相关论文:
-
-
全球能源互联网
第8卷 第6期 2025年11月;页码:762-773
储能型虚拟直流发电机非等容锂电池健康状态均衡策略
State of Health Balancing Scheme for Non-equal Capacity Lithium Batteries in Energy Storage Virtual DC Generator
- 1.太原科技大学电子信息工程学院,山西省 太原市 030024
- 2.太原科技大学先进控制与装备智能化山西省重点实验室,山西省 太原市 030024
- 3.国网山西省电力公司电力科学研究院,山西省 太原市 030001
- WU Qingfeng1,2*, WANG Yi1, LIU Liqun1, ZHU Yanjun1, FAN Yamin1, BO Liming3 (1.College of Electronic Information Engineering, Taiyuan University of Science and Technology, Taiyuan 030024, Shanxi Province, China
- 2.Shanxi Provincial Key Laboratory of Advanced Control and Equipment Intelligence at Taiyuan University of Science and Technology, Taiyuan 030024, Shanxi Province, China
- 3.Electric Power Research Institute of State Grid Shanxi Electric Power Company, Taiyuan 030001, Shanxi Province, China
关键词
Keywords
摘 要
Abstract
当直流微电网锂电池DC/DC变换器采用传统虚拟直流发电机(virtual DC generator,VDCG)控制策略时无法均衡锂电池健康状态(state of health,SOH),增加锂电池维护成本。现有基于VDCG控制的方案仅能实现锂电池荷电状态(state of charge,SOC)参数均衡。因此,提出基于VDCG的非等容锂电池组SOH均衡策略。首先,结合VDCG和SOH估算公式,解析VDCG调节SOH原理。其次,结合容量差异对SOH均衡的影响重新设计调节系数。然后,将锂电池放电深度(depth of discharge,DOD)作为均衡变量与VDCG输出有功功率结合,通过调节有功功率均衡SOH参数实现SOH均衡。再次,建立基于VDCG控制方案小信号模型,通过根轨迹选取保证系统不失稳的控制参数。最后,MATLAB仿真软件获得的仿真波形验证了所提方案的有效性。
When the traditional virtual DC generator (VDCG)control strategy is used in the DC/DC converter of lithiumion batteries in a DC microgrid, the state of health (SOH) of the lithium-ion battery cannot be balanced, which increases the maintenance cost of the lithium-ion battery.Existing schemes based on VDCG control can only achieve state of charge (SOC)parameter balancing of lithium batteries.Therefore, this paper proposes a SOH balancing strategy for non-equal capacity lithium battery packs based on VDCG.First, combining VDCG and SOH estimation formula, the principle of VDCG regulating SOH is analyzed.Secondly, the adjustment coefficient is redesigned according to the influence of capacity difference on SOH balancing.Then, the depth of discharge (DOD) of the lithium battery is combined with the VDCG output active power as an equilibrium variable, and the SOH balancing is achieved by adjusting the active power.Thirdly, a small signal model based on VDCG control scheme is established, and the control parameters to ensure system stability is selected through root trajectory.Finally, the simulation waveforms obtained by MATLAB simulation software validated the effectiveness of the proposed scheme.
