华南理工大学钱瞳,唐文虎等:不确定风功率接入下电-气互联系统的协同经济调度
发布时间:2020-12-02
收录于话题
不确定风功率接入下电-气互联系统的协同经济调度
钱瞳,陈星宇,张文浩,唐文虎
(华南理工大学电力学院)
摘要
随着天然气发电机组的逐渐增长,电力网络和天然气网络之间的耦合加深,它们之间的协同运行变得愈发重要。同时,不确定新能源的接入给电力和天然气互联系统的经济安全运行带来了挑战。为了应对风电不确定性给互联系统带来的运行风险,该文采用分布鲁棒机会约束,通过数据驱动的方式,以少量的风电预测误差历史数据得到与矩信息有关的模糊集,并将形成的机会约束问题转化为易于求解的形式。另外,为了保护电、气各自的隐私信息,该文在假设存在第三方可信任的协调者的前提下,利用松弛交替乘子法,实现互联系统的分布式协同运行。仿真结果表明,分布鲁棒优化相比较于传统的随机优化可以实现较低的机会约束违反概率。另外,相比较于传统交替乘子法,松弛交替乘子法能够以更小的迭代次数达到同等的收敛精度。
主要贡献
该文研究的贡献体现在三个方面:
1
建立了基于数据驱动的风电预测误差模糊集。
2
分析了不同的分布假设对电力和天然气互联系统运行风险成本的影响。
3
验证了RADMM相较于传统ADMM在收敛速度方面的优越性。
重点内容
当前,天然气和可再生能源在电力系统中大量使用。天然气机组(natural gas units,NGUs)是电力系统中的电力供应商,同时也是天然气网络中的天然气消费者。另外,风能作为最重要的可再生能源之一,在过去几十年中经历了飞速发展。但是,可再生能源固有的间歇性和波动性给电力和天然气互联系统(integrated electricity and natural gas system,IEGS)的联合运营带来了极大的不确定性,从而使其安全性易受影响。因此,具有风电不确定性的IEGS协调调度问题具有重要的研究意义。
在很多国家(包括中国),天然气运营商(gas operator,GO)和电力运营商(electricity operator,EO)由不同的主体拥有,如何协同合作降低总运营成本对于提升整体社会福利具有显著意义。交替方向乘子法是一种解决可分解凸优化问题的简单方法,尤其在解决大规模问题上卓有成效,利用ADMM算法可以将原问题的目标函数等价的分解成若干个可求解的子问题,然后并行求解每一个子问题,最后协调子问题的解得到原问题的全局解。由此可见,交替乘子法的算法原理是适用于电-气互联系统的协同优化的。为了进一步提升ADMM的收敛速率,已经有学者引入了松弛项,构建了RADMM,注意,当松弛项的松弛项因子α设置为0.5时,RADMM即为标准ADMM。本文验证了RADMM相比较于ADMM的优越性。
如图1所示,本文假设在电气互联系统中存在第三方协调者(coordination operator,CO),负责协调电力子系统和天然气子系统的决策信息。在这种情况下,由于电力和天然气网络的协同运行主要由CO完成,因此必须在上级CO和下级GO/EO之间建立通信通道。

⬆ 图1 电气互联网络分布式运行
针对风电预测误差不确定性的高斯分布,对称分布鲁棒或分布鲁棒这三种假设情况,在图2和图3中分别给出了不同置信水平
的不同机会约束变换下的经验成本和违反概率。图2显示不同分布特性下,系统的经验运行成本随着置信水平
的变化趋势,对应的经验违反约束的概率如图3所示。从中可以看到,由于DRCC的鲁棒性最强,同样风险水平下的经验违反概率是最小的,但与此同时,这会导致系统的运行成本最高。另外,当风险水平
较小时,进一步减少风险水平就会导致极大地增加系统的运行成本。

⬆ 图2 不同置信水平1-εi的经验运行成本

⬆ 图3 不同置信水平1-εi的经验违反概率
对于电-气互联系统协同优化的场景,基于分布鲁棒机会约束规划的IEGS测试松弛交替乘子方法的性能。表1给出了使用不同松弛因子α时,RADMM算法在系统成本、迭代次数和CPU时间方面的对比情况。Nit是需要的迭代次数。
⬇ 表1 松弛交替乘子法的收敛效果

