相关论文:
- 
                                    
                                 - 
                                    
全球能源互联网
第8卷 第5期 2025年09月;页码:625-635 
基于改进TOPSIS的风电并网友好特性评价方法
Evaluation Method for Grid-friendly Characteristics of Wind Power Integration Based on Improved TOPSIS
- 1. 广东电网有限责任公司电力调度控制中心,广东省 广州市 510220
 - 2. 智慧能源工程技术研究中心(华南理工大学电力学院),广东省 广州市 510640
 
- LIU Yu1,FAN Wei1,HUO Jiaxing2*,MIAO Lu1,ZHONG Kanghua2,QIN Yingjie2,YANG Ping2 (1. Power Dispatch Control Center, Guangdong Power Grid Corporation, Guangzhou 510220, Guangdong Province, China
 - 2. Intelligent Energy Engineering and Technology Research Center, School of Electric Power, South China University of Technology,Guangzhou 510640, Guangdong Province, China
 
关键词
Keywords
摘 要
Abstract
合理评价风电场并网友好特性是电网功率平衡和调度计划工作的前提。为此提出了一种风电并网友好特性的评价指标体系与方法。首先,构建包含风资源特性、风电出力特性和电网交互特性3个维度的风电并网友好特性评价指标体系,其中在描述风电出力特性波动性方面提出了波动点、波动密度和波动幅度均值等3个指标来描述风电出力的波动性。其次,设计了一种基于逼近理想解排序法(technique for order preference by similarity to ideal solution,TOPSIS)并考虑指标间协调性的改进算法,在传统TOPSIS评价算法的基础上引入灰色关联系数和信息熵进行综合评价。然后,运用G1主观赋权法和改进CRITIC客观赋权法结合的方式对各个指标使用最小离差的方法进行组合赋权。最后以多个风电场为例设置仿真算例,对各个风电场的特性进行综合评分并排序,通过对风电的研究和评估,可以为风电产业规划提供科学依据。
Reasonable evaluation of the grid-connected characteristics of wind farms is a prerequisite for grid power balance and dispatch planning. In this re-gard, an evaluation index system and method for the grid-connected characteristics of wind power are proposed. Firstly, a three-dimensional evaluation index system of wind power grid-connected characteristics is constructed, which includes wind resource characteristics,wind power output characteristics and grid interaction characteristics, among which three indexes, such as fluctuation point, fluctuation density and fluctuation amplitude mean, are proposed to characterize the fluctuation of wind power output.Secondly, an improved algorithm based on the technique for order prefer-ence by similarity to ideal solution (TOPSIS) and considering the coordination between the indicators is designed,and the gray correlation coefficient and information entropy are introduced on the basis of the traditional TOPSIS evaluation algorithm to carry out a comprehensive evaluation. Evaluation. Then, the combination of G1 subjective weighting method and improved CRITIC objective weighting method is used to combine the weights of each indicator using the method of minimum deviation. Finally, a simulation example is set up with several wind farms, and the characteristics of each wind farm are comprehensively scored and ranked, which can provide a scientific basis for the planning of wind power industry through the research and evaluation of wind power.