0 引言
直流微电网包含光伏、风电等低碳发电系统,是中国实现“双碳”目标的手段之一[1]。直流微电网中光伏、风电等低碳发电系统通过DC/DC变换器并网,会使微电网缺乏惯性,易造成系统失稳[2-3]。针对此问题,学者提出直流微电网中锂电池DC/DC变换器采用虚拟直流发电机(virtual DC generator,VDCG)控制策略来增大系统惯性[4]。电池健康状态(state of health,SOH)是表征锂电池老化程度的关键参数,其是否均衡关系到锂电池组能否同时退役。同时,受环境温度、老化程度和负荷大小不一致影响,实际微电网中安装的锂电池组容量难以完全一致。直流微电网非等容锂电池组DC/DC变换器采用传统的VDCG控制方法时,无法自均衡SOH参数。SOH不均衡会导致微电网内锂电池组退役时间不一致,增加锂电池组维护费用。此外,SOH不均衡还会缩短锂电池组的使用寿命,降低锂电池组容量利用率,进一步增加锂电池使用成本[5]。鉴于VDCG可增大系统惯性和微电网锂电池容量不一致特性,研究基于VDCG的非等容锂电池组SOH均衡策略具有重要意义。
如何实现SOH均衡一直是学者关注的焦点。文献[6]提出对传统P-f下垂控制进行改进,改进后的算法能够根据初始SOH状态调节锂电池组逆变器输出有功功率,实现交流微电网内锂电池组SOH均衡。文献[7]通过将锂电池组的SOH状态参数上传至中央处理器,通过对比SOH参数值,控制不同SOH状态锂电池的切换来实现SOH均衡。文献[8]提出主被动相结合的均衡技术,实现储能型模块化多电平系统锂电池组内与组间的SOH均衡。文献[9]通过DC/DC变换器转移锂电池之间的能量,以实现串联锂电池的SOH均衡。但文献[6-9]提出的SOH均衡方案均未解决VDCG控制下的SOH均衡问题。
目前,大多数基于VDCG控制的锂电池状态参数均衡方案只聚焦荷电状态(state of charge,SOC)参数,对SOH参数均衡研究尚未深入开展。文献[10]提出自适应下垂控制,将双曲正切函数与SOC相结合,限制下垂系数的范围并快速进行电压补偿,实现功率的精确分配以及SOC均衡。文献[11]提出在VDCG控制下将SOC参数融入电枢电阻,通过调节虚拟电枢电阻值使等容锂电池SOC均衡。文献[12]提出一种VDCG控制下的多台不同容量锂电池SOC均衡策略。但由于SOC和SOH参数含义不同,上述所提基于VDCG的SOC均衡方案难以实现SOH参数均衡。
针对现有基于VDCG控制方案无法实现SOH均衡的不足,同时考虑到实际工况中锂电池的容量难以维持一致,本文提出了一种基于VDCG控制的非等容锂电池组SOH均衡方案。该方案将锂电池组放电深度(depth of discharge,DOD)作为均衡变量融入到VDCG控制中,通过设置不同的调节系数,消除容量差异对锂电池组SOH均衡的影响,实现多台锂电池组间SOH均衡,降低了锂电池更换成本与维护费用。建立VDCG小信号模型,分析关键参数对系统稳定性的影响,为关键参数的取值提供依据。仿真结果验证所提方案的可行性。
1 传统VDCG控制的SOH特性分析
1.1 传统VDCG控制方案
VDCG控制是通过控制DC/DC变换器模拟直流发电机,从而维持系统母线电压稳定[13],如图1所示。其中,Ea为电枢电压;Ra、Ia分别为电枢回路电阻和电流;U为机端电压;U1、I1分别为变换器的输入电压和电流;U2、I2分别为变换器的输出电压和电流;L、C分别为滤波电感和电容[14]。
图1 VDCG数学模型
Fig.1 VDCG mathematical model
在VDCG控制中,基本方程包括机械方程和电枢方程[15],机械方程为:

电枢方程为:
式中:J为转动惯量;D为阻尼系数;Tm为机械转矩;Te为电磁转矩;ω0和ω分别为额定角速度和实际角速度;CT为转矩系数;Φ为每极磁通。
1.2 SOH估算
实现SOH估算是SOH均衡的前提。当前SOH估算应用最广泛的方法是电容法[16]和内阻法[17]。然而电容法需要多次充放电测试,内阻法对于温度等环境影响非常敏感。因此,文献[18]提出了基于生命周期的SOH表达式。
式中:Cacu为累计生命周期;DOD为电池放电深度;a、b为正的常数;SOH0为锂电池组初始SOH。
同时,文献[19]提出DOD与SOC在某时刻的变化量(ΔSOC)有着密切的关系,可将式 (3) 中的DOD变量用ΔSOC来表示,其表达式为

式中:Pi为第i个锂电池组DC/DC变换器输出的有功功率;Udc为锂电池的端电压;Cei为第i台锂电池的额定容量;io为锂电池的输出电流。
结合式(3)—(4)可知,锂电池组的SOH与DC/DC变换器输出的有功功率Pi有关,通过调节Pi可影响SOH值。
1.3 VDCG控制下的SOH特性分析
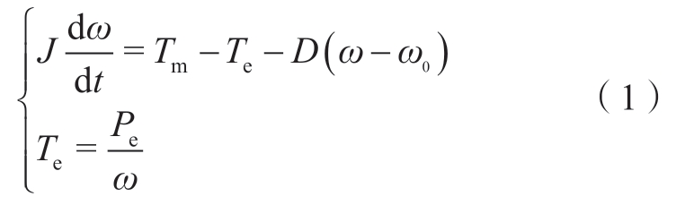
