相关论文:
-
-
全球能源互联网
第8卷 第6期 2025年11月;页码:782-794
面向多生产线的短流程钢铁企业主从博弈调峰策略
A Stackelberg Game-based Peak Shaving Strategy for Short-process Steel Mills Serving Multiple Production Lines
- 1.国网邯郸供电公司,河北省 邯郸市 056000
- 2.国电南京自动化股份有限公司,江苏省 南京市 210032
- 3.新能源电力系统国家重点实验室(华北电力大学(保定)),河北省 保定市 071003
- SHEN Hao1, LIU Hang1, JI Ling2, ZHONG Yongjie2, CUI Xiaotao1, YU Yang3* (1.State Grid Handan Electric Power Supply Company, Handan 056000, Hebei Province, China
- 2.Guodian Nanjing Automation Co., Ltd., Nanjing 210032, Jiangsu Province, China
- 3.State Key Laboratory of Alternate Electrical Power System with Renewable Energy Sources, North China Electric Power University,Baoding 071003, Hebei Province, China
关键词
Keywords
摘 要
Abstract
短流程钢铁企业以电力为主要能源形式,生产过程连续、周期长,具有较高的需求响应潜力,但其耗能高、生产线多、订单量波动频繁,极大增加了其参与需求响应的难度。为合理调动短流程钢铁企业负荷资源参与电网调峰的积极性,提出一种面向多生产线的短流程钢铁企业主从博弈调峰策略。首先,深入剖析短流程钢铁企业炼钢工艺,基于其特有的负荷特性,分析关键生产设备具备的可调潜力,获取其可调潜力区间;继而,对钢铁企业可调潜力进行精细化建模,考虑生产因素约束影响,综合分析得到不同设备及多生产线组合的可调容量;最后,分别对调峰策略参与者和制定者行为进行分析,并利用1-N主从博弈构建主从博弈优化调度模型以描述二者交互行为。以某钢铁企业实际负荷数据为例进行算例仿真,结果表明,所提调峰策略在有效降低电网负荷峰谷差的同时,增加了钢铁企业收益。
With electricity as the main form of energy,short-process iron and steel enterprises have continuous production process and long cycle, and have high demand response potential, but their high energy consumption, many production lines, and frequent fluctuations in order volume greatly increase the difficulty of their participation in demand response.In order to rationally mobilize load resources of short-process steel enterprises to participate in power grid peak regulation, a Stackelberg game strategy for short-process steel enterprises oriented to multi-production lines is proposed in this paper.Firstly, the steel-making process of short-process steel enterprises is deeply analyzed.Based on its unique load characteristics, the adjustable potential of key production equipment is analyzed and its adjustable potential range is obtained.Then, the adjustable capacity of different equipment and multi-production line combination is obtained by the refined modeling of the adjustable potential of iron and steel enterprises,considering the constraints of production factors.Finally,the behaviors of the participants and the makers of the peakloading strategy are analyzed respectively, and a Stackelberg game optimal scheduling model is constructed by using 1-N Stackelberg game to describe their interaction.Taking the actual load data of an iron and steel enterprise as an example,the simulation results show that the proposed peak-valley load regulation strategy can effectively reduce the power grid load difference and increase the profit of the iron and steel enterprise.
0 引言
新能源固有的随机性和波动性给发电调度计划的制定带来了极大困难,如何维持电源侧和需求侧间电能的供需平衡成为研究焦点[1-5]。需求响应(demand response,DR)作为一种重要的需求侧资源管理手段[6-7],通过电价或经济激励等措施引导用户改变用电特性、挖掘负荷侧资源调度潜力,进而缓解新能源和负荷波动对电力系统的不利影响,以应对尖峰负荷问题[8-9]。工业负荷在中国电力负荷中占比超68%,其中钢铁负荷更是达到15%。短流程钢铁企业以电弧炉为核心设备,以电力为主要能源载体,是推动钢铁行业向低碳、绿色、高效方向发展的关键力量,作为高能耗、高可控性产业,其电力成本占比高,具有参与DR的巨大潜力。
短流程钢铁企业参与DR的基础在于对其可调潜力的深入分析和响应行为的准确建模。在可调潜力分析方面,已有研究分别从不同角度探讨了工业负荷参与DR的潜力[10]。文献[11-12]针对不同类型工业负荷的生产特性,构建了一种基于工业负荷特性的DR调度框架,从而揭示了不同工业负荷的DR最优策略。文献[13-14]则以典型工业负荷水泥厂为例,通过分时电价机制挖掘其可调潜力,进而实现电网侧与用户侧成本的双重降低。文献[15]进一步提出了基于画像的工业园区DR潜力评估方法,利用超短期负荷预测技术,精准地预测了用户在调度时段的可调容量。然而,上述研究仅考虑外部激励对可调潜力的影响,而实际生产活动中,钢铁企业自身的负荷特性亦对其可调容量和可调时段产生显著影响。因此,在短流程钢铁企业参与DR调控的研究中,必须综合考虑自身负荷特性对DR能力的影响,以实现更为精准有效的供需平衡调控。
