相关论文:
-
-
全球能源互联网
第8卷 第6期 2025年11月;页码:721-733
提升弱电网静态电压稳定的构网型变流器容量配置与控制模式研究
Enhancing Static Voltage Stability in Weak Grid: Capacity Configuration and Control Mode of Grid-forming Converter
- 1.国网冀北电力有限公司电力科学研究院,北京市 西城区 100045
- 2.华北电力大学控制与计算机工程学院,北京市 昌平区 102208
- MENG Xiangshuai1,2, WANG Yaohan1*, LIN Zhongwei2, WU Linlin1, NA Zishang1,2, LIANG Kai1, MA Xiangkun1 (1.State Grid Jibei Electric Power Co., Ltd.Electric Power Science Research Institute, Xicheng District, Beijing 100045, China
- 2.School of Control and Computer Engineering, North China Electric Power University, Changping District, Beijing 102208, China
关键词
Keywords
摘 要
Abstract
近年来,随着电力系统中新能源渗透率的不断提升,新能源接入系统的弱电网特性日益凸显,给系统稳定运行带来系列问题,其中包括弱电网下新能源出力波动带来的电网电压宽幅振荡问题。基于有功功率-电压稳定曲线(以下简称PV曲线)潮流分析方法,提出基于构网型变流器配置以提升弱电网下静态电压稳定性的方法。首先考虑机组故障穿越非线性切换逻辑分析新能源变流器接入弱电网系统的功率-电压耦合特性,阐明跟网型变流器接入弱电网的静态电压失稳机理;之后从电网强度提升和动态无功支撑两个维度定性分析静态电压稳定性的影响因素,提出弱电网场景下构网型变流器配置原则和控制模式;最后构建基于真实构网型变流器控保的半实物仿真平台,对含构网型变流器的弱电网系统静态电压稳定特性进行仿真验证。结果表明,配置构网型变流器可有效提升弱电网系统短路比和电压支撑能力,提高新能源接入弱电网的静态电压稳定性,有效解决电网电压宽幅振荡问题。
In recent years, the escalating penetration of renewable energy sources (RES) in power systems has intensified the prevalence of weak grid characteristics,introducing critical challenges to operational stability.A prominent issue lies in the wide-range voltage oscillations induced by RES output fluctuations under weak grid conditions.This paper presents a methodology to enhance static voltage stability in weak grids through the strategic deployment of grid-forming converters (GFMs), leveraging power-voltage(PV) curve-based power flow analysis.Initially, the nonlinear switching logic of RES converters during fault ride-through(FRT) operations is investigated to unravel the power-voltage coupling dynamics in weak grid integration scenarios, thereby elucidating the inherent static voltage instability mechanisms of grid-following converters (GFLs).Subsequently, the determinants of static voltage stability are qualitatively analyzed from dual perspectives—grid strength reinforcement and dynamic reactive power support—leading to the establishment of configuration principles and control paradigms for GFMs in weak grid environments.A hardware-in-the-loop (HIL)simulation platform, incorporating authentic GFM control and protection systems, is developed to experimentally validate the static voltage stability enhancement.Empirical results demonstrate that GFM integration effectively elevates the shortcircuit ratio (SCR) and voltage support capacity of weak grids,significantly improving static voltage stability and mitigating grid-wide voltage oscillations—a pivotal solution for RESdominant weak grid architectures.
0 引言
