许继集团杨美娟等:特高压混合式MMC低全桥配比下单阀组投退过程中的均压控制
发布时间:2018-12-13
该文受国家科技重大专项(2015ZX02301003)、国家电网公司科技项目“±800kV特高压柔性直流输电换流阀和控制保护关键技术研究”资助。 原文发表在《全球能源互联网》2018年第1卷第5期,欢迎品读。 本文引文信息 杨美娟,王先为,姚为正,吴金龙,易映萍,朱龙臻 .特高压混合式MMC低全桥配比下单阀组投退过程中的均压控制[J].全球能源互联网,2018,1(5):603-610. Yang Meijuan, Wang Xianwei, Yao Weizheng, Wu Jinlong, Yi Yingping, Zhu Longzhen. Voltage Balancing Control of Hybrid MMC with Low Ratio of FBSM in UHVDC During Group Entry/exit Process[J].Journal of Global Energy Interconnection, 2018, 1(5):603-610. 作者:杨美娟1,王先为2,姚为正3,吴金龙3,易映萍4,朱龙臻4 单位:1. 西安许继电力电子技术有限公司;2. 许继集团有限公司;3 许继电气股份有限公司;4 上海理工大学 1. 研究背景 模块化多电平换流器MMC应用于特高压直流系统时,受开关器件耐压水平和控制系统设计难度等限制,多采用2个阀组串联运行的结构形式,且需具备单阀组自动投入/退出功能。阀组投退过程涉及零直流电压/低直流电压运行工况,为此一般采用由半桥子模块和全桥子模块混合构成的混合式MMC拓扑以兼顾技术经济性,且全桥模块配比至少为50%。混合式MMC在全桥配比较低时,存在阀组投退期间因桥臂电流存在持续为正或负的特殊工况所导致的两类子模块不均压问题,提高全桥配比则会带来换流阀成本的极大增加。因此,为了节约设备成本,需要基于低全桥配比的混合式MMC,研究阀组投退过程中子模块均压控制方法。 2. 研究现状 目前,对于采用半桥子模块和全桥子模块混合构成的混合式MMC的研究,多从稳态运行、直流故障穿越等功能出发研究全桥子模块数配置,并未涉及阀组投退控制,且有文献指出,在MMC零电压运行时全桥子模块配比需高于75%才能避免半桥子模块不均压问题。而关于特高压柔性直流输电系统的研究则仅限于系统接线方案、主回路拓扑、稳态运行控制等基础技术方面,并未涉及MMC单阀组的在线投退过程及其具体控制。在传统的特高压直流系统中,虽然对阀组投退工况有所研究,但LCC换流器的运行特性与MMC有很大区别,并不能作为技术参考。 3. 主要内容 本文分析了低全桥子模块配比的混合式MMC在阀组投退过程中存在的子模块电压不均衡问题,提出了一种基于环流注入的均压控制,在阀组投退期间控制MMC产生一定的相间环流,人为创造正负交替的桥臂电流,为半桥子模块充、放电提供条件。并分析了环流注入的幅值和相位。 3.1特高压柔性直流系统 特高压柔性直流系统通常采用对称双极接线形式,且单换流站为高低阀组方案。各阀组直流侧均配置有一套直流场开关,包括有与阀组并联的旁路开关BPS和旁路刀闸BPI,以及与阀组串联的进、出线隔离刀闸Q1、Q2,通过直流场开关的操作,并配合以阀组的控制,可实现阀组投入状态和退出状态间的相互转换,即实现单阀组在线投入/退出。 单阀组的在线投退功能要求MMC阀组需具备零直流电压运行能力,从而为BPS的开关操作创造有利条件,避免开关在大电压下合闸带来电气量冲击。混合式MMC在全桥子模块数与半桥子模块数之比达到一定要求后,不仅具备零直流电压运行能力,且成本更低,因此更适宜于特高压柔性直流系统。实际工程中,全桥子模块占比一般不低于50%。
(a)特高压柔性直流系统接线图
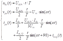
