基于新型抽蓄的绿色蓄能调水工程研究
发布时间:2022-11-28
基于新型抽蓄的绿色蓄能调水工程研究
刘泽洪,梁旭明,周原冰,肖晋宇,侯金鸣,张瑾轩
(全球能源互联网发展合作组织)
本文发表在《全球能源互联网》2022年第6期,受国家自然科学基金项目(72140006)资助。
摘要
中国西北地区的经济社会发展长期以来受到水资源短缺问题的困扰。当前在能源转型的大背景下,西部地区丰富的风、光新能源资源的规模化开发受限于电力系统调节能力制约。为统筹解决水资源短缺和新能源开发受限这两个难题,提出了兼具跨流域调水和储能电源双重功能的新型抽蓄概念,并基于此设计了从西南“五江一河”到西北的绿色蓄能跨流域调水工程。工程年调水量400亿m3 ,全长1.1万km,新增抽蓄装机6.5亿kW,水力发电装机1.9亿kW。工程可满足新增10万km2 耕地的用水需求,满足15亿~20亿kW新能源灵活性调节要求,具有显著的社会经济环境效益。
主要内容
0
引言
中国西北地区气候干旱,降水稀少,蒸发旺盛,特殊的地理位置及气候条件决定了西北地区水资源短缺的问题。西北内陆河流域深居欧亚大陆腹地,属于典型的大陆性气候区,降水量较少且流域内降水主要分布在上游山区。以新疆为例,84%的降水量来自山区,下游地区降水稀少,不能满足农业生产的需要,因此区内以灌溉农业为主。且内陆河水资源多以冰雪融水补给为主,汛期径流冰雪融水贡献比例可达60%以上,径流年内分布高度集中。部分河流汛期陡涨,枯期断流,开发利用难度大。西北地区水资源供需矛盾日益突出,制约了经济社会发展。而中国西南地区拥有“五江一河”(雅鲁藏布江、怒江、澜沧江、金沙江、雅砻江、大渡河),河流水量充沛、水质优良却利用率低。西部跨流域调水是一项解决水资源时空分布不均的关键举措,可以有效缓解西北地区水资源短缺问题,显著提高西南地区水资源利用率,对于实现大范围水资源优化配置、改变中国西部地区经济格局具有重要意义。
另一方面,西部地区风、光资源丰富,风光新能源技术开发潜力在千亿kW以上,开发潜力巨大。大力发展可再生能源,加快电能替代,可以降低对进口油气资源的依赖,提升能源安全水平。然而,风、光发电具有随机性和波动性,规模化开发受电力系统调节能力制约。近年来,由于本地消纳能力有限、远距离大容量输电能力不足、系统调节资源不足,西北地区风、光资源利用率有待提升,制约了新能源方面的进一步发展。2015—2018年,新疆、甘肃的风电利用率均低于80%。因此,提升新能源消纳能力,提高风光资源利用率,成为未来西部地区新能源发展亟待解决的关键问题。
统筹解决水资源分布不均和新能源开发受限这两个难题,是实现西部地区可持续高质量发展的关键。本文提出了兼具跨流域调水和调节能力的新型抽蓄概念,并设计了从西南“五江一河”到西北的绿色蓄能跨流域调水工程,有望成为破解这两个难题的解决方案。