随着中国能源战略目标的积极推动,新能源的装机容量持续上升[1],截至2024年底,风电装机容量约为5.1亿kW,光伏发电的装机容量约为8.4亿kW,二者占全国总装机容量的比例约为40.7%,已成为电力系统的重要组成部分[2-3]。然而,由于资源分布不均,大规模新能源基地往往位于远离主电网的地区,导致弱电网并网环境表现为电网短路比(short circuit ratio,SCR)降低、电网的等效阻抗变大。并网变流器作为连接新能源发电装备与电网的接口[4-7]多采用基于锁相环同步的跟网型控制[8-14],运行外特性呈现电流源特性,并不具备传统同步机系统电压支撑能力,在这种环境下使得并网点电压对电网扰动非常敏感[15-17],当电网发生扰动或者输出功率波动较大时,跟网型变流器系统运行点将沿PV曲线到达低穿阈值点,此时系统进入低电压穿越状态,经由无功优先控制策略将电压抬升至恢复正常运行状态后,系统运行点又将沿PV曲线达到电压低穿阈值点,变流器将处于在低电压穿越和正常运行之间往复切换的状态,系统将出现弱电网下静态电压不稳定导致的电压宽幅振荡问题,如图1所示,冀北电网某风电汇集区域有功出力处于接近送出通道静态电压稳定极限工况下,频繁出现并网点电压宽幅振荡现象。传统同步电源被电力电子并网变流器大量替代导致的弱电网环境致使电网静态电压稳定性降低,关于提升系统静态电压稳定性国内外已有大量学术研究。文献[18]将传统静态电压稳定分析从正常工况延伸至故障期间,揭示了低电压穿越阶段电流控制与静态电压稳定的内在矛盾,但未解析低电压穿越控制切换逻辑与静态PV曲线拐点关联,回避了非线性切换过程的影响;文献[19-20]通过解的存在性理论和PV曲线分析,建立了以功率极限为核心的静态电压稳定判别方法,明确了发电机无功能力对电压稳定性的影响,但未建立量化评价指标分析电压稳定性的影响因素;文献[21-22] 利用阻抗分析方法提出了构网与跟网变流器的协同控制框架,验证了构网型变流器替代同步机的可行性,但未建立其配置比例与系统短路比之间的定量关系,未阐明构网型变流器自身电压支撑模式对静态稳定性的作用机理。目前尚无文献针对构网型变流器对提升弱电网静态电压稳定开展系统性的研究。
图1 冀北电网风电汇集区域电压和功率波动情况
Fig.1 Voltage and power fluctuations in the wind power collection area of Hebei North Power Grid
为解决新能源跟网型变流器系统的电压宽幅振荡问题,并且基于以往研究内容不足,本文主要贡献如下。
1)阐明了跟网型变流器接入弱电网的静态电压失稳机理,文章将跟网型变流器的低电压穿越非线性逻辑切换过程纳入PV曲线分析框架,揭示其有功/无功优先切换控制模式与电网强度失配导致的电压失稳本质。
2)从同步发电机和跟网型新能源电源电压支撑特性差异为切入点,明晰了跟网型变流器系统静态电压稳定性的影响因素,借助有功功率裕度和电压-有功功率灵敏度两个指标量化研究电网强度和无功支撑对系统静态电压稳定性的影响。
3)阐述了配置构网型变流器提升系统静态电压稳定性机理,提出了弱电网场景下构网型变流器配置原则和控制模式,梳理了构网型变流器开启电压支撑模式对节约构网型变流器配置比例的定量关系。
本文内容安排如下,第1章考虑跟网型变流器故障穿越非线性切换逻辑,分析新能源变流器接入弱电网系统的功率-电压耦合特性导致的系统静态电压失稳机理;第2章介绍跟网型变流器静态电压稳定的影响因素;第3章介绍构网型变流器对系统静态电压的致稳机理,提出弱电网场景下构网型变流器配置原则和控制模式;第4章利用半实物仿真测试平台进行构网型变流器对弱电网静态电压致稳机理验证,并梳理构网型变流器开启电压支撑模式对节约构网型变流器配置比例的定量关系;第5章对文章整体内容作总结及展望。
1 弱网下跟网型变流器静态电压失稳机理
1.1 跟网型变流器故障穿越策略切换逻辑
受变流器过载能力约束,跟网型变流器在电网电压故障前后需进行控制逻辑切换。图2是网侧变流器有功/无功优先运行控制模式框图。跟网型机组在正常运行时,多采用有功优先的单位功率因数控制模式(图3),此时电网电压参考值Usref与实际值Us偏差为0,即网侧变流器无功电流参考值iqref为0,并由直流母线电压环给定有功电流参考值idref1,使变流器在单位功率因数状态下运行,仅向电网传输有功功率。
图2 网侧变流器有功/无功优先运行控制模式框图
Fig.2 Block diagram for the grid-side inverter operating in active/reactive power priority control mode
图3 有功优先控制下有功/无功运行区间
Fig.3 Active/reactive operation interval of active priority control
在弱电网中,由于电网的短路容量较低,网络阻抗较大,导致电压对有功和无功功率的变化非常敏感。当跟网型变流器的有功输出增加时,会导致线路上的电流增大,由于网络阻抗较高,增加的电流将导致更大的电压降,从而使电压水平降低。
当跟网型变流器机端电压低于某定值时(本文设置低穿阈值为0.85 pu),根据国家标准要求,变流器此时需要具备低电压穿越能力,但由于变流器容量受限,导致所发出的无功功率不足,需要跟网型变流器将控制模式切换为无功优先控制模式(图4),此时电网电压实际值Us偏离参考值Usref,二者做差后不为0,此偏差经PI控制器调节得到无功电流参考值iqref,并根据额定视在电流对有功电流参考值idref2进行限制,最大限度增发无功功率支撑电压恢复。
图4 无功优先控制下有功/无功运行区间
Fig.4 Active/reactive power operation interval of reactive power priority control
1.2 跟网型变流器系统静态电压稳定性分析
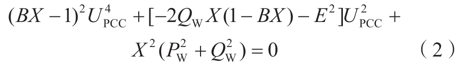
静态电压稳定性的评价常依赖于多种电压稳定性安全指标的计算,以便全面审视系统的电压稳定状态。这些指标大致划分为状态指标与裕度指标两大类,二者均能体现当前系统运行状态距电压崩溃点的远近程度。状态指标仅依据系统即时的运行状态数据,而裕度指标则需进行系统动态调节过程的模拟来明确电压崩溃点的位置。本文将结合有功功率裕度系数KP(裕度指标)与电压-有功功率灵敏度dU/dP(状态指标)对跟网型变流器系统的静态电压稳定性进行综合评估。其中有功裕度系数KP定义为
式中:Pmax为PV曲线上电压崩溃点处的有功功率;P0为初始点有功功率[23]。
图5为跟网型变流器通过690 V/35 kV升压变压器经长距离输电线路接入35 kV汇流母线,其中汇流母线简化等值为内阻抗为Xs、内电势为E的电压源,UPCC为变流器并网点电压,PW+jQW为变流器输出的复功率,I为变流器送出线路的电流,690 V/35 kV升压变压器短路阻抗为XT,变流器并网线路阻抗为X1,线路导纳为B1。对图5所示的单机无穷大系统进行等值简化,将升压变压器高压侧的对地电容支路与线路右侧电容支路合并为B,令变流器并网点和35 kV汇流母线之间的等值阻抗为X。
图5 跟网型变流器接入系统示意图