0 引言
随着“双碳”目标的推进,以风电为代表的新能源并网容量越来越大。截至2024年3月底,中国风电装机容量约4.6亿kW,同比增长21.5%[1]。随着风力发电并网容量的迅速增加,风力发电的随机性、波动性、间歇性等不确定性给电力系统的安全稳定运行带来了极大的挑战[2-4]。
目前,风电场并网使系统的功率平衡面临挑战,容易对原有的规划调度计划产生干扰。同时,风电波动性也会引起电网电压及频率的波动[5],对电网的稳定性产生影响。所以,风电并网友好特性的规律的研究对于减少风电并网带来的影响起到重要的作用。如何量化评估风电并网友好特性目前已有多数专家和学者进行了研究,但由于风电并网容量的逐步扩大,导致已有的方法在风电项目的布局、运用中具有局限性[6-8]。现有阶段,在风电并网友好特性的评价体系中风电波动性及各指标之间协调性的研究仍有不足。因此,研究风电并网友好特性的评价体系可以更好地解决风电项目对于风资源、风电出力以及与电网的交互性的规划问题。
目前在国内外研究中,对风电并网友好特性的研究主要包括评价指标和评价算法。在评价指标方面,文献[9]从有功控制、预测精度、调度计划响应度等方面构建了风电并网评价指标。文献[10]基于风电统计特性建立了适用于不同时空下的评价指标体系,其中包括自然特性评价指标和与电网交互特性评价指标。文献[11]考虑了风电出力的时段属性,提出了峰时段的风电最小出力、谷时段的风电最大出力、峰谷时段风电出力中位数差3个全新指标。文献[12]评价内容涵盖了对海上风电项目施工期环境管理状况和环保对策措施落实情况的定性分析以及生态环境影响定量评价,得出了综合评价结果。文献[13]提出一种风功率极限计算方法,引入季节因素进行评价。文献[14]研究了平均风速、分布参数和风功率密度的变化,包括年度、季节、月度和小时时间尺度,对海上风能资源进行详细评估。上述文献的工作弥补了指标类研究在系统性、完整性方面的不足,为风电的历史数据统计、风电预测以及电网调度运行的制定带来了帮助,在风电可靠性、调峰特性以及电网交互特性方面有了充分的研究,但在风电出力波动性的研究还略有不足。
在评价算法方面,现有的对于电力系统新能源方面的研究工作主要在光伏和综合能源方面,对于风电的评价算法研究较少。文献[15]通过层次分析法-熵权法确定指标权重,再使用主客观结合的层次分析法-熵权法的模糊综合评价法对综合能源系统进行评价分析。文献[16]建立了一套含有储能装置的屋顶光伏接入配网的评价指标体系,并设计一种基于模糊层次分析法和改进CRITIC法组合赋权评估模型。文献[17]构建了经济、能耗、环境因素结合的指标体系,并提出了主客观结合的AHP-熵权赋权法,建立了多属性加权决策模型。文献[18]研究了基于AHP-熵权法的风电项目后评价,为后续新建新能源项目投资决策和产业结构调整提供依据。上述文献的工作主要通过对指标进行组合赋权以及使用评价算法来对光伏和综合能源等进行评价,但对指标间协调性的处理以及对风电项目的评价还略有不足。
为补充上述文献在风电波动性研究以及各特性指标之间缺乏协调性的不足,本文结合风电并网友好特性以及相关评价指标[19]的特点,考虑了评价指标间的协调关系,建立了考虑风电指标协调度的一种评价算法。首先,本文依据不同指标分别反映风资源特性、风电出力特性和电网特性,在描述风电出力特性的波动性中提出了波动点、波动密度和波动幅度均值3个指标并给出了重点说明。在评价算法方面,首先将主观评价与客观评价相结合,基于G1主观赋权法和引入熵权法的改进CRITIC客观赋权法并根据进行最小离差进行组合赋权,寻找纳什均衡解来确定最优权重。然后在逼近理想序列算法的基础上做出改进,引入了灰色关联系数和信息熵来增强指标间的协调性,最后提出了考虑风电指标协调度的算法对风电并网友好特性进行综合评价,改善了对风电并网友好特性研究方面的系统性、完整性。
1 风电并网友好特性评价指标
评估风电并网友好特性,不仅要考虑风电场所在地区风能的分布特点和利用程度,而且还要考虑该风电场的出力整体水平、稳定程度以及对电网的影响。基于此,从风资源特性、风电出力特性和电网交互特性3个维度建立了评价指标体系,并分别建立了风资源的分布性、可用性和风电出力的波动性、出力水平以及电网交互特性的电压影响性、调峰特性6个二级指标。将6个二级指标的编号设置为A~F,二级指标下每个三级指标的编号从1开始设置编号,以平均风速为例,其编号为“A1”,如图1所示。
图1 风电并网友好特性评价指标
Fig. 1 Indicators for evaluating the natural characteristics of wind power
1.1 风资源特性
风能资源评估主要通过对当地的风速、风向、气温、气压和空气密度等观测参数的分析处理,估算出风功率密度和有效年利用小时数等量化参数[20]。风资源指标可以表明某个地区风能资源的丰度和可利用程度,风资源指标的评估可以帮助选择合适的地点来布置风力发电机组,为风电项目的规划提供科学依据。
1.1.1 分布性
通过研究风资源分布性,可以了解不同地区的风速等风能资源的分布情况,可以确定最佳的风电机组的数量、布置以及相对位置等,有助于风电产业的规划。在风资源分布性方面,主要包括平均风速和风资源不均衡系数[21]。平均风速体现了风电场所在地区的风资源的丰富程度,计算式为

式中:vwi为第i时刻的记录风速(i=1,2,3,…,nt),nt为设定时段内的记录数。
风资源不均衡系数是用来描述风能资源空间和时间分布不均匀程度的指标,它反映了不同风电场风能资源的变化情况和发电潜力的波动性,其计算式为