短流程钢铁企业响应行为建模分析同样至关重要,可在不影响订单产量的前提下通过控制电弧炉(electric arc furnace,EAF)等大功率生产设备的运行时间,以平衡电网负荷波动。鉴于EAF的高能耗与分批运行模式,文献[16-17]提出一种优化生产计划以响应系统调度的EAF运行策略,通过调整变压器分接头位置快速灵活调节EAF功率消耗。文献[18]对冶炼炉负荷进行精细建模,构建高载能用户的调度模型,为新能源与高载能负荷的协同调度奠定了基础。文献[19]对电解铝、铁合金等高载能负荷的投切容量、投切次数等约束进行了建模,并通过多目标优化求解电网机组和高载能负荷的调度计划,但其使用的高载能负荷调度模型过于简化,未充分考虑调节对实际生产过程的影响。文献[20-21]对高载能负荷的通用生产流程和产品存储等约束进行了建模,但缺乏特性与短流程钢铁企业生产流程的细致考量。文献[22]针对一般电解铝生产流程建模,但其模型不适用于短流程钢铁企业。文献[23]详细描述了电解铝与风电联合系统的动态特性,但其控制模型复杂度过高,难以应用于电网调度计算。文献[24]提出一种面向多生产线工业电力负荷的调节方法,通过面向多生产线工业电力负荷延时控制,平滑了负荷曲线,推动用户参与系统的优化运行,但是没有具体考虑生产线内生产设备的配合运行。可见,目前缺乏适用于短流程钢铁企业等冶炼类负荷的精细用电模型,因而,有必要对短流程钢铁负荷进行更为精细化的建模分析,以优化其用电行为,同时确保系统安全经济运行。
此外,已有研究在促进钢铁企业参与DR方面也取得了一定成果。文献[25]利用资源任务网,为能源约束下的钢铁企业生产调度提供了通用分析框架,深入分析了能源价格波动对运行计划的影响,并探讨了钢铁企业参与基于价格和激励的工业需求侧管理的经济效益。文献[26]采用模糊聚类法,基于用户响应情况对时段进行有效划分,通过合理引导用户需求达到削峰填谷的目的。文献[27]则构建了需求价格弹性矩阵模型,以优化分时电价机制,从而激励用户参与DR。文献[28-29]进一步建立了包括用电用户、供电公司及全社会在内的成本效益分析模型,建立了以峰谷电价比和拉开比为决策变量的分时电价优化模型。文献[30]通过智能体交互技术,制定了分时电价策略,在保证用户正常供电的同时,既提升了供电方的经济效益,又达到了削峰填谷的效果。文献[31-32]提出一种基于主从博弈的园区多主体能量-碳配额共享机制,在提升多能源园区的新能源消纳率的同时,进一步减少园区碳排放。然而,上述文献大多侧重于发电侧或负荷侧的单一成本效益分析,缺乏同时考虑供需双方利益的全面视角。因此,如何在满足钢铁企业经济效益的前提下,通过设计合理的激励机制,鼓励钢铁企业参与电力调度调峰,以实现电力供需双方利益的均衡,仍是当前及未来研究的关键方向。
综上所述,现有短流程钢铁企业参与电网调峰调度存在以下问题:①未综合考虑自身负荷特性对DR能力的影响;②缺乏适用于短流程钢铁企业等冶炼类负荷的精细用电模型;③缺乏同时考虑供需双方利益的全面视角。
针对上述问题,本文提出一种面向多生产线的短流程钢铁企业参与电网调峰策略。首先,深入剖析短流程钢铁企业炼钢工艺,基于其独特的负荷特性将可调节设备和不可调节设备分别建模,对关键生产设备进行可调潜力分析,明确各设备的可调区间;其次,针对钢铁企业的响应能力构建精细化模型,充分考量生产因素约束的影响,分析不同设备及多生产线组合调节下的DR可调容量;最后,提出面向多生产线生产设备分区调节的日前调峰调控策略,以电网峰谷差最低为上层目标函数和参与调控的钢铁企业利益最大为下层目标函数,构建1-N的主从博弈模型并且求解。通过算例分析,验证所提策略的合理性和经济性。
1 短流程钢铁企业负荷特性分析
1.1 短流程炼钢工艺分析
在钢铁行业中,生产工艺的选择对于资源利用效率、生态环境以及企业的市场竞争力具有决定性影响[33-34]。根据冶炼技术和原材料的不同,钢铁企业的生产工艺主要可分为长流程炼钢和短流程炼钢。长流程炼钢通常涵盖高炉—转炉—精炼—连铸工艺流程,而短流程炼钢则更为精简,主要包括电炉—精炼—连铸工艺流程。短流程炼钢主要消耗电能,对环境更加友好,电能占短流程总工序能耗的30%左右,因其清洁、高效的特点成为钢铁行业未来的重点发展对象。更为重要的是,电力作为清洁能源的代表,其大规模应用有助于降低钢铁行业的碳排放和环境污染,促进钢铁行业的绿色转型。可见,短流程炼钢工艺因其独特性和环境友好性而具有显著的研究价值,故本文选择以短流程炼钢工艺为研究对象[35]。短流程炼钢生产工艺流程如图1所示。该工艺中,钢水首先通过电弧炉进行冶炼,随后运送至氩氧脱碳(argon oxygen decarburization,AOD)炉进行脱碳处理,脱碳后钢水被运至钢包炉进行二次精炼,以确保其品质和纯净度。精炼合格的钢水接着被运往连铸机进行浇铸形成板坯,继续经过热轧机得到初步成型的钢材。最后,在车间内经过退火、探伤、切割等一系列精细处理,在保证质量和性能满足要求后,得到成品钢材。
图1 短流程炼钢工艺
Fig.1 Short flow steelmaking process
1.2 短流程钢铁企业负荷特性分析
钢铁行业属于典型的高耗能行业,连续性生产设备较多,例如烧结机、焦炉、高炉等,相比于居民负荷,一天内波动小、无明显波峰和波谷。生产设备除检修外基本满负荷运行,负荷率较高,对于电能质量有较高要求。某短流程钢铁企业典型日负荷曲线如图2所示。
图2 某钢铁企业日负荷曲线
Fig.2 Daily load curve of a steel enterprise
短流程钢铁企业负荷可分为生产用电负荷、非生产用电负荷、辅助生产负荷和安全保证负荷。生产用电负荷主要指烧结、电炉加热、热轧冷轧等生产过程中用电负荷,占总负荷75%以上,由于生产的要求,生产用电负荷具有较强的顺序性和不可间断性;非生产负荷主要指厂内办公用电负荷,包括照明、空调等,约占总负荷2%~5%;辅助生产负荷主要指水泵、传动液压泵等用电负荷,占总负荷7%~8%;安全保障负荷主要指消防用电设备等,占总负荷10%以上,对于供电有较高要求,突然断电可能造成人员伤亡和财产损失。可见,生产负荷占比最大,故本文以生产负荷为调控对象。
值得一提的是,为应对快速变化的订单量和多样化的订单品种,短流程钢铁企业一般都配有多条生产线,且不同生产线往往有着不同的生产任务。假设单条炼钢生产线在Tn周期内的钢铁生产率为
式中:mn为第n条生产线生产率。
对于N条炼钢生产线的钢铁企业,总生产量可以表示为
式中:mt为N条生产线的总生产量。
对于N条炼钢生产线的钢铁企业,总生产负荷功率可以表示为
式中:Pn为第n条生产线生产功率,kW;Pt为N条生产线的总生产功率,kW。
钢铁企业作为高耗能工业负荷,企业内部一般配有自备电厂,主要承担部分生产负荷及照明负荷,其负荷可表示为
式中:
表示机组i在t时刻的功率,kW。
1.3 炼钢设备负荷特性分析
企业签订订单后,根据订单需求制定日生产计划,日生产计划规定单日钢材产量。日生产计划基本固定,各生产线负荷总量及分布时段较为稳定,钢铁企业根据一天内不同时段分时电价进行生产安排。