1
新型抽蓄理念与绿色蓄能调水工程
1.1 新型抽蓄理念
建国以来,为解决西部水资源分布不均的问题,社会各界对从西南到西北的跨流域调水开展了广泛研究,国家正在开展南水北调西线工程方案的论证工作。比较知名的、广为传播和讨论的西部调水设想有林一山西部调水方案、陈传友大西线调水设想、王浩“红旗河”方案等,这些方案针对工程选线、调水规模、调水方式及施工难度等都进行了研究。总的来说,这些调水设想的选线依据常规调水方式的经验,以寻找自流路径为核心,利用高位水体自身的重力势能实现水的空间转移。由于青藏高原东南部地区具有被一系列大江大河深深切割的高山深谷的特殊地貌,这些方案往往难以找到连续的自流路径,必须建设大量深埋长隧洞,工程建设难度大、投资高。常规调水极少采用电泵提水方式,一般认为电泵提水在调水过程中持续耗能,运行费用高。即使采用电泵提水,也尽量控制提水高度以减少能耗。同时为降低设备投资,运行过程中需保持较高的电泵利用效率,故需要火电等稳定的电力供应,用电成本难以下降且带来较多的碳排放。
中国西部地区风、光等新能源资源丰富,新能源发电成本快速下降,使以清洁能源为电源的大规模电泵提水逐渐具备经济可行性。借鉴抽水蓄能理念,如能利用富余风光资源提水,即可解决能耗问题。常规的抽水蓄能在上库和下库之间就地循环抽发,如果在发挥储能功能的同时,能够实现水的跨流域输送,就可以统筹解决水资源优化配置和促进新能源消纳这两大难题。基于此,本文提出了“新型抽蓄”理念。所谓新型抽水蓄能,即指以新能源为主要动力,在流域间建设一系列调蓄水库、不同高程的短距离引水道、可逆式水泵水轮机组和水轮发电机组,实现跨流域调水和电能存储的一种综合性水利水电工程。
新型抽蓄改变了常规抽蓄在同一组上、下水库间就地循环抽发的运行方式,既可“就地抽发”也可“异地抽发”;改变了常规调水水流方向由重力决定的特点,可由新能源驱动在不同高度间自由流动,克服地形障碍。新型抽水蓄能是一种联结“水系统”与“电系统”的综合工程,具有调水和蓄能两个功能,实现了“水”与“电”两种资源的高效利用和协同优化,主要具有以下特点。
1
以富余时段新能源为能量来源,为克服地形障碍提供全新解决方案。
2
抽水端与发电端分离,可根据调水和储能需求分别设计和部署。
3
具有“就地抽发”和“异地抽发”两种运行方式,适应新能源的波动性和水资源的时空不均衡性。即就地抽发主要提供灵活性,异地抽发同时实现调水功能。
4
依托大规模水库群的调蓄能力,实现水的稳定配置和电的灵活调节两大功能。
1.2 绿色蓄能调水工程
基于“新型抽蓄”理念,建设由西南“五江一河”至西北黄河上游、河西走廊和新疆的绿色蓄能调水工程,以新能源为动力来源,克服高差实现水资源跨流域调配,有望统筹解决西部水资源优化配置和新能源电力开发消纳问题。工程主要由提水、引水和发电三部分构成,如图1所示。

