储能及送端电网的调频能力为其提供频率支撑。基于PSCAD/EMTDC,将所提策略在受端系统SCR突降、负荷突增场景下进行了测试。仿真结果显示,和传统控制相比,所提控制策略能够有效增强弱交流、低惯量电网的频率稳定性。 本文引文信息 刘宏伟,袁枭添,洪昊,等. 用于区域间电网互联的新型 VSC 虚拟同步技术[J]. 全球能源互联网,2019,3(2):142-150. LIU Hongwei, YUAN Xiaotian, HONG Hao, et al. Novel virtual synchronous control of VSC-based HVDC transmission for interarea connection[J]. Journal of Global Energy Interconnection, 2019, 3(2): 142-150(in Chinese). 作者简介 ![]() 刘宏伟 主要从事电力系统运行和控制研究工作 ![]() ![]() 袁枭添 博士研究生 主要从事新能源电力系统稳定性分析与控制方面的研究工作 E-mail:yxt2013@stu.xjtu.edu.cn ![]() ![]() 李宇骏 博士,副教授 主要研究方向为交直流电力系统的动态分析和稳定控制 E-mail:yujunli@xjtu.edu.cn 编辑:李锡 审核:白恺 |
郑重声明
根据国家版权局相关规定,纸媒、网站、微博、微信公众号转载、摘编本网站作品,需包含本网站名称、二维码等关键信息,并在文首注明《全球能源互联网》原创。 个人请按本网站原文转发、分享。