(b)混合式MMC拓扑结构图 ⬆ 图1 特高压柔性直流系统接线及阀组拓扑结构 3.2单阀组投退过程中不均压问题分析 以单阀组在线投入工况为例进行分析,在阀组直流电压Udc(t)自零逐渐抬升至正常水平UdcN期间,通常令直流系统电流保持不变,设为Idc。忽略换流阀损耗,认为其交、直流功率相等,且认为阀组投入过程中换流阀交流端口相电压幅值保持Um不变,可知阀组桥臂电压、电流跟随直流电压的调节而调整。 ![]() ![]() ⬆ 图2 MMC阀组投入期间桥臂电压及电流关系式及关系图 分析可知,在全桥子模块占比低于73.08%时,存在上图所示t2~t1区间。此时桥臂电流方向固定,且桥臂电压在其峰值的小范围内高于所有全桥子模块所能输出的电压,因此需要部分半桥子模块参与调制。为此,半桥子模块在恒定为正或负的桥臂电流作用下,必然持续充电或放电,造成子模块电压异常。特别是对于受端运行的MMC,半桥子模块持续充电极易引发子模块过压保护,影响阀组正常投退。 3.3混合式MMC低全桥子模块配比下单阀组投退过程中的均压控制 本文在不增加全桥子模块的前提下,从桥臂电流入手,期望改善桥臂电流不存在过零点的特征,使其存在正、负交替,从而避免半桥子模块持续充/放电问题。桥臂电流中由直流、交流系统决定的直流、基频分量无法调整,而环流则具有可控性,且环流仅在三相间流通,不会对交、直流系统产生不利影响,因此可采用合适的环流注入方式。 为了简化控制,建议环流控制与MMC控制系统中常规的二倍频负序环流抑制模块复用,即注入负序二倍频环流。环流幅值应至少高于Idc/3,并考虑一定裕量。环流相位,对于受端MMC,建议取超前阀侧相电压相位90°,对于送端MMC,则取滞后阀侧相电压相位90°。 ![]() ⬆ 图3 基于环流注入的MMC均压控制框图 3.4 Matlab/Simulink平台仿真验证 基于双端LCC-MMC混合型±800kV特高压直流单极系统模型进行仿真验证。柔性直流换流站作为受端换流站由2个MMC阀组串联构成,2个阀组结构及主回路参数完全相同,单个桥臂中全桥子模块配比为50%。以单阀组投入工况为例进行仿真,仿真结果如图4所示。可以看出,采用本文所提的环流注入策略,MMC单阀组在投入过程中,全桥、半桥子模块电压较额定值的偏差均不高于2%,证明其良好的电压均衡效果。同时,MMC阀组的直流电压、直流电流、交流功率等外部电气量未受环流注入影响,平稳可控。环流注入仅改变了桥臂电流大小,但桥臂电流及其有效值均未超出额定运行水平。 ![]() ⬆ 图4 基于环流注入的仿真波形 为了进一步对比环流注入策略的有效性,图5给出了同样控制时序下不注入环流时的仿真波形。可以看出,桥臂电流存在较长时间的不过零,使得半桥子模块持续充电,存在过压风险。且在桥臂电流过零时,子模块电压较高的半桥子模块在此桥臂电流作用下迅速放电,引起桥臂电流等电气量很大的波动,同样威胁设备安全。 ![]() ⬆ 图5 无环流注入的仿真波形 4. 结论 本文详细分析了低全桥子模块配比的混合式MMC在阀组投退过程中存在的子模块电压不均衡问题,提出了一种阀组投退期间基于环流注入的均压控制策略,并分析了环流注入的幅值和相位。最后通过仿真,验证了所提的均压控制策略的有效性,为工程设计提供了经济可行的技术方案。 作者简介 杨美娟 硕士,工程师 主要从事柔性直流输电、柔性交流输电、混合直流输电、直流配电网等研究 Email: prefer10@163.com ![]() 王先为 博士,高级工程师 主要从事柔性交直流输电、混合直流输电、直流配电网等研究 Email: wangxianwei2013@163.com ![]() 姚为正 博士后,教授级高级工程师 国务院政府特殊津贴专家,国家电网公司科技领军人才,国家百千万人才。主要研究方向为电力电子及其在电力系统中的应用 Email: yaoweizheng@xjgc.sgcc.com.cn ![]() 吴金龙 硕士,高级工程师 主要研究方向为柔性交直流输电、直流配电网、直流电网等 Email: wjlong2008@163.com ![]() 易映萍 硕士,副教授 主要研究方向为电力电子与电气传动 Email: yyp@usst.edu.cn ![]() 朱龙臻 硕士研究生 主要研究方向为电力电子与电气传动 Email: 1197058323@qq.com 编辑:赵杨 审核:白恺 |
郑重声明
根据国家版权局相关规定,纸媒、网站、微博、微信公众号转载、摘编本网站作品,需包含本网站名称、二维码等关键信息,并在文首注明《全球能源互联网》原创。 个人请按本网站原文转发、分享。
