⬆ 图1 绿色蓄能调水工程结构示意图
提水工程包含调蓄水库、压力管道和可逆式水泵水轮机组等,用富余时段新能源电力提水,实现障碍翻越和能量存储;引水工程包含明渠、管道及隧洞等,将水从取水端输送至受水端;发电工程包括水力发电机组等,利用势能发电回收能量,将随机波动的新能源电力转化为可调节的水电电力。
根据取水流域丰枯变化、新能源随机波动等情况,工程可灵活地采用异地抽发和就地抽发两种不同运行方式,分为四种情况,如表1所示。丰水期承担主要的调水任务,以异地抽发为主:新能源大发时,提水工程作为灵活负荷,从取水点抽水并存于水库;新能源出力下降时,根据系统需要减少或停止取水端提水,提高受水端发电出力。枯水期调水量较小,以就地抽发为主:新能源大发时,从取水点抽水并存于水库;新能源出力下降时,提水工程停止提水,甚至切换为发电模式,将水放回取水流域。
⬇ 表1 绿色蓄能调水工程的4种运行状态

绿色蓄能调水工程突破了传统调水工程的局限,同时完美契合新能源开发,实现了以风光换水、电水同输的功能。具有如下三方面优势。
1)相比常规调水,技术制约少,可选方案更多。将常规调水的大范围单一高程自流线路选择问题,变为多段自流路线选择,从原理上增加了一个自由度,可以通过建设多个提水段、自流段来翻越高山峡谷,大大提高工程的技术可行域,也增加了取水点和调水路径的选择范围,有效回避了常规调水常见的连续等高线绕行距离过长、地质脆弱地区深埋长隧洞建设施工难度大等工程难题。
2)工程规模可控,不存在单体超级工程,风险隐患少。绿色蓄能调水工程可选方案丰富,可以“化整为零”,把超大工程分散为多个中小型的单体工程,既避免了常规调水单一超级工程施工难度大、投资高的问题,也大大降低了地质灾害等特殊情况下工程受损的程度和重新恢复运行的难度。特别对于青藏高原东南部地区,其具有被一系列大江大河深深切割的高山深谷特殊地形地貌且地质灾害多发,基于新型抽蓄的调水工程相比常规调水工程,其韧性和安全性大大提高。
3)为电力系统提供灵活调节能力,支撑新能源更大规模开发和利用。工程的灵活调节能力包括三个方面,一是抽水用电负荷是一个可调节、可中断的灵活负荷,二是工程受水端的水电可调可控,三是取水端在非调水时段可转换为“就地抽发”的常规抽蓄。绿色蓄能调水工程能够与随机波动性强的新能源有效匹配,在抽水端和发电端为电力系统提供双向的灵活性调节能力,为实现全社会“碳达峰、碳中和”战略目标和能源系统的清洁转型提供强力支撑。
1.3 新型抽蓄的装机优化模型
随着能源系统清洁转型,能源生产将转向清洁主导,以风电、光伏等清洁能源发电为主的清洁电力系统将逐步取代以化石能源为主的高碳排放电力系统,碳中和目标下至2050年中国清洁能源装机将达69亿kW。由于清洁能源发电具有随机性和波动性,提升电力系统灵活性是消纳大规模清洁能源、保证系统安全稳定和经济运行的关键。
新型抽蓄作为一种特殊的储能系统,可根据清洁能源发电的波动性和来水的时空分布特性统筹优化电能和水势能的转换,将成为重要的灵活性资源。本文针对新型抽蓄这一特殊的灵活性资源进行电力系统生产模拟的建模,量化分析运行特性和运行约束,根据新能源发电的波动性和取水河流来水的时空分布特性,统筹优化计算最优的机组利用率,并基于此利用率,根据调水总规模提出相应的抽水和发电机组装机容量,估算与绿色蓄能调水工程配套的新能源装机量。
1.3.1 新型抽蓄建模
1)清洁能源模型。
建模针对以风电和光伏为代表的清洁能源,考虑风光出力的随机性和波动性,允许系统在灵活调节能力不足时切除部分可再生能源出力。

式中:w 表示清洁能源机组;
和
分别表示清洁能源的出力与未利用的功率;
表示风光机组w在t 时刻出力比例;CwW表示清洁能源机组的装机容量。
2)新型抽蓄模型。
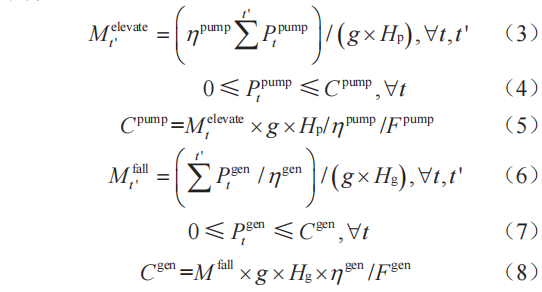
本文将抽水过程建模为一个灵活的用电负荷。对于单个抽水机组,应用最小和最大输出以及最小运行时间约束,同时对所有机组进行聚类以模拟整个运行条件。

式中:
表示在时间段t' 内提升水的质量;Ptpump表示在t 时刻的提水负荷;ηpump表示提水效率;g表示重力加速度;Hp 表示扬程;Fpump表示提水机组利用率。式(3)表明提水增加的重力势能等于消耗的电能乘以综合能量转换效率;式(4)表明机组提水过程中,功率负载在任何时候都不会超过其总容量;式(5)表明装机容量与利用率之间的关系。
水力发电过程反向同理。
参照国内外大型水利水电工程情况,设定提水效率为0.85,水力发电效率为0.95。
3)水库及输水模型。
新型抽蓄的调节水库蓄水和输水建模符合最大蓄水、输水能力以及水平衡的约束。蓄水能力取决于水库的规模,主要受地形条件影响;输水能力,即引水工程最大流量。蓄水能力和输水能力可以在最大蓄水和输水能力约束下,结合风光水特性优化。