Fig.5 Schematic diagram of grid connected inverter connection system
假设E=E∠θ,UPCC=UPCC∠0。,由文献[24]可得跟网型变流器并网点电压UPCC和有功出力PW之间的关系为

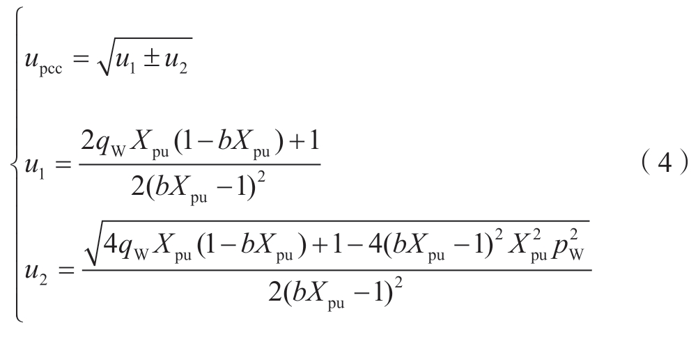
可求得变流器并网点电压UPCC:

式中:U1、U2均为变量名。
令电网基准电压为E,基准容量为E2/XB,XB为以电源所发出的额定有功功率为基准计算的基准阻抗。
则式(3)可简化为

式中:upcc、qw、pw、b、Xpu分别为并网点电压UPCC、变流器输出无功功率QW、变流器输出有功功率PW、对地导纳B、连接电抗X的标幺值;u1、u2均为变量名。
当变流器无功支撑Qw为0时,根据式 (4) 绘制有功功率Pw和电压upcc的典型PV曲线 (图6),随着变流器输出功率的逐步提升,并网点的电压逐步下降,电压-有功功率灵敏度逐渐增大,有功功率轻微波动可能导致显著的电压波动,在变流器输出功率大约达到0.654 pu时电压达到低穿阈值0.85 pu,进入低电压穿越状态,当电压恢复正常后,系统运行点又将沿PV曲线达到电压阈值点,此时变流器将处于在低电压穿越和正常运行之间往复切换的状态,造成系统电压宽幅振荡现象。
图6 典型PV曲线
Fig.6 Typical PV curve
2 静态电压稳定性影响因素
为明确新能源跟网型变流器并网系统电压支撑能力下降的原因,表1从系统层面与设备层面对同步发电机和跟网型新能源电源电压支撑特性进行对比分析。
表1 同步发电机与跟网型新能源电源电压支撑特性对比
Table 1 Comparative analysis of voltage support characteristics:synchronous generators vs.grid-following renewable energy sources
分析层面 同步发电机特性 跟网型新能源电源特性系统层面 高短路电流支撑,维持系统短路容量缺乏短路电流支撑,系统等效短路容量降低,造成电网强度下降,抗扰动能力减弱设备层面转子磁链维持内电势幅值渐近恒定,励磁装置中的自动电压调节器灵活调控无功电力电子变流器受器件限制,动态无功支撑能力不足,电压支撑能力受到制约
由表1可知,跟网型新能源电源电压支撑能力下降在系统层面矛盾集中于电网强度弱化,在设备层面矛盾则体现为动态无功支撑受限,两者共同导致系统静态电压稳定性面临挑战。下文将分别从电网强度与无功支撑两个角度对新能源跟网型变流器系统PV曲线的影响展开量化分析。
2.1 电网强度对PV曲线的影响
对于单馈入系统,电网强度的量化指标短路比KSCR定义已有文献解释,这里不再赘述。若取系统电源额定有功功率为功率基准值、额定电压为电压基准值,短路比可表示为戴维南等值阻抗标幺值的倒数:
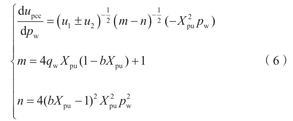
式(4)中连接电抗X的标幺值Xpu=X/XB,即短路比的倒数1/KSCR,可近似利用电抗表示短路比的变化。将式(4)中upcc左右对有功功率pw求导可得:

式中:u1、u2含义同上;m、n均为变量名。
由式(6)可得,Xpu越小,电网强度越大,则电压-有功功率灵敏度
越小,电压易保持稳定。
另 外,当
时,
,此时对应的是电压崩溃点。
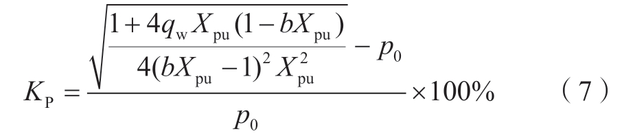
有功功率裕度系数KP为

由式(7)可得,Xpu越小,电网强度越大,变流器并网点有功功率裕度越大,即静态电压稳定性越高。
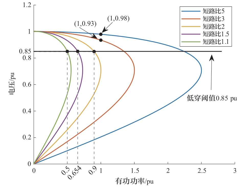
图7为跟网型变流器系统无功支撑为0条件下,短路比取5、3、2、1.5、1.1时,变流器并网点的PV曲线。由图可知,短路比2、1.5、1.1下系统有功功率不能满发,当有功功率分别达到0.9 pu、0.654 pu、0.5 pu时系统并网点电压下降到低穿阈值0.85 pu,跟网型变流器系统进入低电压穿越状态,电压由此开始宽幅度振荡;当短路比3和短路比5下的有功功率满发时,对应电压值分别为0.93 pu和0.98 pu,远大于低穿阈值0.85 pu,此条件下跟网型变流器系统正常运行,可有效避免功率增发导致的系统并网点电压宽幅振荡,可见跟网型变流器系统静态电压稳定性随着电网强度增加而提升,同上述公式分析结论一致。
图7 不同电网强度下PV曲线
Fig.7 PV curve under different power grid intensities
2.2 无功支撑对PV曲线的影响
令电网基准电压为E,基准容量为E2/X,则式(3)可简化为

式中:u3、u4均为变量名。
将式(8)中upcc对有功功率pw求导:

式中:u3、u4含义同上;h、k均为变量名。
由式(9)可得,变流器提供的无功支撑qw越大,电压有功功率灵敏度
越小,电压易保持稳定。
另外,当
时,
,此时对应的是电压崩溃点。
有功功率裕度系数KP为

由式(10)可得,变流器提供的无功支撑qw越大,并网点有功功率裕度越大,即静态电压稳定性越高。
图8为短路比1.5下跟网型变流器系统无功支撑qw在-0.2 pu~+0.35 pu之间6个不同出力时的并网点PV曲线(本文以变流器吸收无功功率为负,发出无功功率为正)。由图可知,变流器无功支撑qw在-0.1 pu、0 pu、0.1 pu、0.2 pu下有功出力分别达到0.456 pu、0.654 pu、0.793 pu、0.9 pu时,系统并网点电压下降到低穿阈值0.85 pu,跟网型变流器系统进入低电压穿越状态,电压由此开始宽幅度振荡;其中无功支撑qw为0.35 pu时,系统有功功率可实现满发,此时对应并网点电压为0.94 pu,远大于低穿阈值0.85 pu,此条件下跟网型变流器系统正常运行,可有效避免功率增发导致的系统并网点电压宽幅振荡,可见跟网型变流器系统静态电压稳定性随着变流器无功支撑的增加而提升,同上述公式分析结论一致。
图8 不同无功出力下PV曲线
Fig.8 PV curve under different reactive power output
3 构网型变流器对弱电网静态电压致稳机理
为确保高渗透率电力电子装置接入下的新型电力系统稳定运行,有必要将部分变流器进行升级,使其外特性由存在逻辑切换的电流源变更为保持内电势恒定的电压源。构网型技术能够使新能源变流器具备自建电压和频率的能力,广泛适用于风电、光伏、储能及柔性直流输电等系统,在系统配置一定比例的构网型变流器来提高电力系统电压支撑能力,进而提升系统静态电压稳定极限并保证足够的静态电压稳定裕度。据第2章理论分析结果新能源跟网型变流器系统静态电压失稳主要原因在于弱电网下电网强度薄弱和无功支撑不足,故本章将从构网型变流器提升电网强度和提供电压支撑(即无功支撑)两个方面分析其对跟网型变流器系统静态电压的致稳机理。