式中:
为各风电场的平均风速 (w=1,2,…,Nw);Nw为风电场总数量;
为各风电场平均风速的最大值。
1.1.2 可用性
通过研究风资源的可用性,可以提高风电机组的效率和运行稳定性,降低项目建设成本,并提高风电项目的经济性和可持续性。在风资源可用性方面,包含有效风功率密度、风电可信容量和风电月利用小时数等3个方面的指标。其中,有效风功率密度直接反映了处于有效风力范围内的风速对平均风能密度的直接贡献,其计算式为
式中:ρ表示空气密度。
风电可信容量ξavg的计算通常基于风电场的历史数据和可靠性分析,考虑了多种因素,包括风能资源的可靠性、风电机组的可用性和可靠性、电网的可靠性等,其计算式为
式中:SWT,t为风电月发电量;T指该月总时间;S为风电场装机容量。
风电月利用小时数Ta是一个反映风电场经济效益的重要指标,它可以用来评估风能资源的利用效率、风电场设备的运行效率以及投资收益,其计算式为
式中:PN为风电出力额定功率。
1.2 风电出力特性
风电出力特性的评估主要通过对当地风电出力曲线的整体水平、波动程度和极值最值等参数进行分析处理。风电出力的评估对于风电场的规划、设计和运行至关重要。
1.2.1 波动性
通过研究风电出力的波动性[22],可以优化资源调配、规划储能系统、提高电力网络的可靠性,并为风电项目的经济可行性评估提供重要的参考依据。在波动性方面,包含波动密度和波动幅度均值2个指标。平均日出力变化率ΔPa可以用来衡量风电出力在日常运行中的波动程度。平均日出力变化率为风电平均日出力按时间颗粒度为Δt进行变化率计算,并除以总时间间隔,其计算式为

式中:Pt为某一时刻风电有功出力;a为总时间间隔数。
波动点的概念为:风电出力曲线P内存在极值点集合E,相邻极值点纵轴差值的绝对值为出力差值d,如果出力差值d小于a,则该极值点为极值点集合中的非波动点,其余点为波动点。即波动幅度超过d的点为波动点,所有波动点所构成集合为F。

波动密度表示风电出力曲线内波动点在总时刻点的占比。
波动幅度均值为风电出力曲线内相邻波动点出力差值的平均值。

式中:ei为极值点;fi为波动点 (i=1,2,3,…,n),n为波动点个数;Pen为极值点电压;Pfn为波动点电压;Nf为波动点个数;N为总时刻数。
波动密度和波动幅度均值可以帮助我们了解风电场的波动特性,并为电力系统的运行和调度提供重要参考。较高的波动密度和波动幅度均值需要更灵活的电力调度和调节手段来适应风电出力的波动性。
1.2.2 出力水平
了解不同地区的风电出力水平可以帮助确定最有利于风电发电的地点,并为发电容量和预期发电量的估算提供依据。在出力水平方面,平均出力和平均日出力中位数反映了风电场的发电能力。平均出力计算式为

式中:Pi为第i时刻的有功出力 (i=1,2,3,…,nt)。
平均日出力中位数的计算方式为,将平均日出力时间序列按照数值从小到大的顺序进行排列,求该数组的中位数。

式中:P0.5为平均日出力中位数。
这2个指标可以帮助电力系统的规划和运营,确保在不同负荷时段能够满足电力需求并保持系统的稳定运行。
1.3 电网交互特性
电网交互特性的评估需要结合电网侧相关参数进行数据处理获得。研究风电场与电网交互特性的意义在于了解和评估风电场对电网的影响以及相互之间的协调性。这对于电网的稳定运行和可靠性至关重要。
1.3.1 电压影响性
在电压影响性方面,短路比可以反映风电场对电网电压的影响。短路比为系统短路容量与风电场最大容量的比值,短路比越大,风电场对电网电压的影响就越小,其计算式为
式中:KSCR为短路比,Sac为系统短路容量,Sw为风电场最大容量。
1.3.2 调峰特性
在调峰特性方面,包含峰谷时段风电出力中位数差、峰时段风电最小出力和谷时段风电最大出力3个指标。峰谷时段风电出力中位数差=峰时段风电出力中位数-谷时段风电出力中位数,该数值为正值,则风电处于正调峰特性;该数值为负值,则风电处于反调峰特性,其计算式为

式中:下标pv代表峰谷出力。
峰时段风电最小出力是指在电力需求最高的时段,风电场所能提供的最低出力;谷时段风电最大出力是指在电力需求最低的时段,风电场所能提供的最高出力,其计算式为

式中:Pp、Pv分别为峰时段出力和谷时段出力;Ppm、Pvm分别为峰时段风电最小出力和谷时段风电最大出力。
2 综合评价方法
2.1 TOPSIS-DOC评价法
针对已经建立的评价指标体系,需要一套合理的评价算法来确定最终评分。为了综合评判风电项目的整体绩效,需要考虑指标之间的协调性,如果用传统的评价方法进行风电项目评价,可能会导致评估结果的片面性和偏差。因此,本文基于考虑评价指标协调性的逼近理想序列算法TOPSIS-DOC对风电场出力进行综合评价,具体建模过程如下。
2.1.1 TOPSIS
首先引入TOPSIS[23]评价方法。
1)将原始矩阵标准化。
假定有p个评价对象,q个评价指标,原始矩阵X可以表示为

