中国电科院陈铮铮等:国内外直流电缆输电发展与展望
发布时间:2018-11-15
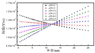
该文受国家重点研发计划(2016YFB0900700)、国家电网公司科技项目(GY71-16-59)资助。原文发表在《全球能源互联网》2018年第1卷第4期,欢迎品读。 本文引文信息 陈铮铮,赵鹏,赵健康,欧阳本红,胡凯,郑新龙. 国内外直流电缆输电发展与展望[J].全球能源互联网,2018,1(04):489-496. Chen Zhengzheng, Zhao Peng, Zhao Jiankang, Ouyang Benhong, Hu Kai, Zheng Xinlong. Review and prospect of DC cable transmission in the world [J].Journal of Global Energy Interconnection, 2018, 1(04):489-496. 作者:陈铮铮1,赵鹏1,赵健康1,欧阳本红1,胡凯2,郑新龙2 单位:1. 中国电力科学研究院有限公司,武汉;2. 国网浙江省电力公司舟山供电公司,舟山 1. 研究背景 高压直流电缆不仅可以降低输电成本,还可以很大程度提高电网运行的可靠性。大城市负荷中心供电、长距离跨海输电等采用高压直流电缆更加经济、合理。柔性高压直流输电电缆是一种挤压式、单极电缆,具有体积小、强度高、重量轻、传输容量大、绝缘水平优越、环保和敷设容易等优点,在柔性直流输电系统中具有举足轻重的地位。 2. 研究现状 ![]() ![]() ⬆ 图1 国内外重要直流电缆工程发展 3. 主要内容 本文对不同绝缘型式的直流电缆进行了比较;探讨了直流电缆的关键技术问题,包括电导率温度特性和空间电荷特性,最后对直流电缆的发展进行了展望。这些研究可以为未来特高压直流电缆的发展提供参考。 3.1 直流电缆绝缘方式对比 绕包绝缘电缆主要包括充油电缆、油纸绝缘电缆和聚丙烯薄膜复合纸绝缘电缆,根据浸渍剂黏度的不同可分为自容式充油(Self-contained Oil-filled, SCOF)电缆和浸渍纸绝缘(Mass Impregnated, MI)电缆。1970年开发出来聚丙烯薄膜复合纸绝缘电缆(Polypropylene Laminated Paper, PPL),将短时运行温度提高到90℃,并逐步替代了MI-Paper电缆。 挤包绝缘电缆以其生产通过三层共挤出而命名,主要采用交联聚乙烯(Cross Linked Polyethylene, XLPE)作为绝缘材料,但最近几年也出现了采用聚丙烯基高分子材料作为绝缘的电缆。由于预电压极性效应,即直流预压后反极性击穿电压会显著下降,因此挤包绝缘电缆伴随着柔性直流输电工程的发展得到大量应用。 ![]() ⬆ 表1 不同绝缘电缆优缺点对比 3.2 直流电缆关键问题 首先,绝缘材料的温度电导率特性是直流电缆设计中的首要考虑因素,是直流电缆国家标准中的关键材料控制参数,电导率随温度和电场变化,因此导致直流电缆绝缘中的电场分布跟负荷密切相关。目前中国电科院研究团队提出采用分温度段、分电场段拟合电导率的方法,可以很好地与测量值相吻合。 ![]() ⬆ 图2 不同温度梯度下±320kV电缆绝缘层中场强分布 其次,固体电介质中空间电荷会引起局部场强的畸变,根据泊松方程,平均1C/m3的空间电荷可以在附近1mm的地方产生近50MV·m-1的场强。因此,需要研究电介质内空间电荷特性和抑制空间电荷积聚的方法。 ![]() ⬆ 图3 空间电荷的形成机理及运动规律 直流电场下电缆接头增强绝缘硅橡胶/三元乙丙橡胶的电导率与交联聚乙烯有差别,根据Maxwell-Wagner效应,在界面上就会产生电荷积聚。从目前的试验结果来看,直流电缆接头很容易在界面发生击穿,这与界面电荷和电场畸变存在很大的关系。 ![]() ⬆ 图4 电缆接头的沿面闪络击穿 4.结论 (1)直流电缆分为绕包绝缘电缆和挤包绝缘电缆,绕包绝缘电缆有单根生产长、空间电荷性能好的优点;也存在生产成本高,对环境不友好的缺点。 (2)直流电缆的关键技术问题是电导率温度特性、空间电荷和界面电荷特性,目前国内外的研究重点都在通过改性提升直流电缆材料电导率和空间电荷性能;对于直流电缆接头的界面电荷特性还有待深入开展研究。 (3)直流电缆必须朝着更高电压等级、更高运行温度发展,才能满足未来远距离电能传输的需求。 研究团队 电力电缆性能优化及状态综合诊断技术科技攻关团队依托于中国电力科学研究院的高电压所电缆技术研究室与质检中心电缆质检站,稳固地树立了电缆专业三大攻关方向:1)以状态检测与状态评价为核心的运行可靠性研究;2)以直流电缆、海底电缆为核心的新型输电技术研究;3)以轻型高输送容量电缆为核心的电缆线路载流性能优化技术研究。 电力电缆性能优化及状态综合诊断技术科技攻关团队由赵健康教授级高工领导,现有CIGRE B1/B3.49、B1.41、B1.48、B1.57、B1.58工作成员5人,国家电网公司优秀专家人才后备1人。攻关团队依托国家电网公司电力电缆重点实验室,具备CNAS认证500 kV及以下交、直流电缆试验能力,拥有国际领先水平的超高压电缆试验大厅和品种规模齐全的超高压电缆户外试验场。实验室还拥有功能齐全、能够覆盖最高至500 kV电压等级电缆产品的非电性能试验室,技术能力国内领先。建立了±320kV直流电缆可靠性试验评价系统,构建了完备的电缆材料性能检测分析平台,可为电缆的故障分析、材料性能评价、剩余寿命预估提供基础支撑手段。 近年来,攻关团队在相关领域牵头负责或完成的项目包括:国家863项目“±320kV及以下柔性输电用直流海缆关键技术研究”、国家重点研发计划项目“±500 kV直流电缆关键技术研究”、国家电网公司重大专项“±500 kV直流海缆关键技术研究”、国家电网公司科技项目“直流交联电缆热特性及性能评价技术的研究”等25项,完成国家专利受理30项,其中发明专利27项;发表各类论文28篇。 作者简介 陈铮铮 博士研究生,高级工程师 从事直流电缆及绝缘材料研究工作,发表SCI、EI论文20余篇,授权发明专利5项,曾获省部级发明专利奖1项和科技进步奖2项,承担863项目1项,国家重点研发计划2项,国网公司总部科技项目10余项。 Email:chenzhengzheng@epri.sgcc.com.cn ![]() 赵 鹏 硕士,工程师 主要从事高压直流电缆试验方法及仿真计算方面的研究工作。 Email:gdy-zhaopeng@epri.sgcc.com.cn ![]() 赵健康 博士,教授级高工 国家电网公司“电力电缆性能优化及状态综合诊断技术”科技攻关团队带头人,CIGRE中国国家委员会B1工作组副主席,全国电线电缆标准化技术委员会委员,电力行业电力电缆标准化技术委员会委员、副秘书长;全国架空线路标准化技术委员会委员,线路运行分委会秘书长;中国电机工程学会高压专委会电缆学组组长;中国电工技术学会工程电介质专委会委员。长期从事高压电力电缆运行技术方面的研究工作,有扎实的理论研究基础和丰富的工程应用经验,发表学术论文40余篇。 ![]() 欧阳本红 博士研究生,高级工程师 长期从事电力电缆线路运行维护、电缆及附件结构优化科研和标准化工作。获省部级科技进步奖4项,出版专著1本,发表学术论文20余篇,获得发明专利6项,承担制定国家标准、电力行业(团体)标准和国网公司企业标准8项,承担国家重点研发计划及公司科技项目15项。 编辑:赵杨 审核:白恺 |
郑重声明
根据国家版权局相关规定,纸媒、网站、微博、微信公众号转载、摘编本网站作品,需包含本网站名称、二维码等关键信息,并在文首注明《全球能源互联网》原创。 个人请按本网站原文转发、分享。