3.1 配置构网型变流器对电网强度的提升
跟网型变流器与构网型变流器升压后于新能源场站内35 kV母线处混联,从跟网型变流器并网点电压处看进去的混联系统等效模型拓扑结构如图9所示。
图9 跟/构网型变流器混联系统
Fig.9 Hybrid system of grid connected inverters
现实工程中,构网型变流器通常采用虚拟同步机控制技术[25],其控制机理参考附录A。
文献[26]利用阻抗频域分析方法建立构网型变流器的虚拟同步机阻抗模型,构网型变流器由于自身控制带宽较低,其耦合导纳幅值较小,电网阻抗及其他变流器的耦合因素对其阻抗特性影响很小,故构网型变流器经由变压器接入电网的模型可以等效为理想电压源串联等效阻抗ZGFM的分支,其中Z包括构网型变流器的等效内阻抗Zeq和升压变压器的等效阻抗ZT,Xg为电网等效阻抗,Xg=X1+Xs。为全面揭示构网型变流器加入对系统的影响,本文将构网型变流器加入后归为电网的一部分,与电网并联后作为等效电网,Zg表示构网型变流器与电网并联后的等效阻抗,表达式如下:
由2.3节短路比的定义,配置构网型变流器后系统短路比:
构网型变流器等效阻抗与电网阻抗并联后的等效电网阻抗遵循阻抗并联的原则,并联后跟网型变流器对外等效阻抗减小,因此,构网型变流器的加入起到了提升电网强度的效果。
根据场站的网络阻抗特性和矩阵Schur补性质[27],解析采用配置构网型变流器方案的方程为
式中:γ为新能源场站中构网型变流器占场站容量的比例,γ=SM/SB,SM为构网型变流器的总额定容量,SB为新能源场站装机总额定容量;Z为构网型变流器分支等效阻抗;λ为场站等效单馈入系统短路比,λ0和λ1分别为初始和配置后的短路比;
,ZT为构网型变流器支路升压变压器等效阻抗。
将短路比从λ0提升到λ1,整理式 (13) 得构网型变流器配置比例公式:
本文以并网点处初始短路比1.5和跟网装备临界短路比1.5等典型参数为边界条件,采用适应实际工程的配比典型值范围,经式(14)计算,系统配置10%、20%、30%构网型变流器可将跟网型变流器系统短路比从1.5最高提升至2.2、2.84、3.43。当无功功率qW=0(恒无功模式)时,作出短路比1.5下跟网型变流器系统配置前和配置10%、20%、30%构网型变流器后的并网点电压处PV曲线(图10)。由图可知,在系统分别配置10%、20%、30%构网型变流器后可提高电力系统的电网强度,有功功率可以实现满发,此时并网点电压值为0.854 pu、0.933 pu、0.958 pu,均大于低穿阈值0.85 pu,此条件下跟网型变流器系统正常运行,可有效避免有功功率增发导致的系统并网点电压宽幅振荡,证明随着系统配置构网型变流器比例增加,系统静态电压稳定性逐步提升。
图10 不同构网型变流器配置比例下PV曲线
Fig.10 PV curve under different configuration ratios of grid type inverters
3.2 构网型变流器电压支撑模式对静态电压稳定的影响
构网型控制的电压支撑模式主要包括恒电压模式、恒无功模式和无功电压下垂模式。恒电压模式下,构网型变流器通过控制输出电压的幅值保持恒定,以提供稳定的电压支撑,控制逻辑较为简单,易于实现,但在多台变流器并网运行时,容易出现功率分配不均的问题,影响系统整体稳定性;恒无功模式下,构网型变流器通过调节输出无功功率来维持电网的无功平衡,不能灵活跟随电网电压改变输出的无功功率,难以快速应对电网瞬态扰动;无功电压下垂模式通过模拟同步发电机的励磁调节器的励磁调压特性,实现对电网无功功率的动态调节,当同步发电机励磁调节器处于稳态时[28],无功功率与电压二者满足下垂特性,即
式中:Qm、Q0分别为发电机所需的励磁功率、无功功率指令参考值;Ru为电压调整率;U0、U分别为电压指令参考值、机端电压值。
构网型变流器无功电压下垂控制策略根据式(15)变换得到(详细控制框图见附录A):
式中:Q为无功功率实际值;Qref为无功功率参考值;Kq为无功电压下垂系数;Uref为电压的参考值;UPCC为网侧变流器并网点电压。
无功电压下垂模式的控制结构较为简单,且响应速度快,适用于弱电网环境,能够根据电网电压的变化自动调整无功输出,提高系统的抗扰动能力,本文选定无功电压下垂模式作为跟网型变流器系统所配置构网型变流器的电压支撑模式。
将式(16)代入式(3),调压死区设定为±0.02 pu,当无功电压下垂系数Kq取5、10、15、20时,作出短路比1.5下跟网型变流器系统配置10%未开启电压支撑模式及配置10%构网型变流器后不同无功电压下垂系数下并网点电压处PV曲线(图11)。由图可知,在构网型变流器电压支撑模式的影响下,下垂系数大小体现构网型变流器的无功功率增发力度,提供电压主动支撑,相较于恒无功模式,当跟网型变流器系统有功功率满发时电压值得到提升,并随着下垂系数由5依次增加到20时,并网点电压依次为0.906 pu、0.929 pu、0.940 pu、0.948 pu,若在达到0.85 pu低穿阈值之前留有10%以上电压裕度,且避免下垂系数设置过高引起系统无功剧烈波动导致电压稳定问题,参考国家标准《GB/T 38983.1—2020虚拟同步机第1部分:总则》,配置的构网型变流器在开启无功电压下垂控制模式时下垂系数取15~33.3最佳,此时跟网型变流器系统有良好的静态电压稳定裕度,系统在有功功率满发时可稳定运行,有效规避了弱电网下系统发生电压宽幅振荡,可验证构网型变流器开启电压支撑模式能够进一步提升静态电压稳定性。
图11 无功电压下垂模式下PV曲线
Fig.11 PV curve under reactive voltage sag mode
4 构网型变流器提升弱电网静态电压稳定半实物仿真验证
4.1 控制器半实物仿真测试环境
本节基于控制器半实物仿真开展构网型变流器对弱电网跟网型变流器系统静态电压稳定性提升的验证。
RT-LAB控制器半实物仿真测试平台拓扑结构如图12,其硬件部分主要包括并网变流器控制器、RTLAB仿真机、上位机等,软件部分是基于MATLAB/simulink搭建的仿真模型。其中,新能源机组运行控制、保护等部分由控制器硬件提供,而电网模型、机组主电路等部分由RT-LAB搭建仿真模型实现,仿真机和控制器由模拟/数字通道实现信号交互。
图12 RT-LAB控制器半实物仿真测试平台拓扑结构图
Fig.12 Physical image based on RT-LAB hardware in the loop simulation platform