电弧炉主要任务是将高炉冶炼的铁水与废钢和铁合金等物质进行高温熔化,得到初炼钢水。在熔炼过程中,主要是通过电弧的高温将金属加热至熔融状态,并进行液相的分离和反应。在电弧的作用下,金属材料会受到高温和氧化熔融的影响,使得杂质氧化生成气体,金属本体则进一步熔化。在钢铁熔炼中,电弧炉是最耗电的环节,在生产用电负荷中占比约40%。电弧炉中断时间超过30 min后,炉内金属开始冷却,再次融化需要产生额外生产成本。电弧炉的负荷特性与其功率挡位和开关状态相关,频繁切换开关状态会减少电弧炉的寿命,增加设备损耗成本。为避免增加不必要的生产成本,可在熔炼任务前后通过调节有载调压变压器分接头位置来改变功率,从而改变电弧炉加热性能,但在熔炼过程中不可调节功率挡位,所以电弧炉作为可连续调节负荷。
AOD炉的主要任务是将金属中的碳含量降低到所需的标准范围内,以达到所需的性能要求。由于AOD炉的升温速度很慢,钢水的去碳对温度的要求很高,所以AOD炉作为不可调节负荷。
钢包炉的主要任务是对钢水进行二次精炼,钢包炉具有热惯性,短时间内断电,温度不会骤降。钢包炉具有较大调度灵活性,可通过调节有载调压变压器的抽头进行调节,所以钢包炉作为可连续调节负荷。
连铸机的任务主要是将精炼后的钢水进行浇铸,得到板坯。连铸机属于连续性生产设备,具有复杂的钢铁热成型工艺,在生产中不可中断,因此连铸机作为不可调节设备。
热轧机的任务将连铸机产出的板坯送入热轧机进行轧制加工,通过控制轧制温度和轧制形状等因素,得到所需的热轧板、带、棒等产品。热轧机属于连续性生产设备,但可以参与调度,将热轧过程转移至低电价时段完成。但在生产任务重时,开关热轧机可能会引起生产任务不能及时完成,造成钢铁企业的收益损害,所以热轧机作为可离散调节负荷。各生产设备负荷特性如表1所示。
表1 生产设备负荷特性
Table1 Load characteristics of production equipments
设备 负荷占比/% 负荷类型 启停时长/s恢复投运时间电弧炉 40 可连续调节负荷 5~10 30 min氩氧脱碳炉 5 不可调节负荷 5~8 30 min钢包炉 3 可连续调节负荷 5~10 30 min连铸机 8 不可调节负荷 6~10 30 min热轧机 13 可离散调节负荷 6~10 秒级
1.4 设备可调潜力分析
根据统计,在生产用电负荷中,电弧炉和热轧机负荷分别占比40%和13%,具有较大的可调潜力。在满足日生产计划的前提下,通过合理调节电弧炉和热轧机接入电网功率和运行时段可以增加短流程钢铁企业参与DR的收益,同时更好地参与削峰填谷[36-37]。
参考河北省邯郸市某钢铁企业ARC-800型号的电弧炉,采用三相电源,电压可调范围400 V,频率50 Hz,炉体容量800 L,电弧炉额定功率562.5 kW,其接入的变压器共有6个分接头,电弧炉最低功率为187.5 kW。电弧炉可调容量曲线如图3所示,根据电弧炉的熔炼特性,生产相同重量的钢所需的热量相同,在改变其功率时,会导致其熔炼时间变长,图3形成的上下包络线即电弧炉的可调容量。在满足日生产计划的前提下,合理改变电弧炉功率以及运行时段参与DR调控并不会对生产造成太大影响,同时可以获得参与DR调控的收益。该厂内配有10台该规格电弧炉,若同时降低5%电弧炉电压,可以得到1500 kW的DR可调容量,能有效改善电网负荷曲线,降低峰谷差。
图3 电弧炉可调容量曲线
Fig.3 EAF adjustable capacity curve
在调节过程中需要保证粗钢生产速度大于热轧机精轧速度,否则会导致钢铁企业生产效率下降,无法满足日生产计划,从而降低钢铁企业的效益。参考河北省邯郸市某钢铁企业2300型热轧机,工作辊直径为700 mm,2300型热轧机的辊身长度通常为2300~2350 mm,热轧机额定功率为1500 kW,其可调容量曲线如图4所示。当钢铁企业不参与DR调控时,电弧炉和热轧机正常工作,满足“供需平衡”的关系,当电弧炉参与DR调控时,电弧炉功率降低,在满足仓库存放容量的情况下,可以关断一定数量的热轧机来获得更多的DR可调容量,也可以将精轧环节集中转移至分时电价低谷时进行生产。
图4 热轧机可调容量曲线
Fig.4 Adjustable capacity curve of hot mill
因此,在满足生产因素等约束的条件下,合理调控电弧炉和热轧机不仅可以增加钢铁企业的收益,降低生产成本,还能更好地参与电网调控,一定程度上削峰填谷。
2 调峰策略参与者行为建模
在短流程钢铁企业参与调峰调度模型中,包括钢铁企业和调度中心两大利益主体,分别对钢铁企业和调度中心参与调峰时的特性进行建模。
2.1 钢铁企业响应行为模型
2.1.1 钢铁企业可调潜力建模
当调度中心给出t时段激励价格Cp t后,钢铁企业通过自身生产计划,可以通过调节生产设备、控制生产线延时生产和组合调节三种方式获得指定时间段参与DR容量。
调节生产设备即通过切换电弧炉挡把和启停热轧机获得指定时间段参与DR的最佳容量。假设所有生产线上共有I台电弧炉和热轧机可调节,相同设备参数均相同,同一条生产线只配一台电弧炉和热轧机,且两台设备可以处于不同工作状态。电弧炉通过控制变压器接头改变功率,可提供的DR容量为

式中:
表示第i个电弧炉在t时刻的功率,kW;di,t,k表示第i个设备在t时刻挡把所处位置k;PLc,k表示电弧炉在挡把k时的功率,kW;ko为钢铁企业不参与DR时设备所处挡位;
表示所有电弧炉可提供的DR容量。
热轧机通过开关设备改变功率,热轧机可提供的DR容量为

式中:
表示第i个热轧机在t时刻的功率,kW;
和
为0-1变量,开通时为1,关断时为0;
表示热轧机参与调控前t时刻的功率,kW;
表示所有热轧机可提供的DR容量。
钢铁企业的负荷特性不可调节设备的功率为
式中:
表示不可调节设备在t时刻的功率,kW;
为0-1变量,开通时为1,关断时为0。
此种调节模式下可提供的总DR容量为

式中:
为该模式下t时刻钢铁企业可提供的DR容量。
控制生产线延时生产,即在满足自身生产计划的条件下,关断部分生产线获得指定时间段参与DR容量。假设共有N条生产线,单条生产线的生产功率为Pn,则此种调节模式下可提供的总DR容量为
式中:
为0-1变量,当生产线开通时为1,关断时为0。
钢铁企业每日的生产任务通过各生产线之间协调生产,为获得DR调节容量关断部分生产线将会导致钢铁企业的其他生产线生产任务的增加,导致生产时间的增加。各生产线参数相同,生产任务的总量要满足的约束可表示为
式中:Pn,t表示第n条生产线在t时生产功率,kW;Po,t表示单条生产线在t时的额定功率,kW;mn表示在额定功率下生产线的生产速率;Zs表示生产任务的总量,t。
组合调节即为上述两种调节方式共同作用,引入权重系数μ代表不同调节方式在DR容量中占比,则此种调节模式下可提供的总DR容量为
后续将会分析权重系数μ对于调峰效果的影响。
2.1.2 目标函数
钢铁企业以日生产收益最大为目标函数,日生产收益由参与DR收益、用电成本变化量、碳排放成本变化量、设备损耗成本变化量、生产收益变化量五部分构成,目标函数表示为
参与DR获得的收益EDR可表示为
式中:CDR为参与DR单位收益,元;t1和t2分别为参与DR开始时刻和结束时刻。
用电成本变化量ΔCu可表示为
式中:
为t时刻的电价,元;T为总时段数,h。
碳排放成本变化量ΔCt可表示为
式中:λc为碳处理价格,元/t;βc为电弧炉的碳排放系数,表示生产1 t粗钢等效的碳排放总量;Kc为电弧炉粗钢生产速率,t/h。