式中:
和
分别表示t' 时刻流入和流出的水量;TrR表示以最大输水量将水库填满或放空所需的时间。式(9)表示相邻时刻的水平衡;式(10)表示任意时刻水库蓄水量不超过其最大容量;式(11)—(12)表示水库r 的进水量和出水量未超过水库最大调节库容。
4)优化目标。
基于新型抽蓄模型、清洁能源模型建立包含电力和水的联合优化模型GTSEP-W。模型以系统总成本最低为目标,针对抽蓄机组、发电机组的利用率和装机以及水库之间的水流量进行优化,对应的数学表达如下:

式中:IwW表示风电、光伏的单位投资成本;IrR表示包括压力管道、隧洞、明渠等在内的引水工程单位成本;Igen和 Ipump 分别表示水力发电机组和抽水机组的单位投资。GTSEP-W模型由Cplex求解器求解。
1.3.2 边界条件
针对本文所提调水方案中的7个调水通道,根据全球能源互联网发展合作组织在清洁能源发电方面的研究成果,以2050年的预测数据以及经济技术参数为边界条件展开研究。
2
绿色蓄能调水工程方案初选
2.1 方法与总体原则
根据新型抽蓄理念,以卫星影像、数字高程模型、水文数据等数字化信息为基础,本文设计了由西南“五江一河”至西北的绿色蓄能调水工程。抽蓄选址遵循如下原则:选址与调水方向大致一致,靠近水源;地形条件合适,优先选择三面环山的位置;地质条件好,岩层稳定;满足一定的技术参数要求,如水头200~600 m,距高比3~10等;避让自然保护区,尽量避开村庄、耕地等,减少水库的淹没损失。调水路径选择遵循如下原则:考虑已建、规划水电站和抽蓄布局;符合调水大致方向的基础上,尽可能缩短调水路径长度;避让风景名胜区、自然保护区等,尽可能避开村庄、房屋;尽量靠近现有国道、省道、县道以及乡镇公路,充分利用现有的交通条件;尽量避开不良地质地带和采动影响区等。
取水量方面,水源河流“五江一河”上游河段生态地位特殊,生态环境脆弱,调水应优先考虑保护调水河段及下游河段的生态系统结构与功能,维系良好生态。结合研究定位和计算要求,参考Tennant法作为生态水量计算的主要方法,调水量比例控制在该河段的20%~30%。此外,“五江一河”上游地区海拔较高,地质条件复杂,施工难度大,考虑合适的隧洞直径、陡坡明渠开挖宽度等,采取单一通道调水有工程规模过大的问题,宜采取“灵活分散”的原则设计路径方案,即同一方向上选择多个路径进行分散调水,每条路径年调水量在30亿~70亿m3为宜。
2.2 方案规划
工程自“五江一河”取水,年调水量400亿m3,至黄河后一部分补充黄河径流,主要供给甘肃、宁夏、内蒙古、陕西、山西等地用水;另一部分继续调水至新疆,最远到达和田,且兼顾河西走廊地区。工程共包含7个跨流域段及35个调水通道,全长1.1万km,跨越西藏、云南、四川、青海、甘肃、新疆六地。工程总览如图2所示。

⬆ 图2 调水工程总览示意图
西部调水工程建设必然要考虑到与西南水能资源开发之间的相互影响,本文收集了“五江二河”(“五江一河”与黄河)流域上游已建、在建及规划的水电项目的相关资料,设计调水通道充分考虑了已建和规划水电的情况,已建、规划水库可作为每条调水通道的起点或终点。调水通道总览及其与干流主要水电的关系如图3所示。7个跨越段的主要信息如表2所示。