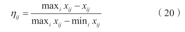
标准化可以消除不同评价指标间不同量纲的影响。对于极大型指标,采用的标准化方法为
式中:ηij为xij的标准化值;maxixij为第j个评价指标中的最大值。
对于极小型指标,采用的标准化方法为
式中:minixij为第j个评价指标中的最小值。
2) 计算加权标准化矩阵。
对标准化后的评价指标nij进行赋权,建立加权标准化矩阵V,矩阵V可表示为

式中:j是第j个评价指标的权重;vij是考虑权重后的归一化值。
3)确定理想解A+和负理想解A-,方法与文献[24]一致。
4)计算每个评价指标与理想解和负理想解的欧氏距离。

式中:
是与正理想解间的欧氏距离;
是与负理想解间的欧氏距离。
5)计算每个评价指标与理想解的相对接近度Ci。
2.1.2 灰色关联系数和信息熵对TOPSIS的改进
引入灰色关联系数可以弱化计算接近度时的局限性,引入信息熵可以评估指标间的协调度,本文采用这2个指标来进一步提高评价的合理性,灰色关联贴近计算过程如下。
1)计算每个指标的灰色关联系数ξij。

式中:
为各指标中的最优值;ρ为分辨系数,一般取0.5。
2) 确定基于灰色关联系数ξij的正负理想解a+和a-。

式中:ξi(j)为第i个待评对象第j个指标灰色关联系数。
3) 计算指标与基于灰色关联系数的正负理想解间的欧氏距离。

4)计算灰色关联相对贴近度。
当使用信息熵来评估协调度时,其计算步骤如下。
1)对X进行归一化处理。
2)计算X的信息熵Ej。
式中:K=1/lnn,并且当Fij=0时,lnFij=0。
3个指标在计算综合评价值时均有一部分权重,其权重计算式为

式中:vgi、vci、vei分别为灰色关联系数、TOPSIS和熵权法在计算综合评价值的权重。
此时,综合评价值的计算式为

2.2 G1法与改进的CRITIC法组合赋权
2.2.1 G1法
G1法[25]是一种主观性很强的赋权方法,可以直观有效地反映专家的评估得分。它先将评价指标进行排序,再对相邻指标的重要性进行定量分析,进而得到各指标权重,其计算步骤如下。
1) 指标排序。
假定在评价指标集{a1, a2,…, an}中有n个指标,如果排序后指标ai>aj,则表明ai比aj更重要。首先在这个指标集中选择一个最重要的指标ai并记作
,然后从剩余n-1个指标中选择一个最重要的指标并记作
,以此类推,将上述过程重复n-1次,得到一个根据重要程度进行排序的指标序列。
2) 相邻指标的重要性判断。
将专家排序后的相邻指标进行重要性定量分析,其计算式为
式中:rk为相邻指标的重要性之比;
和
为指标
和
的权重。指标赋值如表1所示[10]。
表1 rk赋值参考表
Table 1 rk assignment reference table
rk 赋值参考和说明1.0 指标ak*和a*k+1同等重要;1.1 介于同等重要和稍微重要之间;1.2 指标ak*比a*k+1稍微重要;1.3 介于稍微重要和明显重要之间;1.4 指标ak*比a*k+1明显重要;1.5 介于明显重要和强烈重要之间;1.6 指标ak*比a*k+1强烈重要;1.7 介于非常重要和极端重要之间;1.8 指标ak*比a*k+1极端重要;
3)指标权重计算。
评价指标
的权重计算式为

式中:rj为相邻指标
和
间的重要性。
通过指标
的权重,可以计算出其他指标的权重。
2.2.2 改进CRITIC客观赋权法
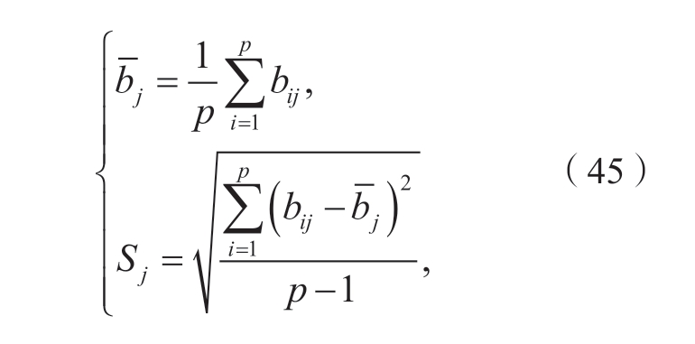
CRITIC[26]是一种基于信息量的客观赋权方法,通过比较各指标的对比强度和冲突性,来计算信息量进行赋权。指标的对比强度越高,其变异性就越强,客观权重越大;指标的相关系数越小,冲突性就越强,客观权重越大。但在传统的CRITIC方法中存在一些缺陷:①在计算指标冲突性时,没有去除相关系数正负号不同带来的影响,应改为相关系数的绝对值进行计算;②没有考虑数据离散程度造成的影响,而熵权法可以很好地定量描述数据的离散程度,因此在权重计算时引入熵权法;③会对一些相关性较低的指标错误地赋予较高的权重。针对上述缺陷,本文提出了一种改进CRITIC方法,其计算过程如下。
1)构造原始数据矩阵。