设备损耗成本变化量ΔCc可表示为

式中:Csg为切换挡把的代价,元;Csr为开关热轧机的代价,元。
生产收益变化量ΔCs可表示为

式中:Cea为单位控制代价系数,Fp为单位产品售价;Fc为单位产品生产成本;Cu为单位产量耗电量,kWh;α为耗电成本在生产成本中占比;η为生产效率。
2.1.3 约束条件
本文假设在电弧炉熔炼过程中保持功率不变,完成熔炼前后通过调节变压器分接头控制电弧炉功率,因此电弧炉的功率约束可表示为
式中:c为变压器挡位调节百分比;PiE为变压器处于初始分接头的额定功率,kW;D为变压器分接头总挡位数。
在电弧炉参与DR调控时,频繁调节变压器分接头,会导致变压器分接头老化,降低变压器的寿命,对变压器调节次数约束可表示为

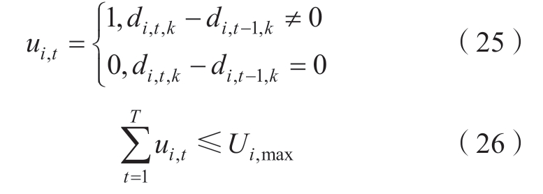
式中:ui,t为变压器分接头的调整状态,其值为0表示不调节变压器分接头,其值为1表示调节变压器分接头;T为调节周期;Ui,max表示可调节变压器分接头的最大次数。
在实际运行过程中,为防止电弧炉功率变化波动较大损害设备,变压器分接头不能越级调节,约束表示为
考虑到改变变压器分接头位置来改变电弧炉功率会引起生产时间的变化,当降低电弧炉功率时,生产时间会增加,但熔炼1 t粗钢所需要的总热量相同,为保证电弧炉参与DR响应不影响钢铁企业日生产计划,该约束可表示为

式中:
为参与DR调控前电弧炉的功率;τi为第i个电弧炉调节功率引起的生产时间变化;Tmax表示日最大工作时长。
在热轧机参与DR调控时,如果频繁开断热轧机,会导致设备老化甚至损害,造成钢铁企业的成本损失,对热轧机调节次数约束可表示为

式中:vi,t为热轧机的调整状态,其值为0表示不开关热轧机,其值为1表示开关热轧机;Vi,max表示可调节热轧机的最大次数。
钢铁精炼后运至连铸机进行浇铸,浇铸后的板坯运至热轧机进行轧制成型的过程中存在着运输存放问题。当钢铁企业参与DR调控时,若仅调控电弧炉功率,热轧机保持正常工作状态,产出速率小于消耗速率,会降低钢铁企业的生产效率;若仅调控热轧机,电弧炉保持正常工作状态,产出速率大于消耗速率,需要考虑存放容量的问题,当生产的钢坯数量大于最大存放容量,会造成钢铁企业存放成本增加,约束可以表示为

式中:st表示所有电弧炉产出速率;sc表示变压器分接头在k档上电弧炉的产出速率;sf表示所有热轧机消耗速率;sx表示热轧机正常工作时消耗速率;Rmax表示最大存放容量。
钢铁企业生产设备受生产因素影响,根据电弧炉的负荷特性,电弧炉的可调容量受生产功率和生产时间共同影响。改变调节电弧炉的挡把降低电弧炉的功率会导致熔炼时间相应增加,电弧炉生产因素约束可以表示为

式中:S表示钢铁日生产计划,t;Q表示熔炼单位重量钢铁所需热量,kJ;Tmax表示日最大工作时长,h;Pmax表示电弧炉可调极限功率,kW。
热轧机通过设备启停改变功率,其功率大小不可调节,可调容量仅受到生产时间影响,热轧机的生产因素约束可以表示为
2.2 调度中心激励行为建模
2.2.1 目标函数
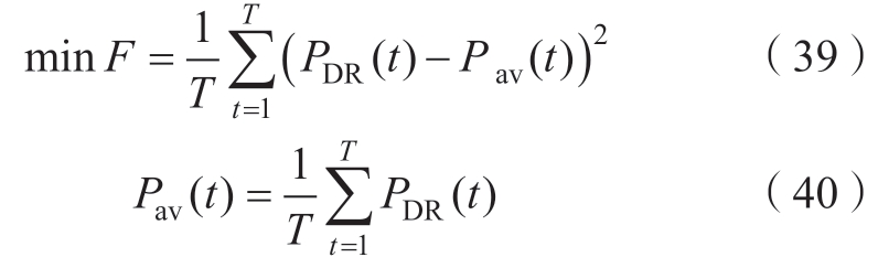
当调度中心给钢铁企业下发激励电价后,钢铁企业根据日生产计划进行设备调控,将DR可调容量上报至调度中心,调度中心以钢铁企业参与DR调控后接入配电网的等效负荷方差最小作为目标函数,其表达式为

式中:F表示钢铁企业参与需求响应后接入配电网的等效负荷方差;PDR(t)表示t时间段钢铁企业参与需求响应的容量;Pav表示负荷平均值。
2.2.2 约束条件
对于接入母线的设备电平衡,其约束如下:
式中:Pc表示钢铁企业生产负荷功率,kW;Pm表示钢铁企业非生产用电功率,kW;Pb表示钢铁企业购电功率,kW;Pd表示钢铁企业自备电厂功率,kW。
钢铁企业自备电厂发出功率,其约束如下:
式中:
表示自备电厂机组i的在t时刻的运行状态,开机为1,关机为0;
表示机组i的最小出力,kW;
,
表示机组i的上下爬坡功率限值。
3 钢铁企业主从博弈优化调度建模
相较于居民负荷,钢铁行业作为高耗能行业更能满足调度中心调峰需求。一方面,调度中心作为调控策略的制定者,倾向于用最少的经济成本实现较为稳定的调峰效果,钢铁企业在前一天根据自身生产计划将可调容量上报至调度中心,调度中心根据调峰需求合理制定激励电价,引导钢铁企业参与DR调控。另一方面,钢铁企业作为调度中心调控策略的参与者,参与DR调控时会更加注重自身的收益,考虑到参与DR收益、用电成本、碳排放成本、生产收益等因素,当钢铁企业参与调控导致成本上升收益降低时,钢铁企业有理由不参与DR调控或减少自身可调容量以保证收益。因此钢铁企业和调度中心构成博弈决策问题,即调度中心为领导者,钢铁企业为参与者,双方根据对方的策略来改变自身策略从而达到目标,最终获得均衡解。
3.1 主从博弈模型
描述调度中心对钢铁企业的调控关系,构建1-N主从博弈模型获取交互信息。调度控制中心为领导者,钢铁企业为参与者。主从博弈是一个有序且动态的过程,博弈过程如下。
1) 钢铁企业根据自身生产计划,提前一天将自身DR容量上报至调度中心。
2) 调度中心根据钢铁企业上报的DR容量和调峰需求向钢铁企业发送激励电价,激励钢铁企业主动参与调控。
3) 钢铁企业根据调度中心下发的激励电价,根据成本收益函数进行计算,参与调控或改变DR容量再次上报给调度中心。
4) 调度中心依据钢铁企业返还的DR容量计算调峰效果,依据调峰效果调整激励电价重新发送给钢铁企业。
5) 重复1) 至4) 步骤,直至调度中心和钢铁企业任意一方策略发生改变都将使整体的结果变差,即满足双方自身策略。
上述过程为主从均衡的理想结果。当式 (43) 和式(44) 被满足时,认为博弈达到均衡。

式中:
和cp分别为调度中心激励价格均衡解和非均衡解,根据式(17)计算得到;
和PDR分别为钢铁企业DR容量上报的均衡解和非均衡解。
当式 (43) 和式 (44) 被满足时,此时的激励价格即为平衡点。在该平衡点处调度中心的调峰需求和钢铁企业的收益均最大化。钢铁企业参与DR调控意愿如式(45)所示。
3.2 博弈模型求解
求解的难点在于下层函数C受离散切换动作的约束,不能当作连续函数采用对其求导的方法将双层模型转化为单层模型求解。基于此,本文采用遗传算法结合Yalmip工具于CPLEX求解器进行求解,具体流程如下。
1)设置种群规模n,最大迭代次数M,种群交叉率、变异率、收敛误差ε,m=0。
2)初始化种群,调度中心随机生成激励电价Cp t,将参数传至钢铁企业。
3)m=m+1。
4)钢铁企业收到调度中心指定的激励电价后,利用CPLEX求解器计算不同调节方式下的DR容量,对比不同调节方式取最大收益Cm,同时将最大收益对应的DR容量上报至调度中心。
5)调度中心收到钢铁企业上报的DR容量后,计算调峰收益,保留当前调峰收益Fm及激励电价。
6)若上报DR容量不满足调度中心调峰需求,利用遗传算法选择、交叉、变异生成新的激励电价,重复步骤3)—5),计算钢铁企业收益
和调峰收益
。
7)若
,令
,否则
。
8)若
且
,则判定博弈达到均衡,迭代结束,否则返回步骤3)。
4 算例分析
4.1 基础数据
以河北省某钢铁企业实际运行负荷数据为例,对本文提出的钢铁企业主从博弈调峰策略进行仿真分析。该钢铁企业共配有5条参数相同的短流程钢铁生产线用于生产不同型号钢材,每条生产线内分别配有1台电弧炉和热轧机,设备参数如表2所示。
表2 设备参数
Table 2 Parameter of apparatus
