“东数西算”背景下大型数据中心建设对电网规划的影响研究
发布时间:2022-12-02
“东数西算”背景下大型数据中心建设对电网规划的影响研究
卢子敬1,邓艺欣2,蒋霖1,李金雨2,刘子嫣2,梁海峰2*,张铁峰2
(1. 国网湖北省电力有限公司;2. 华北电力大学电气与电子工程学院)
本文发表在《全球能源互联网》2022年第6期,受全球能源互联网集团有限公司科技项目“面向信息通信新技术发展的电网规划关键问题研究”(SGGEIG00JYJS2100037)资助。欢迎品读。
文章导读
随着数字新基建的不断发展,数据中心单机柜功率密度不断增加,数据中心耗电量大、用电成本高的问题也越来越突出。将数据中心有序向清洁能源丰富的西部转移,不仅可促进数据中心绿色发展,就地消纳风、光等绿色能源,而且能减少线路上远距离传输的功率。基于此,研究“东数西算”背景下数据中心对电网规划的影响,构建考虑数据中心在内的电网规划双层模型,为考虑数据中心的电网规划提供了策略参考。
文章亮点
1)在“东数西算”背景下,探究了不同位置数据中心对电网规划的影响;
2)从数据中心耗电量大、用电成本高及西部地区清洁能源消纳的角度,提出了考虑数据中心的电网规划方法。
主要内容
考虑数据中心在内的电网结构示意图如图1所示。风电场、光伏电站、储能系统通过变换器与系统交流母线相连,数据中心、地方负荷也等值连接到系统交流母线上。

⬆ 图1 考虑数据中心在内的电网结构示意图
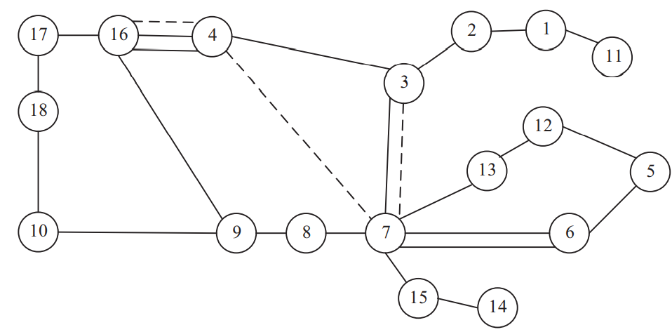
设置两种规划方案,通过对比两种方案下的电网规划结果来验证所提规划模型的有效性。方案1:数据中心建在东部地区B的节点2、节点 12、节点8和节6上。方案2:将数据中心迁移至西部地区,即将位于东部地区B的节点2和节点12的数据中心移入西部地区A的节点16上,将位于东部地区B的节点6和节点8的数据中心移入西部地区A的节点18上。数据中心接入18节点系统的网架结构图如图2所示。

⬆ 图2 数据中心接入18节点系统的网架结构图
考虑数据中心用能特性,在处理数据中心延迟容忍型数据负载规定时限内,将数据中心延迟容忍型数据负载尽可能转移至清洁能源出力增加的时段,进一步促进清洁能源消纳。一天内数据中心数据负载转移前后负荷功率变化如图3所示。

⬆ 图3 数据中心数据负载转移前后负荷功率变化图

⬆ 图4 不同方案下电网规划结果对比
⬇ 表1 不同规划方案成本对比

结合图4与表1,虚线为方案1比方案2多建设的3条线路,并且这3条线路都是风光的送出通道,方案2比方案1降低了储能系统投资成本4%、风光未利用惩罚成本15%。由此可见,“东数西算”背景下,将数据中心考虑到电网规划中不仅可以促进西部地区清洁能源的消纳,而且可以节省网架规划中线路投资的费用,并提升了输电线路的利用率。
本文引文信息
卢子敬,邓艺欣,蒋霖,李金雨,刘子嫣,梁海峰,张铁峰. “东数西算”背景下大型数据中心建设对电网规划的影响研究[J]. 全球能源互联网,2022,5(6):552-562.
LU Zijing, DENG Yixin, JIANG Lin, LI Jinyu, LIU Ziyan, LIANG Haifeng, ZHANG Tiefeng. Research on the Influence of Large-scale Data Center Construction on Power Grid Planning Under the
Background of East Digital West Computing [J]. Journal of Global Energy Interconnection, 2022, 5(6): 552-562 (in Chinese).
研究团队

华北电力大学是教育部直属全国重点大学,是国家“211工程”和“985工程优势学科创新平台”重点建设高校,是国家“双一流”世界一流学科建设高校。电气工程为国家“双一流”建设学科,电力系统及其自动化为国家级重点学科,形成了许多独具特色、在国内外有较大影响的科研成果。梁海峰老师课题组致力于包括电力系统规划与运行、微电网技术、新型输配电技术和电动汽车与电网等领域的研究。近年来,发表期刊论文数十余篇,主持或参与科研项目三十余项。
作者简介

卢子敬
高级工程师
研究方向为电力系统规划与运行
E-mail:
13701161@qq.com


梁海峰
博士,副教授
研究方向为电力系统规划与运行、微电网技术、新型输配电技术和电动汽车与电网等,通信作者
E-mail:
hfliang@ncepu.edu.cn


邓艺欣
硕士研究生
研究方向为电力系统规划、新能源及配电网管理
E-mail:
xindengyi@163.com
编辑:张 宇
审核:周 舟
《全球能源互联网》中文期刊贯彻落实习近平总书记关于探讨构建全球能源互联网重要指示精神而创办,是国家电网有限公司重点培育的科技期刊,致力于通过发表能源电力、先进信息、气变环境、经济社会等领域最新研究成果,推进构建新型电力系统,加速全球能源绿色低碳转型,助力实现“碳达峰、碳中和”目标。
期刊面向全球公开发行,是中国科技核心期刊,并被中国科学引文数据库(CSCD)、DOAJ 数据库等收录。期刊审稿速度快,平均周期2个月,不收取版面费并设有优厚稿酬。优秀论文作者有机会受邀出席联合国、全球能源互联网发展合作组织、IEEE、中国电机工程学会等国际组织和学术团体举办的学术活动。
诚邀各位专家赐稿交流。
郑重声明
根据国家版权局相关规定,纸媒、网站、微博、微信公众号转载、摘编本网站作品,需包含本网站名称、二维码等关键信息,并在文首注明《全球能源互联网》原创。 个人请按本网站原文转发、分享。
                