图2为传统VDCG控制下,2台容量分别为200 Ah、150 Ah锂电池并联运行仿真波形,在t=6.0 s时加重负荷。由于传统VDCG具有功率均分的控制效果,因此图2 (c) 中2条有功功率曲线逐渐重合,直至均分。此外,t=1.0 s前的暂态有功功率说明VDCG控制下微电网的惯性有了显著的提高。根据式 (4) 可知,由于在t1—t2时间段2台锂电池组有功功率超调不一致且对有功功率采用积分算法求出DOD,因此图2 (b) 中2条DOD曲线无法重合。若图2 (b) 中DOD不一致,结合式 (3) 可知,传统VDCG控制下无法使SOH均衡(见图2 (a))。此外,根据图2 (d) 显示,传统VDCG控制下无法维持电压稳定,母线电压与额定值相比跌了近20 V。

图2 传统VDCG控制下SOH特性图
Fig.2 SOH characteristics of traditional VDCG control
2 基于VDCG的非等容锂电池SOH均衡方案
为了抑制负荷变化而引起的直流母线电压失稳,引入调节系数维持电压稳定,消除容量差异,其控制表达式 (5) 如下。
式中:Ui为母线电压;Uref为额定电压;ki为调节系数;Pi为DC/DC变换器输出的有功功率。
为了实现锂电池组的SOH均衡,在式 (5) 的基础上引入均衡因子εi调节有功功率Pi。引入后的表达式为:

式中:εi为SOH均衡因子;n为常数。
将式(6)有功功率变形可得式(7)。
将式(7)代入式(3)可得:

由式(8)分析可知:调节系数ki与容量Cei相互抵消,消除容量不同引起的SOH不均衡。此时,通过调节均衡变量DOD,引入均衡因子εi调节输出有功功率即可实现SOH均衡。此外,由于εi处于 (0,1) 区间,并且通过乘法关系与有功功率结合。因此,和传统VDCG相比,采用所提方案母线电压偏移程度会降低。
本文所提基于VDCG的SOH均衡方案控制框图如图3所示。采集DC/DC变换器的电流io,根据式(4)得到均衡因子εi中的DODi变量,随后得到式(6)中的均衡因子εi。引入εi后,可调节有功功率Pi使SOH高的输出有功功率多,再经过VDCG控制环节得到电枢电流Ia,最后经过电流跟踪控制,生成控制DC/DC变换器的PWM波形用于控制IGBT的通断,实现SOH均衡。
图3 基于VDCG的SOH均衡控制框图
Fig.3 Block diagram of SOH balancing control based on VDCG
本文以2台容量分别为200 Ah、150 Ah锂电池组为例,分析所提控制方案实现SOH均衡原理。所提控制方案下SOH均衡过程如图4所示。假设在初始t时刻SOH1>SOH2 (见图4(a)),根据式 (3),则在t时刻DOD满足DOD1<DOD2。根据式 (6) 可知,在t+1时刻均衡因子ε满足ε1<ε2。根据式 (7) 可知,在均衡因子εi的调节下,SOH高的锂电池组能够输出更多的有功功率(见图4(c))。在所提算法的调节下,图4(b)中两条DOD曲线逐渐重合,DOD的变化量ΔDOD(ΔDOD=DOD(t+1)- DOD(t)满足ΔDOD1>ΔDOD2,这表示健康程度良好(即SOH高)的DOD变化量更大,处于深度放电状态。在DOD参数的影响下,根据式 (6),ε1在逐渐增大,ε2在逐渐减小(见图4 (d))。随着调节过程的进行,2条DOD和ε曲线趋于一致。当ε1=ε2时,根据式 (6),满足DOD1=DOD2,同时SOH达到均衡(见图4(a))。
图4 所提控制方案下SOH均衡过程
Fig.4 SOH balancing process under the proposed control scheme
本文所提基于VDCG的SOH均衡系统构架图如图5所示。首先,测量DC/DC变换器的电流io,接着,根据式(4)得到DOD参数。然后,根据式(6)得到DOD均衡因子εi。把εi加入VDCG控制方案,再根据锂电池容量关系设置控制系数就可以得到改进型VDCG控制方案。根据VDCG控制方案就可以获得能够均衡非等容锂电池SOH的有功功率和电流环的参考值,将该电流参考值与DC/DC变换器输出的电流io做差,再经过PI控制器就可得到PWM载波。经过PWM调制过程后就可以得到DC/DC变换器的IGBT的开关控制信号。最后,根据式(3)测量出的SOH值,检验所提方案能否取得良好的控制效果。
图5 基于VDCG的SOH均衡系统构架图
Fig.5 Architecture diagram of SOH balancing system based on VDCG
3 小信号稳定性分析
3.1 系统小信号建模
为研究VDCG控制下J、D、ki参数对系统稳定性的影响,对其进行小信号建模及分析,为VDCG控制选取合适范围的控制参数,达到良好的SOH均衡效果。DC-DC变换器小信号模型如图6所示。其中,d为占空比,R、L为等效电路的电阻和电感,^为小扰动信号,
1和
2分别为等效电路两侧的小扰动输入、输出电压,
和
分别为等效电路两侧的小扰动输入、输出电流[20]。
图6 DC/DC变换器小信号模型
Fig.6 Small signal model of DC/DC converter
依据图6分别对左右两个回路列写KVL、KCL方程,得到小信号方程如式(9)所示:

根据式(9)推导出小信号动态模型为:

式中:Gud(s)、Gid(s)分别为占空比d到DC/DC变换器输出电压与输入电流的传递函数。
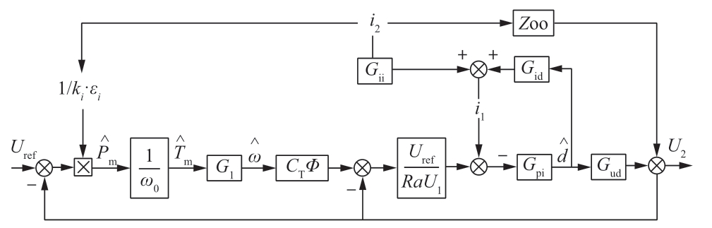
含关键控制参数J、D、ki的VDCG小信号模型框图,如图7所示。
图7 VDCG小信号模型
Fig.7 VDCG Small Signal Model
其依据图7得到小信号模型中传递函数如下。

式中:ki、εi分别为调节系数和均衡因子,在稳定性分析中取(0,1)的正常数值;G1(s)为转子角速度ω对机械转矩Tm的传递函数;G2(s)与G3(s)的乘积为电枢电动势偏差ΔEa对母线电压偏差ΔU的传递函数;Zoo(s)为开环输出阻抗的传递函数;kp和kh为电流PI控制器的比例和积分系数。Gii(s)为输入电流对输出电流传递函数;Gpi(s)为比例积分系数。
3.2 小信号稳定性分析
根据图7中的VDCG小信号模型可以得到闭环传递函数为:
DC/DC变换器等效闭环输出阻抗为:
其中:
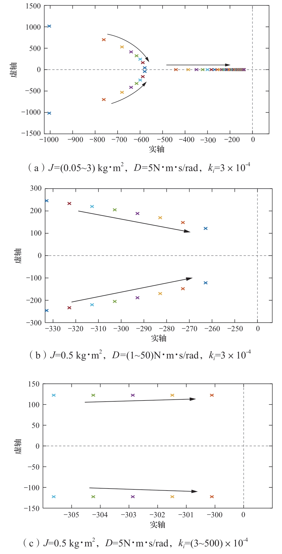
根据式(12)绘制不同转动惯量J、阻尼系数D、调节系数ki下的主导极点图,如图8所示。由于主导极点决定系统稳定运行[21],因此图8显示了不同控制参数下主导极点变化图。当J、D、ki较小时,图8中主导极点的根轨迹都在虚轴左半边稳定区域,但随着J、D、ki参数不断增大,主导极点逐渐靠近虚轴右半边的不稳定区域,造成系统不稳定运行。因此,需要选择合适的J、D、ki参数使主导极点位于虚轴左半边稳定区域,保证系统稳定运行。
图8 不同J、D、ki下的主导极点图
Fig.8 Dominant pole plots under different J, D, ki
为进一步分析参数J和D对直流微电网系统的稳定性的影响,采用阻抗比判据[22-24],即通过直流微电网等效闭环输出阻抗Zo与负荷输入阻抗Zi的比值来判别稳定性,当阻抗比值的Nyquist曲线不包围(-1,0)时,则系统为稳定状态。其中Zo和Zi的表达式如下:

式中:L1、C1分别为负荷侧的滤波电感和电容;RL为负载电阻;Rline1、Rline 2分别为直流微电网的不同线路阻抗。
不同J、D参数下的Nyquist曲线如图9所示。从图9可以看出,在设定的范围内,随着J、D参数的不断增大,其Nyquist曲线离(-1,0)点较远且有较大的裕度,始终保持在稳定区域内,说明在一定范围内对J、D参数进行调节,不会对直流微电网稳定性造成影响。
图9 不同J、D参数下的Nyquist图
Fig.9 Nyquist diagrams under different J, D parameters
4 仿真验证与分析
为验证所提方案的可行性,使用Matlab/Simulink搭建多台非等容锂电池并联仿真模型,仿真参数见表1。①工况1中和已有基于VDCG的非等容锂电池SOC均衡方案进行对比,以验证SOC均衡方案无法均衡SOH参数,突出研究SOH均衡方案的必要性;②研究了现存SOH均衡方案在VDCG适用性,以验证研究适用VDCG的SOH均衡方案的先进性;③由于实际工程中锂电池容量难以一致,因此工况3中验证非等容锂电池DC/DC变换器采用所提方案时的SOH均衡效果,以突出所提方案对现有SOC均衡方案的优越性和实际应用价值;④在锂电池为刚出厂的新电池或者特别挑选后,锂电池的容量也可能一致,为验证这种较理想工况下所提方案的有效性,工况4中设置锂电池的容量完全一致;⑤随着微电网内负荷和光伏、风机数量的不断增加,要求微电网内配置多台锂电池,以满足负荷供电和光伏、风机能量调节要求,以保持微电网系统的正常运行,因此工况5设置了多台锂电池运行的情况;⑥微电网系统要求控制方案在受到扰动时具有一定的鲁棒性,为此,在工况6中设置了J、D参数在负荷发生变化的扰动工况,以验证控制方案的鲁棒性。
表1 所提方案仿真参数
Table 1 Simulation parameters of the proposed scheme
参数名称 数值 参数名称 数值锂电池电压Udc/V 600 锂电池容量Cei/Ah 200额定电压U0/V 850 150线路阻抗Ri/Ω 0.2 调节系数ki 1/5000 0.4 1/3750额定角频率ω0/ (rad·s-1) 314 电枢电阻Ra/Ω 0.2转矩系数CT 18 转动惯量J/ (kg·m2) 0.5每极磁通Φ/Wb 0.146 5 阻尼系数D 5变换器输出电容C/F 4.7×10-3 变换器电感/H 6×10-3锂电池系数a 694 锂电池累计生命周期Cacu 500锂电池系数b 0.795
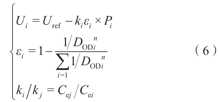
1)工况1:现有SOC均衡方案仿真验证。
文献[12]提出一种基于VDCG的非等容锂电池SOC均衡方案,其控制效果如图10。仿真中,2台锂电池的容量分别设置为200 Ah和150 Ah,在t=6.0 s加入负荷。由图10 (a) 可知,现有基于VDCG的SOC均衡方案解决了非等容工况下SOC均衡问题。受容量参数的影响,图10 (d) 中有功功率和容量成比例关系。该方案通过在VDCG控制方案中引入SOC调节因子实现有功功率调节及SOC均衡,但SOC与SOH参数的含义和估算公式均不一致,按照文献[12]所提有功功率分配法则无法均衡图10 (c) 中的DOD值,导致图10 (b) 中的SOH参数也无法均衡。此外,文献[12]增加一个电压补偿环节来补偿电压偏移,因此图10(e)中的电压偏移不大。图10说明现有基于VDCG的非等容锂电池SOC均衡方案无法实现SOH参数均衡,因此有必要研究一种基于VDCG的锂电池SOH均衡策略。