控制器半实物仿真测试环境是为短路比1.5下,仿真测试对象为某厂家2 MW构网型直驱式风电机组,通过箱式变压器0.69 kV/38.5 kV接入35 kV系统,被测机组箱变高压侧与35 kV电网之间等效阻抗为电感Lg=1.31 H,电阻Rg=5.80 Ω,频率为工频50 Hz(具体相关参数如表2所示)。
表2 被测风电机组电气参数
Table 2 Electrical parameters of inverter
参数名称 数值额定电压 690 V额定功率 2000 kW输出频率 50 Hz功率因数调节范围 -0.95~+0.95直流母线电压 1050 V直流侧电容 19.24 mF电网侧变流器额定电流 1673 A电网侧滤波器类型 LC滤波器电网侧滤波器大小 0.112 5 mH / 66.84 uF箱变短路阻抗 6.15%箱变电压变比 0.69 kV/38.5 kV
某厂家2 MW构网型直驱式风电并网变流器控制原理如附录A。
附录 A 某厂家2 MW构网型直驱式风电并网变流器控制原理
图A1为某厂家2 MW构网型直驱式风电并网变流器控制原理框图,构网控制外环采用VSG控制,机理为模拟同步机转子运动方程、一次调频特性及励磁调压特性,自主生成虚拟内电势幅值为Vref,相位为α;考虑变流器过载能力限制,内环控制采用基于虚拟导纳控制的电流限幅控制,保持虚拟内电势定向在d轴,即Ed=Vref,Eq=0。
图A1中有功控制环节、无功控制环节、虚拟导纳控制环节和电流内环控制环节对应控制原理方程如下。
1)有功控制环节。
模拟的同步机转子运动方程如下(考虑阻尼作用):
式中:J为同步机转动惯量;Tm为同步机机械转矩;Te为同步机电磁转矩;Td为同步机阻尼转矩;Pm为同步机机械功率;Pe为同步机电磁有功功率;D为同步机阻尼系数;ω为同步机转子角速度;ω0为同步角速度。模拟同步发电机的一次调频特性方程:
式中:Pref为频率调节有功功率给定值;Kp为有功调频系数。
将式(A2)代入式(A1)变换为式(A3),得到有功控制环节:
式中:ω为虚拟内电势Vref电角速度;ω0为并网点电压UPCC电角速度;Pe为构网型变流器发出的电磁功率;J、D分别为有功控制环路的虚拟惯量和阻尼系数。
设Vref与并网点电压UPCC的夹角为功角δ,在额定工作状态下,ω=ω0,Vref与UPCC保持相对静止;当发生扰动时,ω=ω0,Vref与UPCC之间的夹角δ不断变化,是时间的函数,可表示为
将式(A3)与式(A4)经拉普拉斯变换后可得到有功控制环节框图。
2)无功控制环节。
恒无功模式的PI参数厂家保密,不便列出,构网型变流器模拟同步机励磁调压特性的无功电压下垂控制方程在正文3.2节已有介绍,不再赘述。
3)虚拟导纳控制方程。

式中:ugd、ugq分别为并网点电压UPCC的dq轴分量;Ed、Eq分别为构网型变流器输出内电势Vref的dq轴分量;Lv为虚拟电感;Rv为虚拟电阻;ildref、ilqref分别为dq轴滤波电感电流参考值。
4)电流内环控制方程。
状态方程:

输出方程:
式中:KP1、KP2分别为dq轴电流环比例控制系数;KI1、KI2分别为dq轴电流环积分控制系数;Lf为滤波电感;ild、ilq分别为滤波电感电流;edref、eqref分别为dq轴输出参考电压值。
4.2 平台验证结果
4.2.1 跟网型变流器弱电网下静态电压失稳验证
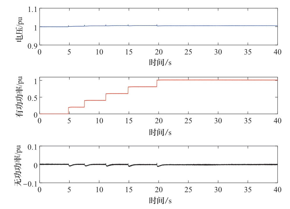
基于半实物仿真平台分别模拟强网短路比5与弱网短路比1.5下跟网型变流器系统输出功率及电压变化(实时仿真录波记录曲线如图13和图14,图14右下图为截取25 s后500 ms内波动情况),有功功率从0开始以0.2 pu阶跃增发,低穿阈值设为0.85 pu。由图13可知跟网型变流器在强网下有功功率可达满发,系统稳定运行,不存在静态电压不稳定导致的电压宽幅振荡问题;由图14可知跟网型变流器在弱网下处于接近送出通道静态电压稳定极限工况,当系统有功功率增发到0.65 pu时,电压进入宽幅振荡状态,电压波动谷值在0.847 pu左右,期间伴随跟网型变流器有功、无功功率的反复波动,可见弱电网下电压宽幅振荡期间跟网型变流器存在反复进出低电压穿越现象。
图13 强网短路比5下跟网型变流器输出功率及电压变化曲线
Fig.13 Output power and voltage variation curve of grid following inverter under strong grid short circuit ratio of 5
图14 弱网短路比1.5极限工况下跟网型变流器输出功率及电压变化曲线
Fig.14 Output power and voltage variation curve of grid following inverter under extreme working conditions with a weak grid short circuit ratio of 1.5
4.2.2 构网型变流器对系统短路比的提升验证
基于3.1节,通过半实物仿真平台分别验证恒无功模式下跟网型变流器系统配置10%、20%、30%构网型变流器对系统短路比的提升(图15)。在无外界干扰的情况下,在系统配置10%、20%、30%构网型变流器后可实现有功功率满发,此时并网点电压分别为0.86 pu、0.93 pu、0.96 pu,跟网型变流器系统未发生电压宽幅振荡问题,实现稳定运行,配置构网型变流器提高了系统短路比,提升系统静态电压稳定性,有效抑制电压宽幅振荡问题。
图15 系统短路比提升半实物仿真验证
Fig.15 System short-circuit ratio improvement hardware in the loop simulation verification
4.2.3 构网型变流器电压支撑对静态电压稳定的提升验证
基于3.2节,设无功电压下垂系数为15,调压死区为±0.02 pu,通过半实物仿真平台分别验证跟网型变流器系统配置10%、20%、30%构网型变流器电压支撑模式对提升静态电压稳定的影响(图16),由图可知在具备电压源特性的构网型变流器电压支撑模式的影响下,无功功率输出快速跟随电压变化,跟网型变流器系统可实现有功功率满发,此时并网点电压分别约为0.94 pu、0.97 pu、0.98 pu,未发生电压宽幅振荡,系统稳定运行。与4.2.2节结果比较,配置10%构网型变流器开启电压支撑模式相当于20%以上的构网型变流器未开启电压支撑模式,20%构网型变流器开启电压支撑模式相当于30%以上的构网型变流器未开启电压支撑模式,故开启电压支撑模式可近似节约10%的构网型变流器,可验证构网型变流器电压支撑模式能够进一步提升静态电压稳定性。
图16 电压支撑模式半实物仿真验证
Fig.16 Voltage support mode hardware in the loop simulation verification