式中:X为原始数据矩阵;i为待评价数据个数;j为评价指标个数。
2)归一化处理。

式中:B为归一化矩阵;bij为归一化处理后的数据;p为待评价数据总个数。
3)指标变异性Sj计算。

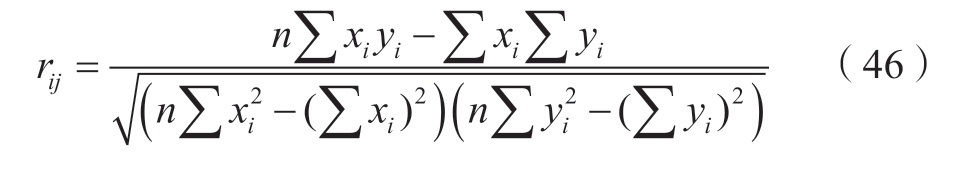
4)指标冲突性Rj计算。

式中:xi、yi代表不同评价指标;rij为评估指标i和j之间的相关系数。
5) 各指标下各方案的指标值比重Pij。

6) 指标信息熵值ei计算。
7) 计算原信息量Cj。
8) 计算原目标权重ωj。

式中:ωj是第j个评估指标的客观权重。
9) 计算改进后信息量
。
10) 计算改进后目标权重
。

2.2.3 G1法与改进的CRITIC组合赋权
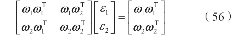
主观赋权方法允许决策者或评估者根据其经验、专业知识和判断来确定各个因素的权重;客观赋权方法提供了基于数据和事实的评估。单独使用一种赋权方法具有局限性,主观和客观结合的赋权方法将主观和客观权重相结合,以平衡二者之间的优势和不足。本文采用最小离差法来将主客观权重进行组合。
根据最小离差法找到主观权重ω1和客观权重ω2的纳什均衡解,此时权重最合理,其计算过程如下。
1) 将主客观权重进行线性组合。
式中:ε1和ε2分别是主客观权重的权重因子。
2) 根据最小离差寻找最优权重。
3) 将上述最小离差函数转换为最优化一阶导数方程组。