参数 电弧炉 热轧机 单条生产线额定功率/MW 70 25 175生产速率/ (t·h-1) 50 887 50
参考河北省电价,设定峰时段电价为1.085元/kWh,平时段电价为0.692 3元/kWh,谷时段电价为0.302 8元/kWh。日最大工作时长Tmax为24 h,热轧机可调最大次数Vmax为3次。最大存放容量Rmax为3000 t。调控生产设备对于生产的影响参数如表3所示。
表3 参数设置
Table 3 Parameter setting
K I N μ λc/(元·t-1) βc/t 3 5 5 0.5 80 1.8 CDRmin/元 CDRmax/元 Csg/元 Csr/元 Cea/元 Kc/(t·h-1)300 550 2400 1200 480 50 Fp/元 Fc/元 Cu/kWh α η 4600 3000 450 0.1 0.9
以24 h为周期进行优化调度。为进一步研究钢铁企业参与调峰策略对于调峰收益的影响,本文设计了如下3个测试场景。
场景S1:基于生产设备调控参与调峰策略场景。该场景中钢铁企业通过调节电弧炉和热轧机功率获得指定时间段内参与调控DR容量。
场景S2:基于多生产线调控参与调峰策略场景。该场景中钢铁企业通过关断、延时打开生产线获得指定时间段内参与调控DR容量。
场景S3:基于生产线和生产设备组合调节参与调峰策略影响。该场景中钢铁企业对生产线和生产设备进行组合调节获得指定时间段内参与调控DR容量。
4.2 结果分析
4.2.1 博弈结果分析
图5给出了时段18内3种场景下调度中心等效负荷方差曲线,并用星号标注
。由图5可知,在激励价格分别为360元、380元和405元时为等效负荷方差最小值。从曲线趋势来看,钢铁企业在激励价格不断上升时,可调容量呈现先增加后减少的趋势,说明钢铁企业可以通过调控设备、启停生产线来应对不同的激励价格。虽然钢铁企业参与DR调控所获得的收益会增加,但是频繁改变生产设备功率和开关生产线会导致较大的成本损失,同时生产效率的下降也会影响订单时效问题,在激励价格达到均衡解
之后,钢铁企业对激励价格呈现“低灵敏性”。
图5 等效负荷方差曲线
Fig.5 Equivalent load variance curve
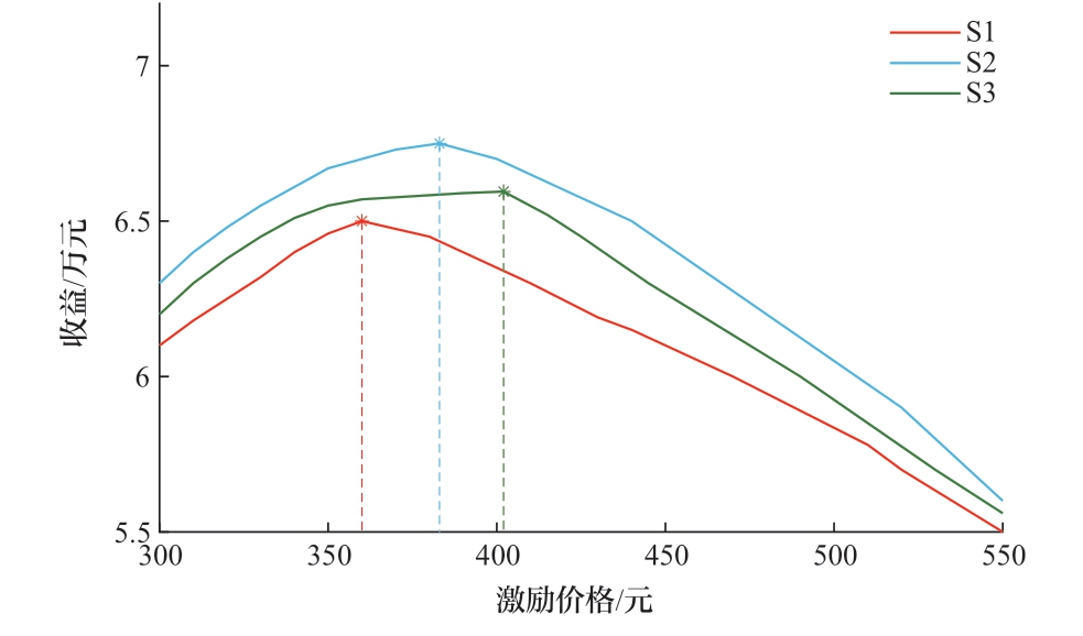
图6给出了时段18内3种不同场景下钢铁企业收益曲线。由图6可知,随着激励价格的上升,钢铁企业收益先升后降,且均在某一特定激励价格下收益达到峰值,3种场景下的收益变化率依次为4.9%、6.3%和6.8%。在收益达到峰值前,钢铁企业受到激励价格的影响,倾向于调控设备和生产线参与DR从而获取收益,不仅满足了电网调峰的需求,还实现了自身收益最大化。随着激励价格的继续上升,钢铁企业受订单和切换成本等因素影响,参与DR收益反而下降,钢铁企业参与DR意愿降低。因此,需要设置合理的激励价格鼓励钢铁企业参与电网调峰,实现双赢。
图6 钢铁企业收益曲线
Fig.6 Profit curve of steel enterprise
4.2.2 响应行为分析
钢铁企业响应行为如图7所示。由图7可知,当调度中心下发激励价格至钢铁企业以响应调峰需求时,钢铁企业会根据自身生产情况和订单时效对生产设备或生产线进行调控来获得DR容量。场景S1下生产设备运行情况如图7 (a) 和图7 (b) 所示。为获得时段7至时段12的DR容量,钢铁企业优先降低部分生产任务轻松的电弧炉挡位从而改变接入电网的功率,对于生产任务繁重的电弧炉,钢铁企业倾向于不轻易调控。由于热轧机的生产速率大于电弧炉生产速率且设备功率小于电弧炉,在场景S1下,钢铁企业优先调控电弧炉功率,在调控电弧炉功率无法满足DR容量时再对热轧机进行调控。

图7 钢铁企业响应行为
Fig.7 Steel enterprise response behavior
场景S2下生产线开关状态如图7 (c)所示。钢铁企业对于生产线的调控主要受订单情况和开关损耗影响,频繁开关生产线不仅会导致生产效率降低不能按时完成生产计划,还会产生不必要的开关损耗,降低钢铁企业收益,因此钢铁企业在参与DR调控收益不显著时更倾向于减少生产线的调控。
钢铁企业的可调容量如图7 (d)所示,场景S3具有最大的可调容量,而场景S1的可调容量最小。整体曲线呈上升趋势,在时段16后基本持平。这是由于钢铁企业在参与DR调控时要考虑生产任务,在白天用电高峰时,虽然电价高,但是也更倾向于连续生产不做出改变,尽管通过设置激励价格可以改变钢铁企业用电行为,但实际可调控设备较少,因此可调容量较低。而在用电低谷时,通过合理设置激励价格,在减少对生产计划的影响的前提下,可以引导钢铁企业的用电行为,并获得较高的可调容量。因此,考虑到对钢铁企业生产计划的影响,需要设置合理的激励价格对钢铁企业进行时间更长、幅值更大的调控。
4.2.3 调峰效果分析
图8给出了3种场景下钢铁企业参与DR调峰效果,原始负荷整体呈现“双峰”状态,如黑色曲线所示。由图8可知,在时段8至时段12内,3种场景负荷峰值分别降低1%、1.4%和2.5%,在时段18至24内,3种场景负荷谷值分别上升1.43%、2.1%和3.35%,可见,3种场景均能有效削峰填谷,其中场景S3调峰效果最为明显,场景S1调峰效果较差。因此,虽然通过设置激励价格可以鼓励钢铁企业改变自身生产状况获得DR容量,从而实现调峰的效果,但是激励价格选取的不同,也会影响钢铁企业自身调控方式从而影响调峰效果。
图8 3种场景下钢铁企业的调峰效果
Fig.8 The effect of peak regulation in steel enterprises under three scenarios
根据图9所示的权重系数μ对调峰效果的影响情况可知,当处于场景S3的组合调节模式下,随着权重系数μ的降低,负荷曲线变得更为平缓。具体而言,当权重系数μ从0.75降至0.25时,时段8至时段12内,负荷峰值降低了3.22%;而在时段18至24内,负荷谷值上升了3.78%,有效地降低负荷峰谷差。这是由于随着权重系数μ的降低,调节生产设备获得的DR容量在总DR容量中的占比减少,而调节生产线获得的DR容量相对增加。因此,引入权重系数能够满足调度中心在调峰需求较大且单独调节生产设备或生产线无法满足DR容量时的调峰需求。然而,需要注意的是权重系数μ的选择受到生产计划和订单时效的约束。因此,在组合调节提供DR容量时,需要充分考虑生产因素的影响。
图9 权重系数μ对于调峰效果的影响
Fig.9 Influence of weight coefficient μ on peak regulation effect
5 结论
为合理调动短流程钢铁企业负荷资源参与电网调峰,本文提出了一种面向多生产线的短流程钢铁企业主从博弈调峰策略,研究得到如下结论。
1)对关键生产设备进行可调潜力分析,可获取各设备的可调区间,保证钢铁企业参与DR的准确性。
2)针对钢铁企业的响应能力构建的精细化模型,充分考量生产因素约束的影响,能够较好地反映钢铁企业真实可调容量,在3种场景下负荷峰值分别降低1%、1.4%和2.5%,调峰效果更为准确。
3)基于1-N的主从博弈模型得到的面向多生产线的短流程钢铁企业主从博弈调峰策略,在满足调度中心调峰需求的同时,增加了钢铁企业的收益,3种场景下收益分别增加4.9%、6.3%和6.8%,具有较好的经济性和可行性。
参考文献
-
[1]