5 总结与展望
针对弱电网下跟网型变流器出力波动带来的静态电压稳定问题,本文采用PV曲线潮流分析方法,考虑跟网型变流器故障穿越非线性切换逻辑,结合有功功率裕度和电压-有功灵敏度两个指标来衡量电网强度和无功支撑对系统静态电压稳定性的影响,分析得到在跟网型变流器系统配置构网型变流器通过增加系统短路比、提供无功支撑对弱电网静态电压稳定性具有改善作用,最终通过真实控保的半实物仿真平台验证。结论如下:
1)跟网型变流器的故障穿越切换策略与弱电网下有功功率-电压特性的耦合使得系统运行点处于静态电压稳定极限附近,新能源出力的大幅波动下并网点电压极易到达低电压穿越阈值,是引发弱电网系统电压宽幅振荡现象的主要原因。
2)弱电网系统的静态电压稳定性主要受系统强度以及系统无功支撑影响,当电网强度增强且无功支撑充足时,有功功率裕度会相应增大,电压-有功灵敏度则会减小,其对静态电压稳定性的影响也随之降低。
3)在系统中配置一定比例的构网型变流器可以显著提升系统短路比和电压支撑能力,配置10%、20%、30%构网型变流器在恒无功模式下可将短路比从1.5最高提升至2.2、2.84、3.43;且配置10%构网型变流器在开启无功电压下垂模式时,若留有10%以上电压裕度,下垂系数取15~33.3最佳,使系统PV曲线远离静态电压失稳边界;经验证,当下垂系数取15时,配置10%构网型变流器开启电压支撑模式相当于20%以上的构网型变流器未开启电压支撑模式,20%构网型变流器开启电压支撑模式相当于30%以上的构网型变流器未开启电压支撑模式,故开启电压支撑模式可近似节约10%的构网型变流器,提升弱电网静态电压稳定性,有效改善跟网型变流器接入弱电网存在的电压宽幅振荡问题。
根据本文内容,列出以下几点不足与展望,以便后续研究工作进一步开展:
1)本文分析构网型变流器对跟网新能源系统的电压支撑能力的场景为两台设备并联通过线路阻抗连接至无穷大电网,后续准备研究多机/多场站并联场景下构网型变流器的电压支撑特性及相互耦合作用的影响;
2)构网型变流器广泛适用于风光储及柔直系统,由于不同类型构网型设备在能量来源与拓扑结构上的差异,其主动支撑特性差异较大,后续研究可聚焦于多类型构网型设备的动态特性对比分析,深入探究其主动支撑能力差异的形成机理,并建立不同设备间的等效置换原则,为多源异构电力系统的协调控制提供理论依据。
参考文献
-
[1]
赵雪莹,李根蒂,孙晓彤,等.“双碳”目标下电解制氢关键技术及其应用进展[J].全球能源互联网,2021,4(5):436-446.ZHAO Xueying, LI Gendi, SUN Xiaotong, et al.Key technology and application progress of hydrogen production by electrolysis under peaking carbon dioxide emissions and carbon neutrality targets[J].Journal of Global Energy Interconnection,2021, 4(5): 436-446(in Chinese). [百度学术]
-
[2]
国家能源局.国家能源局发布2024年1-11月份全国电力工业统计数据[EB/OL].(2024-12-20)[2025-03-01] https://www.nea.gov.cn/20241220/73f189cc6e6540caafac2b819623fc08/c.htmltz/201704/t20170425_962953_ext.html. [百度学术]
-
[3]
吴林林,赵伟,徐曼,等.考虑风电机组故障穿越特性的电压反复波动机理分析与抑制[J].全球能源互联网,2022,5(3):290-297.WU Linlin, ZHAO Wei, XU Man, et al.Mechanism analysis and suppression of repeated voltage fluctuation considering fault ride through characteristics of the wind turbine[J].Journal of Global Energy Interconnection, 2022, 5(3): 290-297(in Chinese). [百度学术]
-
[4]
曾正,赵荣祥,汤胜清,等.可再生能源分散接入用先进并网逆变器研究综述[J].中国电机工程学报,2013,33(24):1-12.ZENG Zheng, ZHAO Rongxiang, TANG Shengqing, et al.An overview on advanced grid-connected inverters used for decentralized renewable energy resources[J].Proceedings of the CSEE, 2013, 33(24): 1-12(in Chinese). [百度学术]
-
[5]
BLAABJERG F, YANG Y H, YANG D S, et al.Distributed power-generation systems and protection[J].Proceedings of the IEEE, 2017, 105(7): 1311-1331. [百度学术]
-
[6]
刘普,崔艺博,刘兆峰,等.基于阻抗分析法的并网变流器稳定性统一分析方法研究[J].电力系统保护与控制,2023,51(4):114-125.LIU Pu, CUI Yibo, LIU Zhaofeng, et al.The unified analysis method of grid-connected converter stability based on impedance analysis[J].Power System Protection and Control,2023, 51(4): 114-125(in Chinese). [百度学术]
-
[7]
欧奕昊,姜彤,张一航,等.考虑变流器无功调节特性的含高比例分布式光伏配电网电压控制方法[J].电力系统保护与控制,2024,52(20):105-118.OU Yihao, JIANG Tong, ZHANG Yihang, et al.Voltage regulation method for a distribution network with highpenetration of distributed photovoltaic energy considering a converter’s reactive power regulation characteristics[J].Power System Protection and Control, 2024, 52(20): 105-118(in Chinese). [百度学术]