⬆ 图3 调水通道总览及其与干流主要水电的关系
⬇ 表2 跨越段信息

2.3 工程规模与投资
根据优化模型,选取方案中的7个通道分别进行优化,最优的平均抽水利用率在0.21~0.23,本文按0.22即抽水利用小时数1900 h计算整个工程的装机情况;为满足负荷要求和供水要求,水力发电利用小时数设定为5500 h(即利用率0.628)。基于新型抽蓄的绿色蓄能调水工程相当于为电力系统配备了巨型的储能装置,基于清洁能源发电的波动性和来水的时空分布特性统筹优化电能和水势能的转换,可按照实际需求实现电能及水资源在时空上的重新分配和调控。利用工程抽水和发电两侧共同提供的调节能力,平抑清洁能源发电的随机波动性,优化输电外送功率曲线,保证系统输出持续稳定可调节的电力,如图4所示。

⬆ 图4 新型抽蓄提供调节能力示意图
新型抽蓄与风电、光伏打捆后的出力及消纳情况如图5所示。新型抽蓄有效平抑了清洁能源发电的随机波动性,保证系统输出持续稳定可调节的电力。全年风、光资源利用率在90%左右。

⬆ 图5 新型抽蓄运行工况示意图
经统计和测算,引水工程总长度达11267km。方案自流段以沿山体等高线的明渠为主,占比超过80%,明渠渠顶宽18~25 m,渠底宽16~23 m,深度不超过6.5 m;需修建隧洞56条,长度共计596 km,直径11~15 m,单条最长隧洞20.5 km,埋深不超过300 m;压力管道长度1010 km,直径3.4~4.8 m。新建水库271座,总库容329亿m3,大坝高度多在150 m以下,最大不超过250 m。上述引水明渠、隧洞、压力管道和大坝工程均未超过目前已建、在建水利和水电项目单项工程的规模,不存在难以克服的技术困难。建设抽蓄装机6.5亿kW,发电装机1.9亿kW。工程年用电量1.23万亿kWh,年发电量1.06万亿kWh,耗电量1700亿kWh,储能效率达86%,超过常规抽蓄。
按照工程类型,参考现有的调水工程和水利工程的投资,结合海拔高度等情况,综合测算调水工程总投资为6.6万亿元。扣除等量替代的抽蓄和水电投资,工程的调水投资为2.5万亿元。按照50 a运行测算,调水成本为3.5元/m3。
2.4 工程建设时序构想
工程每完成一条通道即可取得该段通道调水效益,无需等待全线完工。从国情水情出发,也没有必要各通道同时开工。按统筹规划、分段实施、水量衔接、逐期获益、合理投资的原则,分4期建设。“十四五”期间开始前期工作,预计“十五五”期间开工,至2050年全部建成,总工期约30 a。一期工程率先开展长江—黄河部分通道的建设,调水量80亿m3,与南水北调西线一期工程提出的调水要求相当。二期工程加快长江—黄河调水通道建设,初步形成长江—黄河跨流域水网;同时开展澜沧江—金沙江跨流域通道建设,做好水量衔接。三期工程继续向两端延伸,开工建设怒江—澜沧江流域通道,以及黄河—河西走廊通道。四期工程重点建设黄河—新疆通道和雅鲁藏布江—怒江通道,2050年工程全面竣工。
工程投资将主要集中在2030—2050年,即二、三、四期工程建设期间。投资高峰出现在2040年左右,主要用于推进雅鲁藏布江—怒江和黄河—新疆调水通道的建设。工程年投资金额在4000亿元以内,约为目前中国水利和水电工程年投资总额的50%。
3
绿色蓄能调水工程综合价值研究
建设新型抽蓄的绿色蓄能调水工程能够有效消化工程施工产能,带动有效投资,拓展国家发展空间和战略纵深,优化中国向西开放的地缘政治格局,重塑西北地区生态环境,促进能源低碳转型,具有显著的社会经济环境效益,实现中华民族永续发展。
经济性方面,按照等量替代常规抽蓄和水电考虑,工程折算的调水投资为2.5万亿元,调水成本为3.5元/m3,相比红旗河等西部调水构想经济性好。
粮食安全方面,可实现新增灌溉面积10万km2,增产6800万t谷物,在全国现有粮食生产水平基础上实现增产10%的目标。
促进能源转型方面,工程提水段的新型抽蓄、放水段的水电机组均为调节性电源,可为系统提供超过6.5亿kW常规抽蓄(或新型储能)的调节能力,满足15亿~20亿kW风光新能源灵活调节要求,有力支撑碳中和目标下西部风光资源的规模化开发。
生态环境方面,工程打通“五江二河”之间的水系通道,建成国家西部地区强大的统一水网,促进河道、湖泊、水库以及陆地植被恢复生机,提升西部地区生态价值。在“电-水-土-农-汇”创新发展模式下,工程碳汇能力约5700万t。按照方案总体支撑5万亿kWh新能源电量消纳计算,相当于每年减排45亿t二氧化碳、130万t二氧化硫、150万t氮氧化物和30万t烟尘。
经济社会发展方面,工程预计可拉动GDP增长9.6万亿元,30 a对经济增长的平均贡献率约为1个百分点,显著带动一、二、三产增收,增加就业岗位3200万个。工程将大大促进西部地区将清洁能源优势转化为经济优势,实现区域互助和利益共享,促进区域经济社会可持续高质量发展。
4
结论
水资源分布不均是全球普遍存在的现象。根据联合国粮农组织发布的《2020年粮食及农业状况》报告,当前全球32亿人面临水资源短缺问题,约12亿人生活在严重缺水和水资源短缺的农业地区。非洲撒哈拉、南美西部沿海、中亚等地区新能源资源丰富,水资源分布不均,绿色蓄能调水发展模式同样可适用于这些地区,通过跨流域调水解决缺水问题的同时促进当地太阳能、风能资源的开发消纳。
绿色蓄能调水工程是开发绿电、调配水源的战略工程,促进转型、保障安全的创新工程,减少排放、改善生态的绿色工程,开发西部、泽济民生的民心工程,在水资源矛盾愈演愈烈、能源安全愈来愈受重视的今天有望发挥更大的经济社会环境效益和全球价值。
作者简介