刘泽洪,周原冰,金晨.支撑新能源基地电力外送的电源组合优化配置策略研究[J].全球能源互联网,2023,6(2):101-112.LIU Zehong, ZHOU Yuanbing, JIN Chen.Optimization strategy study on installation mix of renewable energy power base for supporting outbound delivery[J].Journal of Global Energy Interconnection, 2023, 6(2): 101-112(in Chinese). [百度学术]
-
[2]
程杉,傅桐,李沣洋,等.含高渗透可再生能源的配电网灵活性供需协同规划[J].电力系统保护与控制,2023,51(22):1-12.CHENG Shan, FU Tong, LI Fengyang, et al.Flexible supply demand collaborative planning for distribution networks with high penetration of renewable energy[J].Power System Protection and Control, 2023, 51(22): 1-12(in Chinese). [百度学术]
-
[3]
吴任博,黄奕俊.高比例可再生能源接入下含自愈性能的分布式配电网重构策略研究[J].发电技术,2024,45(5):975-982.WU Renbo, HUANG Yijun.Research on reconfiguration strategy of distributed distribution network with self-healing performance under high-proportion renewable energy access[J].Power Generation Technology, 2024, 45(5): 975-982(in Chinese). [百度学术]
-
[4]
张金良,胡泽萍.考虑不确定性和定价补偿的源荷储联合调峰优化[J].电力工程技术,2024,43(4):13-25.ZHANG Jinliang, HU Zeping.Coordinated peak-regulating optimization of source-load-storage system considering the uncertainty, pricing and compensation[J].Electric Power Engineering Technology, 2024, 43(4): 13-25(in Chinese). [百度学术]
-
[5]
韩子娇,那广宇,董鹤楠,等.考虑灵活性供需平衡的含电转氢综合能源系统鲁棒优化调度[J].电力系统保护与控制,2023,51(6):161-169.HAN Zijiao, NA Guangyu, DONG Henan, et al.Robust optimal operation of integrated energy system with P2H considering flexibility balance[J].Power System Protection and Control, 2023, 51(6): 161-169(in Chinese). [百度学术]
-
[6]
王飞,李美颐,张旭东,等.需求响应资源潜力评估方法、应用及展望[J].电力系统自动化,2023,47(21):173-191.WANG Fei, LI Meiyi, ZHANG Xudong, et al.Assessment methods for demand response resource potential and their application and prospect[J].Automation of Electric Power Systems, 2023, 47(21): 173-191(in Chinese). [百度学术]
-
[7]
李晓露,徐婉云,柳劲松,等.考虑时序相关性的需求侧资源可调节功率域聚合方法[J].电力系统保护与控制,2024,52(15):58-68.LI Xiaolu, XU Wanyun, LIU Jinsong, et al.Adjustable power domain aggregation method for demand-side resources considering temporal correlation[J].Power System Protection and Control, 2024, 52(15): 58-68(in Chinese). [百度学术]
-
[8]
郑海峰,贾跃龙,姚力,等.基于生产模拟和分行业产值单耗的电力需求侧资源价值计算方法[J].电力需求侧管理,2023,25(3):41-46.ZHENG Haifeng, JIA Yuelong, YAO Li, et al.Electricity demand-side resource value measurement method based on production simulation and unit consumption of output value by sector[J].Power Demand Side Management, 2023, 25(3): 41-46(in Chinese). [百度学术]
-
[9]
黄河,王燕,姜念,等.考虑用户诉求差异的居民可控负荷资源优化控制[J].发电技术,2023,44(6):896-908.HUANG He, WANG Yan, JIANG Nian, et al.Optimal control of residents’ controllable load resources considering different demands of users[J].Power Generation Technology, 2023,44(6): 896-908(in Chinese). [百度学术]
-
[10]
冉博路,张姝,黄河,等.基于二次聚类的工业用户负荷可调节潜力特征提取与综合评估方法[J].电力系统保护与控制,2023,51(18):157-168.RAN Bolu, ZHANG Shu, HUANG He, et al.Feature extraction and comprehensive evaluation method of load adjustable potential for industrial users based on secondary clustering[J].Power System Protection and Control, 2023, 51(18): 157-168(in Chinese). [百度学术]
-
[11]
高赐威,梁甜甜,李扬.自动需求响应的理论与实践综述[J].电网技术,2014,38(2):352-359.GAO Ciwei, LIANG Tiantian, LI Yang.A survey on theory and practice of automated demand response[J].Power System Technology, 2014, 38(2): 352-359(in Chinese). [百度学术]