-
[8]
姜海洋,杜尔顺,朱桂萍,等.面向高比例可再生能源电力系统的季节性储能综述与展望[J].电力系统自动化,2020,44(19):194-207.JIANG Haiyang, DU Ershun, ZHU Guiping, et al.Review and prospect of seasonal energy storage for power system with high proportion of renewable energy[J].Automation of Electric Power Systems, 2020, 44(19): 194-207(in Chinese). [百度学术]
-
[9]
马宁宁,谢小荣,贺静波,等.高比例新能源和电力电子设备电力系统的宽频振荡研究综述[J].中国电机工程学报,2020,40(15):4720-4732.MA Ningning, XIE Xiaorong, HE Jingbo, et al.Review of wide-band oscillation in renewable and power electronics highly integrated power systems[J].Proceedings of the CSEE,2020, 40(15): 4720-4732(in Chinese). [百度学术]
-
[10]
刘林,王大龙,綦晓,等.基于双锁相环的海上风场综合惯量调频策略研究[J].发电技术,2024,45(2):282-290.LIU Lin, WANG Dalong, QI Xiao, et al.Study on double phase-locked loop on the synthetic inertia control of offshore wind farm frequency regulation[J].Power Generation Technology, 2024, 45(2): 282-290(in Chinese). [百度学术]
-
[11]
李宇骏,华凤林,陆艺源,等.基于李雅普诺夫函数的带锁相环的VSC大扰动稳定性判据[J].电力系统保护与控制,2023,51(2):46-54.LI Yujun, HUA Fenglin, LU Yiyuan, et al.Large disturbance stability criterion for a VSC with phase-locked loop based on a Lyapunov function[J].Power System Protection and Control,2023, 51(2): 46-54(in Chinese). [百度学术]
-
[12]
梁军杨,李红,宋国杰,等.多时间尺度控制下跟网型变换器的同步稳定性分析与改进控制[J].电工技术学报,2024,39(22):7182-7196.LIANG Junyang, LI Hong, SONG Guojie, et al.Synchronization stability analysis and enhanced control of grid-following converters under multi-timescale control[J].Transactions of China Electrotechnical Society, 2024, 39(22):7182-7196(in Chinese). [百度学术]
-
[13]
赵玉静,牟倩颖,宾子君,等.考虑直流侧动态的跟网型变换器稳定性分析[J].电力工程技术,2024,43(3):12-22.ZHAO Yujing, MOU Qianying, BIN Zijun, et al.Stability analysis of grid-following converter considering DC side dynamics[J].Electric Power Engineering Technology, 2024,43(3): 12-22(in Chinese). [百度学术]
-
[14]
邱晓燕,闫幸,周毅,等.基于自适应虚拟阻抗的构网型与跟网型逆变器主导微网系统无功功率均分控制策略[J].电力建设,2024,45(1):22-32.QIU Xiaoyan, YAN Xing, ZHOU Yi, et al.Reactive power sharing control strategy for microgrids dominated by gridforming and grid-following inverters based on adaptive virtual impedance[J].Electric Power Construction, 2024, 45(1): 22-32(in Chinese). [百度学术]
-
[15]
WANG X F, TAUL M G, WU H, et al.Grid-synchronization stability of converter-based resources: an overview[J].IEEE Open Journal of Industry Applications, 2020, 1: 115-134. [百度学术]
-
[16]
林伟芳,汤涌,卜广全.多馈入交直流系统电压稳定性研究[J].电网技术,2008,32(11):7-12.LIN Weifang, TANG Yong, BU Guangquan.Study on voltage stability of multi-infeed HVDC power transmission system[J].Power System Technology, 2008, 32(11): 7-12(in Chinese). [百度学术]
-
[17]
王旭斌,杜文娟,王海风.弱连接条件下并网VSC系统稳定性分析研究综述[J].中国电机工程学报,2018,38(6):1593-1604.WANG Xubin, DU Wenjuan, WANG Haifeng.Stability analysis of grid-tied VSC systems under weak connection conditions[J].Proceedings of the CSEE, 2018, 38(6): 1593-1604(in Chinese). [百度学术]
-