刘泽洪
刘泽洪,湖南长沙人,硕士学位,教授级高级工程师,高电压工程技术及建设管理专家。原国家电网有限公司副总经理、党组成员,现任全球能源互联网发展合作组织驻会副主席、中国标准化协会副理事长、中国电机工程学会电力系统专委会副主任委员等。
长期致力于超/特高压输电技术研究、设备研发,主持建设数十项超/特高压输电工程。主持建成世界最高电压等级准东-皖南±1100kV特高压直流示范工程,达到国际领先水平;主持建成世界上首个柔性直流电网——张北柔直工程,助力北京冬奥100%绿电供应;主持±800kV换流变压器等“卡脖子”设备研发,填补国内空白。成果促进了西电东送战略实施和清洁能源大规模开发,在传统电网中融入新型输电模式,为我国高压直流步入世界前列做出了系统性贡献。
获第十四届光华工程科技奖,国家科技进步特等奖2项、一等奖1项、二等奖1项,省部级一等奖4项。
编辑:张鹏
审核:周舟
《全球能源互联网》中文期刊贯彻落实习近平总书记关于探讨构建全球能源互联网重要指示精神而创办,是国家电网有限公司重点培育的科技期刊,致力于通过发表能源电力、先进信息、气变环境、经济社会等领域最新研究成果,推进构建新型电力系统,加速全球能源绿色低碳转型,助力实现“碳达峰、碳中和”目标。
期刊面向全球公开发行,是中国科技核心期刊,并被中国科学引文数据库(CSCD)、DOAJ 数据库等收录。期刊审稿速度快,平均周期2个月,不收取版面费并设有优厚稿酬。优秀论文作者有机会受邀出席联合国、全球能源互联网发展合作组织、IEEE、中国电机工程学会等国际组织和学术团体举办的学术活动。
诚邀各位专家赐稿交流。
郑重声明
根据国家版权局相关规定,纸媒、网站、微博、微信公众号转载、摘编本网站作品,需包含本网站名称、二维码等关键信息,并在文首注明《全球能源互联网》原创。 个人请按本网站原文转发、分享。