图10 现有锂电池组SOC均衡方案控制效果
Fig.10 Control effectiveness of existing SOC balancing scheme for lithium battery packs
2)工况2:现有SOH均衡方案仿真验证。
将文献[18]基于MMC-BESS的SOH均衡的方案应用到传统VDCG控制中,得到的仿真波形如图11。图11说明,文献[18]中的能量分配法只适用于MMCBESS系统,无法实现VDCG控制系统中锂电池SOH均衡,从而突出了所提方案的优越性。
图11 文献[18]方案下的SOH控制效果图
Fig.11 SOH control effect diagrams under the scheme in reference [18]
3)工况3:非等容锂电池组SOH均衡效果仿真验证。
所提方案应用在非等容锂电池组的SOH控制效果如图12。2台锂电池容量和工况1保持一致,在t=6.0s加入负荷。由于所提方案将DOD以合理的方式和VDCG控制方案结合。因此,图12 (c) 健康状态好的锂电池1输出的有功功率更高,导致图12 (b) 中锂电池1的ΔDOD1值越大,处于深度放电状态。健康状态较差的锂电池2输出的有功功率值小,导致图12 (b) 中锂电池2的ΔDOD2值比ΔDOD1小,处于浅度放电状态。在该机制的调节下,图12(a)中2条SOH曲线均衡差逐渐减少,直至均衡。此外,和图10 (e) 类似,图12(d) 中母线电压仅跌1 V,克服图2 (d) 电压偏移过大问题,验证了所提方案在维持电压质量方面的优势。
图12 所提非等容锂电池组SOH均衡方案的控制效果
Fig.12 Control effect of the SOH balancing scheme for the nonequal capacity lithium battery pack
4)工况4:等容锂电池组SOH均衡效果仿真验证。
若是刚出厂的新锂电池或者经过特别挑选,直流微电网中的锂电池容量也有可能一致。图13为2台等容锂电池组采用所提SOH均衡方案仿真波形。仿真中2台锂电池的容量均设定为200 Ah,在t=6.0 s时加重负荷。图13说明所提SOH调节机制也适用于等容锂电池组。和图12 (c) 不同,由于容量参数一致,式 (6)中调节系数ki之比为1,因此图13 (c) 中有功功率呈均分状态。此外DOD及母线电压状态也和图12基本保持一致。图13说明所提方案也适用于容量一致的锂电池组。

图13 所提等容锂电池组SOH均衡方案的控制效果
Fig.13 Control effect of the SOH balancing scheme for the equal capacity lithium battery pack
5)工况5:多台非等容锂电池扩容仿真验证。
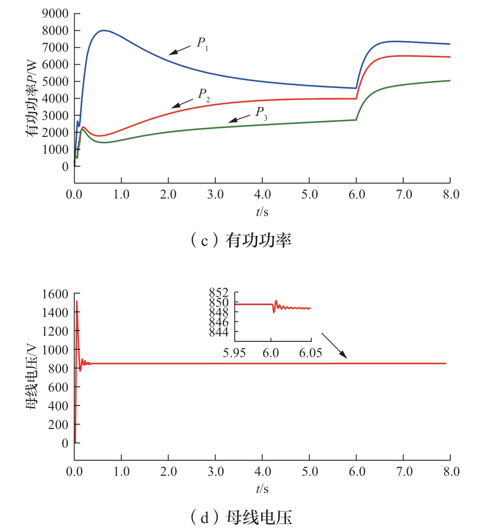
随着微电网内负荷和光伏、风机数量的不断增加,要求微电网内配置多台锂电池,以满足负荷供电和光伏、风机能量调节要求,以保持微电网系统的正常运行。为验证所提方案是否具有良好的扩容性,将微电网锂电池的台数由工况3中的2台增加到3台,在t=6.0 s加入负荷。仿真中3台锂电池组的容量分别为200 Ah、180 Ah、150 Ah。由图14可知,锂电池台数增加后所提方案仍能根据初始SOH状态对锂电池DOD和有功功率进行调节,使SOH高的锂电池输出的有功功率和DOD值增加,达到SOH均衡效果,验证所提方案控制效果不受锂电池台数影响。在台数增加后母线电压波动范围和工况3相比未发生明显变化。图14说明在含多台锂电池的微电网系统,所提方案也能取得良好的SOH均衡效果。
图14 多台锂电池组SOH均衡方案的控制效果
Fig.14 Control effect of SOH balancing scheme for multiple lithium battery packs
6)工况6:系统鲁棒性分析。
直流微电网的稳定运行要求所提方案对干扰具备较强的鲁棒性。J和D参数会影响系统的鲁棒性,为此,在工况6中 J和D参数发生了变化,并以电压变量为例,验证所提方案的鲁棒性。图15说明在t=6.0 s时负载功率突然增大10 kW,母线电压无明显下降,经过约0.1 s的波动恢复至稳定值。说明J和D参数在一定范围内波动时,所提方案具有良好的鲁棒性。
图15 不同J、D参数下的母线电压动态响应图
Fig.15 Dynamic response diagrams of bus voltage under different J, D parameters
5 结论
本文提出一种基于VDCG控制的SOH均衡控制方案,将锂电池DOD当作均衡变量来改变输出有功功率值,达到SOH均衡效果。提出的SOH均衡方法延长了锂电池组寿命,降低了锂电池组维护费用。与现有SOH均衡方案相比,本文所提SOH均衡方案特点如下:
1)所提方案在VDCG控制中引入和锂电池容量成反比的调节系数ki,消除了容量差异对SOH均衡效果的影响;设计DOD相关的SOH均衡因子εi来调节锂电池DC/DC变换器有功功率输出,实现SOH均衡,同时保持了系统大惯性特征;
2)现有的方案需要引入额外的电压调节环进行电压恢复,而本文方案中,由于εi处于(0,1)的范围内并且通过乘法关系与VDCG结合,降低了电压偏移度;
3)所提方案能够克服基于VDCG的SOC均衡方案无法均衡SOH参数的缺陷,通过调节有功功率影响DOD值,实现等容/非等容锂电池的SOH均衡;在含多台锂电池的微电网系统中,锂电池有功功率能够自动重新分配,实现多台锂电池SOH均衡;在系统存在扰动时,所提方案能够自动调节并具有良好的鲁棒性。
参考文献
-
[1]
侯林涛,张彩萍,蔡雪,等.基于阻抗谱重构技术的电池健康状态快速估计方法[J].全球能源互联网,2024,7(2):145-154.HOU Lintao, ZHANG Caiping, CAI Xue, et al.A fast estimation method of battery state of health based on impedance spectroscopy reconstruction technique[J].Journal of Global Energy Interconnection, 2024, 7(2): 145-154(in Chinese). [百度学术]
-
[2]
吴青峰,杨艺涛,刘立群,等.基于下垂控制的锂电池能量状态均衡控制策略[J].电网技术,2025,49(2):790-797.WU Qingfeng, YANG Yitao, LIU Liqun, et al.State-ofenergy balancing strategy for lithium battery based on droop control[J].Power System Technology, 2025, 49(2): 790-797(in Chinese). [百度学术]
-
[3]
吴青峰,褚晓林,刘立群,等.基于VSG的微电网非等容锂电池SOC均衡方案[J].高电压技术,2024,50(11):5142-5150.WU Qingfeng, CHU Xiaolin, LIU Liqun, et al.SOC balancing scheme of non-equal capacity lithium battery in microgrid based on VSG[J].High Voltage Engineering, 2024, 50(11):5142-5150(in Chinese). [百度学术]
-
[4]
马越超,王生铁,刘广忱,等.基于虚拟直流发电机的风储直流微电网控制策略研究[J].高电压技术,2020,46(11):3819-3831.MA Yuechao, WANG Shengtie, LIU Guangchen, et al.Research on virtual DC generator-based control strategy of DC microgrid with wind/energy storage[J].High Voltage Engineering, 2020, 46(11): 3819-3831(in Chinese). [百度学术]
-
[5]
吴青峰,智泽英,于少娟,等.基于多代理的微电网分布式储能系统健康状态平衡方案[J].太阳能学报,2022,43(2):104-112.WU Qingfeng, ZHI Zeying, YU Shaojuan, et al.Soh balancing scheme for distributed energy storage systems in microgrid based on multi-agent[J].Acta Energiae Solaris Sinica, 2022,43(2): 104-112(in Chinese). [百度学术]
-
[6]
吴青峰,杨凯义,于少娟,等.基于无通讯的微电网储能系统主动SOH协同控制方案[J].太阳能学报,2023,44(5):40-47.WU Qingfeng, YANG Kaiyi, YU Shaojuan, et al.Active soh cooperative control scheme of microgrid energy storage systems based on no-communication[J].Acta Energiae Solaris Sinica, 2023, 44(5): 40-47(in Chinese). [百度学术]
-
[7]
CHOWDHURY S, BIN SHAHEED M N, SOZER Y.An integrated state of health (SOH) balancing method for lithiumion battery cells[C]//2019 IEEE Energy Conversion Congress and Exposition (ECCE).September 29-October 3, 2019.Baltimore, MD, USA.IEEE, 2019: 5759-5763. [百度学术]