[18]
谢德兴,肖仕武.新能源接入电网短路故障低电压穿越期间静态电压稳定研究[J].中国电机工程学报,2025,45(17):6777-6790.XIE Dexing, XIAO Shiwu.Research on static voltage stability during low-voltage ride-through under short-circuit fault conditions in renewable energy integrated power grids[J].Proceedings of the CSEE, 2025, 45(17): 6777-6790(in Chinese). [百度学术]
-
[19]
张衍,张文杰,李华龙.静态电压稳定机理分析[J].价值工程,2024,43(34):20-23.ZHANG Yan, ZHANG Wenjie, LI Hualong.Mechanism analysis of static voltage stability[J].Value Engineering, 2024,43(34): 20-23(in Chinese). [百度学术]
-
[20]
马欢,蒋哲,武诚,等.基于潮流有解充分条件的新能源场站静态电压稳定评估方法[J].水电能源科学,2024,42(9):204-207.MA Huan, JIANG Zhe, WU Cheng, et al.Static voltage stability assessment method for new energy stations based on sufficient conditions of power flow solution[J].Water Resources and Power, 2024, 42(9): 204-207(in Chinese). [百度学术]
-
[21]
HAN F, ZHANG X, LI M, et al.Stability control for gridconnected inverters based on hybrid-mode of grid-following and grid-forming[J].IEEE Transactions on Industrial Electronics, 2024, 71(9): 10750-10760. [百度学术]
-
[22]
GUO Z X, ZHANG X, LI M, et al.Control and capacity planning for energy storage systems to enhance the stability of renewable generation under weak grids[J].IET Renewable Power Generation, 2022, 16(4): 761-780. [百度学术]
-
[23]
许晓艳,马烁,黄越辉,等.大规模风电接入对电网静态电压稳定性影响机理研究[J].中国电力,2015,48(3):139-143.XU Xiaoyan, MA Shuo, HUANG Yuehui, et al.Mechanical study on influence of large scale wind power on static voltage stability[J].Electric Power, 2015, 48(3): 139-143(in Chinese). [百度学术]
-
[24]
杨金刚,吴林林,刘辉,等.大规模风电汇集地区风电机组高电压脱网机理[J].中国电力,2013,46(5):28-33.YANG Jingang, WU Linlin, LIU Hui, et al.High-voltage tripoff mechanism of wind power generators in district grids with large-scale wind power integration[J].Electric Power, 2013,46(5): 28-33 (in Chinese). [百度学术]
-
[25]
刘辉,高舜安,孙大卫,等.光伏虚拟同步发电机并网小信号稳定性分析[J].太阳能学报,2021,42(2):417-424.LIU Hui, GAO Shun’an, SUN Dawei, et al.Small signal stability analysis of grid-connected photovoltaic virtual synchronous generators[J].Acta Energiae Solaris Sinica, 2021,42(2): 417-424(in Chinese). [百度学术]
-
[26]
盛李龙,许津铭,李威,等.弱电网下跟/构网型变流器并联系统的阻抗频率耦合及稳定性分析[J].电力系统自动化,2025,49(1):27-37.SHENG Lilong, XU Jinming, LI Wei, et al.Impedance frequency coupling and stability analysis of parallel system of grid-following and gridforming converters in weak grid[J].Automation of Electric Power Systems, 2025, 49(1): 27-37(in Chinese). [百度学术]
-
[27]
辛焕海,王宇轩,刘晨曦,等.提高新能源场站稳定性的构网型与跟网型变流器容量配比估算[J].中国电机工程学报,2024,44(14):5463-5473.XIN Huanhai, WANG Yuxuan, LIU Chenxi, et al.Estimation of capacity ratios between grid-forming and grid-following converters for improving the stability of renewable energy stations[J].Proceedings of the CSEE, 2024, 44(14): 5463-5473(in Chinese). [百度学术]
-
[28]
张兴.新能源发电变流技术[M].北京:机械工业出版社,2018. [百度学术]
基金项目
国网冀北电力有限公司科技项目(52018K23000U)。
Technology Project of State Grid Jibei Electric Power Co., Ltd.(52018K23000U).