可以看出,松弛因子α的引入会影响收敛速度。当α=0.5时,RADMM即为传统的ADMM,在该设置下,RADMM方法需要40次迭代,花费55.10 s的计算时间达到收敛条件。α>0.5时,RADMM具有比传统的ADMM更快的收敛速度。当α>0.5时,目标函数的最大值(当α=0.8时)相对于集中式优化得到的结果(65903美元)的误差的数量级是10-5,仍处于可接受的精度水平。因此,这些结果表明使用稍微复杂一些的RADMM代替经典ADMM对于求解IEGS问题是合理的。
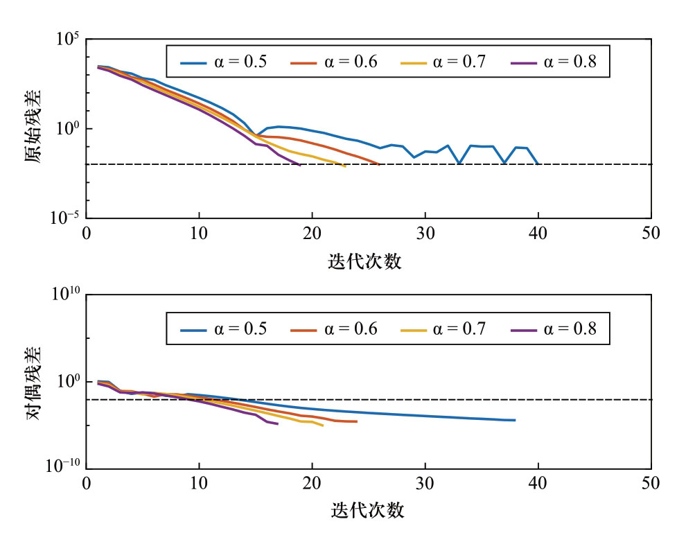
图4表示了RADMM的原始残差和对偶残差的迭代变化。可以发现,原始残差的收敛速度都比对偶残差慢,因此终止条件由原始残差确定。

⬆ 图4 RADMM计算的原始残差和对偶残差的迭代值
结论
本文采用基于分布鲁棒机会约束的方法,通过数据驱动,得到风电分布的模糊集,并且基于不同的分布假设将机会约束和目标函数转化为易于求解的形式。在有第三方可信任协调者的前提下,本文给出了基于松弛交替乘子法的求解步骤。仿真结果表明,分布鲁棒优化相比较于传统的随机优化更适合电-气互联网络处理不确定风电对耦合系统的系统。另外,相比较于传统交替乘子法,松弛交替乘子法能够以更小的迭代次数达到同等的收敛精度。
本文引文信息
钱瞳,陈星宇,张文浩,等. 不确定风功率接入下电-气互联系统的协同经济调度[J]. 全球能源互联网,2020,3(6):582-589.
QIAN Tong, CHEN Xingyu, ZHANG Wenhao, et al. Synergistic economic dispatch of wind-power-integrated electricity and natural gas systems[J]. Journal of Global Energy Interconnection, 2020, 3(6): 582-589(in Chinese).
作者简介

钱瞳
博士后
研究方向为分布式协调控制运行,多代理系统,微电网控制运行。

陈星宇
硕士研究生
研究方向为最大功率跟踪,信息物理融合系统,灾害下主动调度。

张文浩
博士研究生
研究方向为微电网控制运行,信息物理融合系统。

唐文虎
教授,IEEE高级会员,IET会士,华南理工大学电力学院院长
研究方向为可再生能源消纳,状态监测和故障诊断,弹性电网
E-mail:
wenhutang@scut.edu.cn
研究团队

唐文虎
■ 博士,教授/博导,华南理工大学电力学院院长。入选国家重大人才工程项目和Fellow of IET,兼任第十一届中国电机工程学会理事会理事、《CSEE Journal of Power and Energy Systems》期刊编委、南方电网专家委员会委员、中国电机工程学会电力防灾减灾专委会委员、中国电机工程学会能源互联网专委会委员。长期从事可再生能源发电系统建模、控制及并网方法和计算智能方法及其在电力系统运行中的应用。主持了国家级重大人才工程青年项目、英国工程物理委员会基金项目、国家重点研发计划项目课题、国家自然科学基金面上项目、国家863项目子任务、国重开放课题等项目。获省部级奖励3次,公开发表学术论文/文章150余篇和科研著作1部,获授权专利6项。

唐文虎教授所在的“智能能源网及其自动化团队”是广东省第二批海外引进科研创新团队,2011年从英国利物浦大学引进,主要从事能源系统运行优化与控制、人工智能、片上系统、智能计算、计算机学习、多代理系统、电机电器故障诊断、电力市场、电力系统信号处理、数学形态学等领域的研究。团队现有教授4名、副教授2名、讲师3名、博士后5名,在读博士研究生25名,硕士研究生56名。团队拥有1个广东省智能能源网微自动化工程技术研究中心和7个实验室,包括:智能能源网动态物理模拟实验室、电机电器状态监测与故障诊断实验室、智能能源自动化芯片研究中心、国网许继电力电子应用实验室、能源知识大数据实验室、德州仪器能源嵌入式系统实验室。
编辑:李锡
审核:白恺
郑重声明
根据国家版权局相关规定,纸媒、网站、微博、微信公众号转载、摘编本网站作品,需包含本网站名称、二维码等关键信息,并在文首注明《全球能源互联网》原创。 个人请按本网站原文转发、分享。