-
[12]
王毅,张宁,康重庆,等.电力用户行为模型:基本概念与研究框架[J].电工技术学报,2019,34(10):2056-2068.WANG Yi, ZHANG Ning, KANG Chongqing, et al.Electrical consumer behavior model: basic concept and research framework[J].Transactions of China Electrotechnical Society,2019, 34(10): 2056-2068(in Chinese). [百度学术]
-
[13]
晋宏杨,孙宏斌,郭庆来,等.基于能源互联网用户核心理念的高载能-风电协调调度策略[J].电网技术,2016,40(1):139-145.JIN Hongyang, SUN Hongbin, GUO Qinglai, et al.Dispatch strategy based on energy Internet customer-centered concept for energy intensive enterprise and renewable generation to improve renewable integration[J].Power System Technology,2016, 40(1): 139-145(in Chinese). [百度学术]
-
[14]
周博,王博,高松,等.基于用户响应的分时电价模型研究[J].智能电网,2016,4(3):307-311.ZHOU Bo, WANG Bo, GAO Song, et al.Time-of-use price model based on customer response[J].Smart Grid, 2016, 4(3):307-311(in Chinese). [百度学术]
-
[15]
AI Q, FAN S L, PIAO L J.Optimal scheduling strategy for virtual power plants based on credibility theory[J].Protection and Control of Modern Power Systems, 2016, 1(1): 1-8. [百度学术]
-
[16]
王强,孙文强,徐宪东,等.钢包精炼炉 (LF) 作为可削减负荷的灵活性评估[J].材料与冶金学报,2022,21(2):150-156.WANG Qiang, SUN Wenqiang, XU Xiandong, et al.Quantification of flexibility of ladle furnaces in iron and steel industry as cuttable load[J].Journal of Materials and Metallurgy, 2022, 21(2): 150-156(in Chinese). [百度学术]
-
[17]
SAMET H, GHANBARI T, GHAISARI J.Maximum performance of electric arc furnace by optimal setting of the series reactor and transformer taps using a nonlinear model[J].IEEE Transactions on Power Delivery, 2015, 30(2): 764-772. [百度学术]
-
[18]
YANG L Z, JIANG T, LI G H, et al.Present situation and prospect of EAF gas waste heat utilization technology[J].High Temperature Materials and Processes, 2018, 37(4): 357-363. [百度学术]
-
[19]
刘文颖,文晶,谢昶,等.考虑风电消纳的电力系统源荷协调多目标优化方法[J].中国电机工程学报,2015,35(5):1079-1088.LIU Wenying, WEN Jing, XIE Chang, et al.Multi-objective optimal method considering wind power accommodation based on source-load coordination[J].Proceedings of the CSEE,2015, 35(5): 1079-1088(in Chinese). [百度学术]
-
[20]
GHOLIAN A, MOHSENIAN-RAD H, HUA Y B, et al.Optimal industrial load control in smart grid: a case study for oil refineries[C]//2013 IEEE Power & Energy Society General Meeting.July 21-25, 2013, Vancouver, BC.IEEE, 2013: 1-5. [百度学术]
-
[21]
ASHOK S, BANERJEE R.An optimization mode for industrial load management[J].IEEE Transactions on Power Systems, 2001, 16(4): 879-884. [百度学术]
-
[22]
BABU C A, ASHOK S.Peak load management in electrolytic process industries[J].IEEE Transactions on Power Systems,2008, 23(2): 399-405. [百度学术]
-
[23]
JIANG H, LIN J, SONG Y H, et al.MPC-based frequency control with demand-side participation: a case study in an isolated wind-aluminum power system[J].IEEE Transactions on Power Systems, 2015, 30(6): 3327-3337. [百度学术]
-
[24]
王历晔.面向多生产线工业电力负荷的调节方法及评价研究[D].广州:华南理工大学,2022. [百度学术]
-
[25]
CASTRO P M, SUN L G, HARJUNKOSKI I.Resource–task network formulations for industrial demand side management of a steel plant[J].Industrial & Engineering Chemistry Research, 2013, 52(36): 13046-13058. [百度学术]
-
[26]