4) 将解得的ε1和ε2进行归一化处理。

最终求得优化权重ωc*:
综上所述,风电并网友好特性评价流程如图2所示。
图2 风电并网友好特性评价流程图
Fig. 2 Flow chart for evaluation of natural characteristics of wind power
3 算例分析
本文算例分析使用南方地区5个风电场的相关数据,其装机容量分别为198 MW、400 MW、250 MW、300 MW、300 MW,根据第2章介绍的评价方法,按步骤对不同风电场的特性进行分析。
3.1 确定指标权重
运用2.2节所提出的G1法与改进的CRITIC法组合赋权的方法对各指标进行赋权,得到如表2所示的各指标权重值结果。
表2 各指标权重值
Table 2 Indicator weights
一级指标 权重 二级指标 权重 三级指标 权重分布性 0.012 6 A1 0.006 3 A2 0.006 3风资源特性 0.283 7可用性 0.271 1 B1 0.006 4 B2 0.132 3 B3 0.132 4 C1 0.041 3 C2 0.035 9 C3 0.014 6出力水平 0.014 4 D1 0.007 3 D2 0.007 1波动性 0.091 8风电出力特性 0.106 2电压影响性 0.133 5 E1 0.133 5电网交互特性 0. 610 1调峰特性 0.476 6 F1 0.462 6 F2 0.006 3 F3 0.007 7
表2的结果表明,电网交互特性最重要,风资源特性其次,最后是风电出力特性。对风电项目来说,最重要的风电场在电力系统峰值需求期间功率输出的能力、平衡电力系统的负荷供需关系的能力以及风资源的利用度,因此调峰特性、可用性的权重相对较高;风电出力的波动性体现了风电出力的稳定程度,其重要程度次之,权重相对较低;风资源的分布性和风电出力水平的重要程度最低,权重也最小。
每个三级指标的权重分布如图3所示。
图3 各指标权重分布图
Fig. 3 Distribution of weights of indicators
本文采取各风电场2023年1月的平均日出力进行分析,时间颗粒度为15 min,共96个时间点,各风电场风电出力曲线如图4所示,相应风电出力特性相关指标计算值如表3所示。
表3 各风电场出力特性指标计算值
Table 3 Calculated value of output characteristic index for each wind farm
指标 风电场A 风电场B 风电场C 风电场D 风电场E C1 5.7 3.17 1.88 0.86 2.26 C2 0.104 0.177 0.104 0.05 0.10 C3 19.67 15.89 12.87 10.19 15.71 D1 165.78 156.85 106.71 55.11 114.76 D2 161.31 156.58 111.79 54.91 112.40
图4 各风电场有功出力曲线图
Fig. 4 Active output curve of each wind farm
将各风电场每个指标的计算值归一化处理后用热图的形式表示,如图5所示。
图5 各风电场指标计算值归一化热图
Fig. 5 Normalized heat map of calculated values for each wind farm indicator
3.2 计算评价结果与对比分析
通过表2所得的各项指标权重,采用TOPSIS、考虑熵权法的TOPSIS以及TOPSIS-DOC 3个评价算法分别对5个风电场进行对比分析,综合评分高的风电场具有更好的风电并网友好特性,得到的不同方法的结果及排名如表4所示。
表4 评价结果对比情况
Table 4 Comparison of evaluation results
评价方法 风电场A风电场B风电场C风电场D风电场E TOPSIS评分 0.700 3 0.842 0 0.490 3 0.572 5 0.490 2排名 2 1 4 3 5
续表
评价方法 风电场A风电场B风电场C风电场D风电场E考虑熵权法的TOPSIS评分 0.675 9 0.709 7 0.599 5 0.840 0 0.600 5排名 3 2 5 1 4 TOPSISDOC评分 0.785 0 0.796 3 0.751 7 0.910 6 0.750 6排名 3 2 4 1 5
将不同风电场各指标在不同方法下的评价得分以雷达图的方式展示,如图6—图8所示。
图6 TOPSIS方法的特性评分
Fig. 6 Characteristic scores of the TOPSIS method
图7 考虑熵权法的TOPSIS方法的特性评分
Fig. 7 Characteristic scores of TOPSIS method considering entropy weighting method
图8 TOPSIS-DOC方法的特性评分
Fig. 8 Characterization scores for the TOPSIS-DOC approach
从表3和图6—图8中可以看出,在相同指标和权重的前提下,使用不同评价方法得到的不同风电场的评分和排名有明显的区别。传统的TOPSIS并未考虑指标间的协调性,对不同风电场的评分有着较大差别,而5个风电场之间的地域差别性并不明显,因此传统TOPSIS评价方法对风电并网友好特性评价效果较差。以风电场A、B、D的排名为例,传统TOPSIS评价算法中3个风电场的排名分别为2、1、3,其他2种方法中排名分别为3、2、1,尽管风电场D的风电可信容量和风电月利用小时数略低于风电场A和B,但其风资源的分布性和风电出力的波动性均优于风电场A和B,其并网后对电网的影响会更小,在风电产业规划上风电场D更具优势。
考虑熵权法的TOPSIS和TOPSIS-DOC均在评价过程中考虑了指标间的协调性,不同风电场之间的评分差异变小,且排名更加合理。TOPSIS-DOC仅在风电场C和E之间与考虑熵权法的TOPSIS的排名不同,且整体评分相较于其他2种方法有较大提升,结合实际情况,风电场E仅在调峰特性上略占优势,其整体权重为0.476 6,但在其他特性上风电场C表现更好,整体权重为0.523 4。因此,风电场C的风电并网友好特性优于风电场E的风电并网友好特性,应该具有更高的排名,验证了TOPSIS-DOC评价方法的可行性。
3.3 验证分析
利用IEEE 33节点模型,通过分别将5个风电场接入到模型中第33号节点,计算接入后系统的备用容量需求RCD和调峰次数Rf,来评估对电力系统调峰压力的影响,如表5所示。其中,备用容量需求指风电出力波动带来的备用容量变化,调峰次数指风电场出力波动超过一定值时记录一次调峰。
表5 调峰压力对比情况
Table 5 Comparison of peaking pressures
指标 风电场A 风电场B 风电场C 风电场D 风电场E RCD 68.005 4 61.897 4 71.521 6 28.645 7 73.660 8 Rf 93 91 94 91 95
经验证,接入后对电网调峰压力的影响符合TOPSIS-DOC方法所得结果,验证了方法的有效性。
4 结论
针对风电并网友好特性缺少行之有效的评价方法,提出了一套风电并网友好特性评价指标以及评价算法。通过对南方地区5个风电场进行算例分析,并在IEEE 33节点模型上进行验证,结论如下。
1) 所提方法考虑了指标间的协调性,与传统评价方法所得结果不同,评价过程更加全面合理。
2) 通过对各风电场对电力系统调峰压力的影响评估,验证分析了所提方法的有效性。
本文仅在风资源特性、风电出力特性和电网交互特性3个方面进行了评价,在风电场的经济性评估是下一步研究的方向。
参考文献
- 
                                            [1]
                                            
国家能源局. 国家能源局发布1-3月份全国电力工业统计数据[EB/OL]. (2024-04-22)[2024-08-30]. https://www.nea.gov.cn/2024-04/22/c_1310772067.htm. [百度学术]
 - 
                                            [2]
                                            
