冀北电科院王潇等:双馈风电场经柔性直流并网系统的宽频带振荡机理分析与风险评估
发布时间:2020-06-09
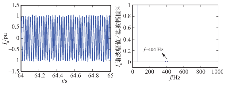
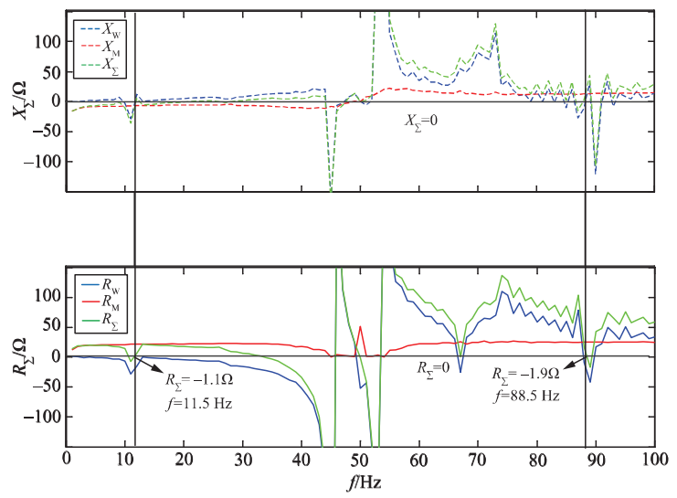
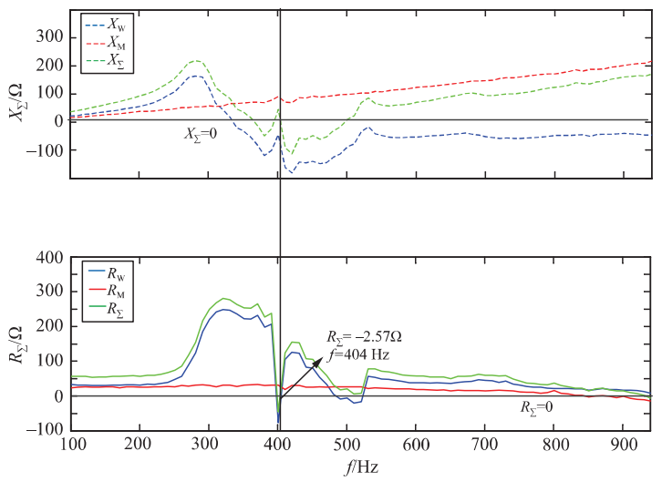
双馈风电场经柔性直流并网系统的宽频带振荡机理分析与风险评估 王潇1,2*,刘辉1,2,邓晓洋1,2,吴林林1,2,李蕴红1,2,苏田宇1,2 (1. 国网冀北电力有限公司电力科学研究院(华北电力科学研究院有限责任公司);2. 风光储并网运行技术国家电网公司重点实验室) 文章导读 风电场经柔性直流并网存在几赫兹至几百赫兹频率范围的振荡风险。首先,为复现宽频域振荡特征,基于频率扫描的测量方法,建立双馈风电场孤岛接入柔性直流的振荡分析模型。然后,采用网络阻尼稳定性判据并结合时域仿真,剖析互联系统在次\超同步频率范围和中高频范围的振荡机理。之后,考虑风机、柔性直流控制参数以及风速和并网风机台数的变化,分别针对次\超同步频段、中频段、高频段的振荡情况分析系统阻抗特性,利用阻抗聚合法量化评估各个影响因素与系统潜在振荡风险的关系,给出不同影响因素的变化对系统振荡频率的影响。最后,总结了双馈风电场经柔性直流并网系统在不同频段范围发生振荡的关键影响因素,为宽频域振荡控制提供指导思路。 研究成果 1 风机与柔性直流的控制系统相互作用是引发系统振荡的关键,风机与柔直存在自身的LC特性,在控制器的积极参与下,系统形成一定的振荡模式,同时诱发相应子系统等效电阻的减小而致使互联系统呈负阻尼,从而引发不稳定振荡。 2 风机变流器外/内环控制、送端MMC外环控制比例增益设置偏小或者锁相环比例增益设置偏大可能引发系统次/超同步振荡,其影响的潜在振荡频率由小及大。 3 风机网侧变流器内环控制比例增益设置偏大、MMC内环控制比例增益设置偏大可能会引发系统中、高频振荡,若叠加风速或风机台数的影响,控制引发的振荡将表现出更为宽泛的频率特征。 4 多种振荡影响因素的变化与振荡风险、振荡频率、阻尼存在较为明确的物理关系,为后续研究宽频域振荡控制技术提供了有力的指导思路。 主要内容 本文以双馈风力发电机组为例,研究了风电与柔直相互作用引发的系统振荡问题。首先,建立了双馈风机经柔性直流输电并网仿真模型,搭建了基于风机控制器在环的RT-Lab实时仿真系统。以基于扫频的阻抗测量为手段,确立了适用于研究对象振荡分析的阻抗模型。 ![]() ⬆ 图1 风电经柔直并网的系统结构 ![]() ⬆ 图2 风电经柔直并网系统实时仿真平台 采用扫频测量和网络阻尼判据,互联系统的振荡机理可以解释为:风机与柔直存在自身的LC特性,而在控制器的积极参与下,系统形成一定的振荡模式,同时诱发相应子系统的等效电阻的减小,导致在振荡点的互联系统等效电阻为负,从而引发不稳定振荡。 ![]() ![]() ⬆ 图3 次\超同步振荡工况系统频域阻抗特性与时域仿真结果 ![]() ![]() ⬆ 图4 中高频振荡工况系统频域阻抗特性与时域仿真结果 综合次\超同步频率、中频、高频的振荡情况,考虑风机变流器及锁相环控制、MMC控制的影响与风速、并网风机台数的变化,多种因素对风机与柔直互联系统振荡风险的影响各不相同且存在较为明确的物理关系,为后续研究宽频域振荡控制技术提供了有力的指导思路。 ![]() ⬆ 图5 各主要因素对不同频段振荡风险影响程度汇总 本文引文信息 王潇,刘辉,邓晓洋,等. 双馈风电场经柔性直流并网系统的宽频带振荡机理分析与风险评估[J]. 全球能源互联网,2020,3(3):238-247. WANG Xiao, LIU Hui, DENG Xiaoyang, et al. Mechanism analysis and risk assessment of broadband resonance in doubly-fed induction generator-based wind farms integration through flexible HVDC[J]. Journal of Global Energy Interconnection, 2020, 3(3): 238-247(in Chinese). 研究团队 风光储并网运行技术国家电网公司重点实验室于2018年命名,实验室主要开展风光储发电设备运行控制、并网性能提升、风光储并网稳定三大方向研究,拥有全套的新能源场站涉网性能试验设备与全国领先的RT-LAB实时仿真系统,建成了新能源大数据精细化分析与共享服务平台,实验室的实验检测能力、仿真测试能力和综合科研实力在网省级电科院所中位居前列。截至目前,实验室共承担各类科技项目103项,总经费10862万元。其中牵头国家级科技项目3项,参与3项,共获得省部级奖励38项,其中省部级一等奖4项,获得授权专利120项,主持和参编标准28项,其中国标10项,行标7项,企业标准11项。 作者简介 ![]() 王潇 高级工程师,博士 主要研究方向为新能源并网稳定分析与仿真建模技术 E-mail:wangxiao2017@foxmail.com ![]() 刘辉 教授级高级工程师,博士 主要从事新能源并网相关技术研究 E-mail:liuhtj@163.com 编辑:张鹏 审核:白恺 |
郑重声明
根据国家版权局相关规定,纸媒、网站、微博、微信公众号转载、摘编本网站作品,需包含本网站名称、二维码等关键信息,并在文首注明《全球能源互联网》原创。 个人请按本网站原文转发、分享。