-
[8]
MA Z, GAO F, GU X, et al.Multilayer SOH equalization scheme for MMC battery energy storage system[J].IEEE Transactions on Power Electronics, 2020, 35(12): 13514-13527. [百度学术]
-
[9]
SHI Y, SMITH K, ZANE R G, et al.Life prediction of large lithium-ion battery packs with active and passive balancing[C]//2017 American Control Conference (ACC).May 24-26, 2017, Seattle, WA, USA.IEEE, 2017: 4704-4709. [百度学术]
-
[10]
陈勃旭,崔炜,陈宇,等.分布储能直流微电网中多储能荷电均衡控制策略[J].电力系统保护与控制,2023,51(24):111-120.CHEN Boxu, CUI Wei, CHEN Yu, et al.Charge balance control strategy for multiple energy storage in a distributed energy storage DC microgrid[J].Power System Protection and Control, 2023, 51(24): 111-120(in Chinese). [百度学术]
-
[11]
ZHI N, DING K, DU L, et al.An SOC-based virtual DC machine control for distributed storage systems in DC microgrids[J].IEEE Transactions on Energy Conversion, 2020,35(3): 1411-1420. [百度学术]
-
[12]
吴青峰,褚晓林,刘立群,等.基于VDCG的直流微电网退役锂电池SOC均衡方案[J].电力系统保护与控制,2024,52(15):14-23.WU Qingfeng, CHU Xiaolin, LIU Liqun, et al.SOC balancing scheme for lithium batteries in a DC microgrid based on VDCG[J].Power System Protection and Control, 2024, 52(15):14-23(in Chinese). [百度学术]
-
[13]
曾国辉,廖鸿飞,赵晋斌,等.直流微网双向DC/DC变换器虚拟惯量和阻尼系数自适应控制策略[J].电力系统保护与控制,2022,50(6):65-73.ZENG Guohui, LIAO Hongfei, ZHAO Jinbin, et al.A selfadaptive control strategy of virtual inertia and a damping coefficient for bidirectional DC-DC converters in a DC microgrid[J].Power System Protection and Control, 2022,50(6): 65-73(in Chinese). [百度学术]
-
[14]
王勉,唐芬,赵宇明,等.虚拟直流电机的参数自适应控制策略[J].电力系统自动化,2020,44(14):148-155.WANG Mian, TANG Fen, ZHAO Yuming, et al.Parameter adaptive control strategy of virtual DC machine[J].Automation of Electric Power Systems, 2020, 44(14): 148-155(in Chinese). [百度学术]
-
[15]
张辉,张凯涛,肖曦,等.模拟直流发电机特性的储能变换器控制策略[J].电力系统自动化,2017,41(20):126-132.ZHANG Hui, ZHANG Kaitao, XIAO Xi, et al.Control strategy of energy storage converter for simulating DC generator characteristics[J].Automation of Electric Power Systems, 2017, 41(20): 126-132(in Chinese). [百度学术]
-
[16]
李超然,肖飞,樊亚翔,等.基于卷积神经网络的锂离子电池SOH估算[J].电工技术学报,2020,35(19):4106-4119.LI Chaoran, XIAO Fei, FAN Yaxiang, et al.An approach to lithium-ion battery SOH estimation based on convolutional neural network[J].Transactions of China Electrotechnical Society, 2020, 35(19): 4106-4119(in Chinese). [百度学术]