李驰,刘纯,黄越辉,等. 基于波动特性的风电出力时间序列建模方法研究[J]. 电网技术,2015,39(1):208-214.LI Chi, LIU Chun, HUANG Yuehui, et al. Study on the modeling method of wind power time series based on fluctuation characteristics[J]. Power System Technology, 2015,39(1): 208-214 (in Chinese). [百度学术]
 - 
                                            [3]
                                            
严新荣,张宁宁,马奎超,等. 我国海上风电发展现状与趋势综述[J]. 发电技术,2024(1):1-12.YAN Xinrong, ZHANG Ningning, MA Kuichao, et al.Overview of current situation and trend of offshore wind power development in China[J]. Power Generation Technology,2024(1): 1-12 (in Chinese). [百度学术]
 - 
                                            [4]
                                            
刘洪波,刘永发,任阳,等. 高风电渗透率下考虑系统风电备用容量的储能配置[J]. 发电技术,2024(2):260-272.LIU Hongbo, LIU Yongfa, REN Yang, et al. Energy storage configuration considering the system wind power reserve capacity under high wind power permeability[J]. Power Generation Technology, 2024(2): 260-272 (in Chinese). [百度学术]
 - 
                                            [5]
                                            
张宇博,杨松浩,郝治国. 最大化电力系统频率最低点的并网风电机组频率支撑控制[J]. 电力系统自动化,2024,48(8):141-151.ZHANG Yubo, YANG Songhao, HAO Zhiguo. Frequency support control of grid-connected wind turbines to maximize frequency nadir of power systems[J]. Automation of Electric Power Systems, 2024, 48(8): 141-151 (in Chinese). [百度学术]
 - 
                                            [6]
                                            
ABEYGUNAWARDANA A, LIU A, LEDWICH G. A gridfriendly neighborhood energy trading mechanism[J]. Journal of Modern Power Systems and Clean Energy, 2022, 10(5): 1349-1357. [百度学术]
 - 
                                            [7]
                                            
汪林光,谢小荣,贺静波,等. 采用多元线性回归方法分析短路比对风电并网系统小干扰稳定性的影响[J]. 电力建设,2023,44(4):113-118.WANG Linguang, XIE Xiaorong, HE Jingbo, et al. Multiplelinear-regression based analysis of the impact of short circuit ratio on small-disturbance stability of wind power gridconnection systems[J]. Electric Power Construction, 2023,44(4): 113-118 (in Chinese). [百度学术]
 - 
                                            [8]
                                            
谭珺敉,彭晓涛,李旭涛,等. 基于协同控制优化风电-柔直并网惯性响应策略研究[J]. 电工技术学报,2025,40(5):1355-1367.TAN Junmi, PENG Xiaotao, LI Xutao, et al. Optimization of inertia response strategy based on synergetic control for wind power integrating to power grid via VSC-HVDC[J].Transactions of China Electrotechnical Society, 2025, 40(5):1355-1367(in Chinese). [百度学术]
 - 
                                            [9]
                                            
郑铭洲. 基于风电并网友好性评估的电力系统协调优化调度研究[D]. 南京:南京理工大学,2019. [百度学术]
 - 
                                            [10]
                                            
李剑楠,乔颖,鲁宗相,等. 多时空尺度风电统计特性评价指标体系及其应用[J]. 中国电机工程学报,2013,33(13):53-61.LI Jiannan, QIAO Ying, LU Zongxiang, et al. An evaluation index system for wind power statistical characteristics in multiple spatial and temporal scales and its application[J].Proceedings of the CSEE, 2013, 33(13): 53-61 (in Chinese). [百度学术]
 - 
                                            [11]
                                            
王建学,张耀,万筱钟,等. 面向电网运行的新能源出力特性指标体系研究:风电出力特性指标体系[J]. 电网与清洁能源,2016,32(2):42-51.WANG Jianxue, ZHANG Yao, WAN Xiaozhong, et al. An operation-oriented evaluation index system for renewable power output characteristics: wind power output characteristics[J]. Power System and Clean Energy, 2016,32(2): 42-51(in Chinese). [百度学术]
 - 
                                            [12]
                                            
周道坤,徐江浩,陈丹丹,等. 海上风电项目施工期海洋环境影响跟踪评价指标体系研究与实践[J]. 海洋开发与管理,2023,40(11):59-66.ZHOU Daokun, XU Jianghao, CHEN Dandan, et al. Research and practice on marine environmental impact tracking evaluation index system of offshore wind power projects during construction[J]. Ocean Development and Management,2023, 40(11): 59-66 (in Chinese). [百度学术]
 - 
                                            [13]
                                            