马骏超,黄弘扬,楼伯良,等.分时电价背景下综合能源需求响应优化建模[J].电力工程技术,2020,39(5):99-106.MA Junchao, HUANG Hongyang, LOU Boliang, et al.Optimal modeling of integrated energy demand response under time-shared electricity price[J].Electric Power Engineering Technology, 2020, 39(5): 99-106(in Chinese). [百度学术]
-
[27]
李春燕,许中,马智远.计及用户需求响应的分时电价优化模型[J].电力系统及其自动化学报,2015,27(3):11-16.LI Chunyan, XU Zhong, MA Zhiyuan.Optimal time-ofuse electricity price model considering customer demand response[J].Proceedings of the CSU-EPSA, 2015, 27(3): 11-16(in Chinese). [百度学术]
-
[28]
孔强,付强,林亭君,等.基于成本效益分析的峰谷分时电价优化模型[J].电力系统保护与控制,2018,46(15):60-67.KONG Qiang, FU Qiang, LIN Tingjun, et al.Optimal peakvalley time-of-use power price model based on cost-benefit analysis[J].Power System Protection and Control, 2018,46(15): 60-67(in Chinese). [百度学术]
-
[29]
舒隽,关睿,韩冰.工业大用户分时电价优化方法[J].电工技术学报,2018,33(7):1552-1559.SHU Jun, GUAN Rui, HAN Bing.Method of optimal timeof-use price for large industrial customers[J].Transactions of China Electrotechnical Society, 2018, 33(7): 1552-1559(in Chinese). [百度学术]
-
[30]
谈金晶,王蓓蓓,李扬.基于多智能体的用户分时电价响应模型[J].电网技术,2012,36(2):257-263.TAN Jinjing, WANG Beibei, LI Yang.Modeling of user response to time-of-use price based on multi-agent technology[J].Power System Technology, 2012, 36(2): 257-263(in Chinese). [百度学术]
-
[31]
何沁蔓,刘晓峰,王琦,等.聚合商调度策略研究计及用电满意度优先级划分的负荷[J].电网技术,2021,45(7):2666-2675.HE Qinman, LIU Xiaofeng, WANG Qi, et al.Scheduling strategy of load aggregator considering priority classification of electricity consumption satisfaction[J].Power System Technology, 2021, 45(7): 2666-2675(in Chinese). [百度学术]
-
[32]
宁艺飞,陈星莺,颜庆国,等.分时电价下大用户概率响应建模研究[J].电力需求侧管理,2017,19(1):22-28.NING Yifei, CHEN Xingying, YAN Qingguo, et al.Research on modeling of large users probability response based on TOU price[J].Power Demand Side Management, 2017, 19(1): 22-28(in Chinese). [百度学术]
-
[33]
BAO P, ZHANG W, ZHANG Y X.Secondary frequency control considering optimized power support from virtual power plant containing aluminum smelter loads through VSCHVDC link[J].Journal of Modern Power Systems and Clean Energy, 2023, 11(1): 355-367. [百度学术]
-
[34]
WU Y J, LIN Z W, LIU C J, et al.A demand response trade model considering cost and benefit allocation game and hydrogen to electricity conversion[J].IEEE Transactions on Industry Applications, 2022, 58(2): 2909-2920. [百度学术]
-
[35]
HUANG X F, HONG S H, LI Y T.Hour-ahead price based energy management scheme for industrial facilities[J].IEEE Transactions on Industrial Informatics, 2017, 13(6): 2886-2898. [百度学术]
-
[36]
GUO N X, WANG Y N, YAN G F.A double-sided noncooperative game in electricity market with demand response and parameterization of supply functions[J].International Journal of Electrical Power & Energy Systems, 2021, 126:106565. [百度学术]
-
[37]
GOLMOHAMADI H, KEYPOUR R, BAK-JENSEN B, et al.Robust self-scheduling of operational processes for industrial demand response aggregators[J].IEEE Transactions on Industrial Electronics, 2020, 67(2): 1387-1395. [百度学术]
基金项目
国网河北省电力有限公司科技项目(工业负荷灵活资源动态聚合互动响应与协同调控关键技术研究与应用,kj2023-029)。
Science and Technology Project of State Grid Hebei Electric Power Co., Ltd.(Research and Application of Key Technology of Dynamic Aggregation Interactive Response and Collaborative Regulation of Industrial Load Resources, kj2023-029).
