国网江苏电科院袁晓冬等:计及光伏区间预测和储能SOC均衡的配电网优化
发布时间:2019-12-06
该文受国家电网公司总部科技项目(5210D0180006)资助。
作者:袁晓冬1,郁正纲2,张宸宇1,伏祥运2,李建林3
单位:1.国网江苏省电力有限公司电力科学研究院;2.国网江苏省电力有限公司连云港供电分公司;3.中国电力科学研究院有限公司

文章导读
以光伏为代表的新能源发电技术,正深刻改变着全球电力与能源结构。光伏发电的不确定性推动着储能技术的应用和发展,广域布局的光伏与分布式储能系统(Distributed Energy Storage System,DESS)的有效结合已成为当前配电网安全、经济和高质量运行研究的热点,储能是解决高渗透率光伏输出功率波动的有效手段。

文章亮点
(1)提出一种结合相邻时段实时预测误差与极限学习机的光伏功率区间预测方法,在保证计算时长的情况下显著减少区间预测宽度,显著提高了预测精度;
(2)提出DESS区间离散SOC(荷电状态)均衡方案,将DESS的SOC均衡与系统优化相结合,有效降低网损、改善电压分布,同时提升了储能运行寿命,实现了配网的最优运行。

摘要
光伏发电具有随机性、间歇性等特点,其大规模接入配电网给电网安全、经济运行带来挑战。储能是解决高渗透率光伏输出功率波动的有效手段。为此,提出一种结合相邻时段实时预测误差和极限学习机的光伏功率区间预测方法;提出一种分布式储能的区间离散SOC均衡控制策略。在此基础上,构建了包含储能运行成本、系统网损和电压偏差的多目标区间优化运行模型。应用区间泰勒展开的仿射算法将不确定区间潮流问题转化为确定性代数方程组实现潮流计算,同时依据电压–功率和网损–功率灵敏度矩阵重新表达目标函数,采用线性规划法求解。最后,基于改进的IEEE33节点配电网络进行了算例仿真,仿真结果表明,所提光伏功率区间预测方法可以显著提升预测精度,所提储能控制策略能够有效降低网损和改善电压分布。

⬆ 图1 修改的IEEE33节点配电系统结构图
使用修改的IEEE33节点配电系统进行验证分析,系统容量10MVA,额定电压为10kV。在12、22、30处接有额定容量为600kW的光伏电站。为考察储能对光伏并网的影响,在16、20和30节点处接入额定容量为400kW/2MWh的锂离子电池,能量效率为95%,循环寿命为5000次。
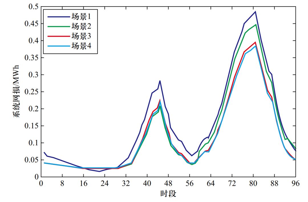
结合四种运行场景,对优化运行中储能越限情况、系统网损和电压状态进行分析。
场景1:无储能参与系统优化运行。
场景2:储能无附加SOC均衡措施参与优化。
场景3:储能以直接SOC均衡的方式参与优化。
场景4:储能以离散SOC均衡的控制策略实现最优运行目标。

⬆ 图2 各场景下系统网损曲线
从图中可以看出:场景1未经优化,网损最大;场景2中,前期网损最低,但从第60个时段开始,网损变大,主要是由于16节点储能设备达到最低放电深度,不能继续参与优化,在第91个时段,30节点的储能也停止优化,网损趋于未优化的场景1;场景3和4的网损始终保持在较低水平,证明采用SOC均衡方法对系统网损具有更强的优化效果。在一天的前一部分时段,负荷量较少,场景2-4中的网损曲线基本一致,后一部分时段,负荷量大,各场景网损差异较为显著。总体网损的优化效果排序:场景4>场景3>场景2>场景1。

⬆ 图3 各类场景下节点电压标幺值
可以看出,场景1中不采用储能均衡方式运行时,电压越限情况较为严重;场景2中无电压越限现象;在场景3-4中,24h仿真时域内绝大部分时段节点电压标幺值在[0.95,1.05]之间,少数越限时段为负荷高峰期,主要是由于储能容量多用于降低网损导致,而此时场景2中一部分储能运行在过充过放模式,仅能提供较多无功输出,故而无电压越限。计算得出,场景1、2、3和4中电压越限总量分别为1.78、0、0.31和0.22。说明场景4所提储能控制策略具有较强的电压调控能力,满足配网优化运行的电压要求。

作者简介

袁晓冬
研究员级高工
研究方向为电能质量、新能源发电及并网、电力储能应用等,
E-mail:
lannyyuan@hotmail.com


郁正纲
研究员级高工
研究方向为电力系统运行与分析、状态监测、可再生能源发电并网。


张宸宇
高级工程师
研究方向为直流配电网、电能质量治理等。
研究团队
国网江苏电科院袁晓冬领衔电能质量分析与新能源微电网技术团队开展科研攻关,主持和参与14项国家电网公司重点科技项目以及7项国家、行业标准编写。曾获中国电工技术学会科技创新奖、科技进步二等奖、江苏省青年科技奖、江苏省科技进步三等奖以及国家能源科技进步奖三等奖。
编辑:张宇
审核:白恺
郑重声明
根据国家版权局相关规定,纸媒、网站、微博、微信公众号转载、摘编本网站作品,需包含本网站名称、二维码等关键信息,并在文首注明《全球能源互联网》原创。 个人请按本网站原文转发、分享。