WANG H Y, HE L, LIN X L, et al. Evaluation method of wind power consumption limitation in power system with high proportion of wind power[C]//2021 IEEE 4th International Electrical and Energy Conference (CIEEC). May 28-30, 2021,Wuhan, China. IEEE, 2021: 1-6. [百度学术]
 - 
                                            [14]
                                            
YU H, XU L, PENG S, et al. Assessment of offshore wind characteristics and wind energy potential: a case study for south coastal region of China[C]//2021 6th International Conference on Power and Renewable Energy (ICPRE). September 17-20,2021, Shanghai, China. IEEE, 2021: 992-996. [百度学术]
 - 
                                            [15]
                                            
刘骏锋. 基于实测数据的综合能源系统综合评价[D]. 北京:北京交通大学,2019. [百度学术]
 - 
                                            [16]
                                            
陈晨,闫向阳,齐桓若,等. 基于FAHP-改进CRITIC组合赋权的屋顶光伏接入配网评价方法[J]. 电力系统保护与控制,2023,51(15):97-108.CHEN Chen, YAN Xiangyang, QI Huanruo, et al. An evaluation method of a roof photovoltaic access distribution network based on the weight of FAHP-improvement CRITIC combination[J]. Power System Protection and Control, 2023,51(15): 97-108 (in Chinese). [百度学术]
 - 
                                            [17]
                                            
董福贵,张也,尚美美. 分布式能源系统多指标综合评价研究[J]. 中国电机工程学报,2016,36(12):3214-3222.DONG Fugui, ZHANG Ye, SHANG Meimei. Multi-criteria comprehensive evaluation of distributed energy system[J].Proceedings of the CSEE, 2016, 36(12): 3214-3222 (in Chinese). [百度学术]
 - 
                                            [18]
                                            
杜鹤立. 基于AHP-熵权法的风电项目后评价研究[D]. 北京:北方工业大学,2023. [百度学术]
 - 
                                            [19]
                                            
苗璐,樊玮,肖红燕,等. 基于改进FCM聚类的光伏电站出力场景特性研究[J]. 广东电力,2024,37(3):1-11.MIAO Lu, FAN Wei, XIAO Hongyan, et al. Study on typical output scenario characteristics of photovoltaic power station based on improved FCM clustering[J]. Guangdong Electric Power, 2024, 37(3): 1-11 (in Chinese). [百度学术]
 - 
                                            [20]
                                            
蔡继峰,胡高硕,石浩. 国内外风能资源评估标准研究综述[J]. 风能,2021(12):56-63.CAI Jifeng, HU Gaoshuo, SHI Hao. Review of wind energy resource evaluation standards at home and abroad[J]. Wind Energy, 2021(12): 56-63(in Chinese). [百度学术]
 - 
                                            [21]
                                            
张家安,刘宁,吴林林,等. 基于风力机功率特性的风资源评估δ指标体系[J]. 太阳能学报,2017,38(2):498-502.ZHANG Jia’an, LIU Ning, WU Linlin, et al. δ index system for wind resource assessment based on power characteristics of wind turbine[J]. Acta Energiae Solaris Sinica, 2017, 38(2):498-502 (in Chinese). [百度学术]
 - 
                                            [22]
                                            
朱明星,齐先军,朱晟,等. 基于两阶段风电波动平抑模型的混合储能系统容量配置及效果评价[J]. 南方电网技术,2025,19(2):80-88. [百度学术]
 - 
                                            [23]
                                            
CHEN P Y. A novel coordinated TOPSIS based on coefficient of variation[J]. Mathematics, 2019, 7(7): 614. [百度学术]
 - 
                                            [24]
                                            
HAO W B, SUN C Z, ZHAO L L. The research on adaptability evaluation of wind power integration capacity in power grid considering wind-solar hybrid complementary characteristics and flexible loads interference[C]//2016 IEEE PES Asia-Pacific Power and Energy Engineering Conference (APPEEC).October 25-28, 2016, Xi’an. IEEE, 2016: 1856-1860. [百度学术]
 - 
                                            [25]
                                            
郭一帆,欧阳森,张晋铭,等. 含小水电配电网重要负荷评估及其水光储优化配置方法[J]. 广东电力,2024,37(5):32-42.GUO Yifan, OUYANG Sen, ZHANG Jinming, et al.Assessment of critical load and optimization configuration method for small hydropower distribution network with integrated hydro-PV-energy storage[J]. Guangdong Electric Power, 2024, 37(5): 32-42 (in Chinese). [百度学术]
 - 
                                            [26]
                                            
郭亚军. 综合评价理论、方法及应用[M]. 北京:科学出版社,2007. [百度学术]
 
基金项目
南方电网公司科技项目(036000KK52222013(GDKJXM20222142));广东省重点领域研发计划项目(2021B0101230001)。
Science and Technology Program of Southern Power Grid Corporation (036000KK52222013(GDKJXM20222142)); R&D Programs in Key Areas of Guangdong Province (2021B0101230001).