-
[17]
GOUD J S, KALPANA R, SINGH B.An online method of estimating state of health of a Li-ion battery[J].IEEE Transactions on Energy Conversion, 2021, 36(1): 111-119. [百度学术]
-
[18]
LI N, GAO F, HAO T Q, et al.SOH balancing control method for the MMC battery energy storage system[J].IEEE Transactions on Industrial Electronics, 2018, 65(8): 6581-6591. [百度学术]
-
[19]
李楠,高峰.基于储能型模块化多电平系统的多时间尺度控制策略[J].电工技术学报,2017,32(17):47-56.LI Nan, GAO Feng.Multi-time scale operational principle for battery integrated modular multilevel converter[J].Transactions of China Electrotechnical Society, 2017, 32(17):47-56(in Chinese). [百度学术]
-
[20]
ZHI N, DING Y G, DU L.Virtual DC generator control strategy based on differential compensation[C]//2019 IEEE Energy Conversion Congress and Exposition (ECCE).September 29-October 3, 2019, Baltimore, MD, USA.IEEE,2019: 1454-1458. [百度学术]
-
[21]
ZHI N, MING X, DING Y G, et al.Power-loop-free virtual DC machine control with differential compensation[J].IEEE Transactions on Industry Applications, 2022, 58(1): 413-422. [百度学术]
-
[22]
张勤进,张瀚文,刘彦呈,等.基于参数自适应的直流微源虚拟发电机控制策略[J].电力系统保护与控制,2021,49(18): 90-97.ZHANG Qinjin, ZHANG Hanwen, LIU Yancheng, et al.Control strategy for a DC micro source virtual generator based on adaptive parameters[J].Power System Protection and Control, 2021, 49(18): 90-97(in Chinese). [百度学术]
-
[23]
范培潇,刘学成,杨军,等.考虑配电网与电化学储能交互耦合关系的异常运行状态预警方法[J].全球能源互联网,2024,7(4): 383-392.FAN Peixiao, LIU Xuecheng, YANG Jun, et al.An abnormal operation state early warning method considering the interactive coupling relationship between distribution networks and electrochemical energy storage[J].Journal of Global Energy Interconnection, 2024, 7(4): 383-392(in Chinese). [百度学术]
-
[24]
侯林涛,张彩萍,蔡雪,等.基于阻抗谱重构技术的电池健康状态快速估计方法[J].全球能源互联网,2024,7(2):145-154.HOU Lintao, ZHANG Caiping, CAI Xue, et al.A fast estimation method of battery state of health based on impedance spectroscopy reconstruction technique[J].Journal of Global Energy Interconnection, 2024, 7(2): 145-154(in Chinese). [百度学术]
基金项目
山西省基础研究计划面上项目(202203021221153)。
Shanxi Province Basic Research Program General Project(202203021221153).
