相关论文:
- 
                                    
                                 - 
                                    
全球能源互联网
第8卷 第5期 2025年09月;页码:602-614 
考虑源荷响应及设备检修的有源配电网可靠性评估方法
An Active Distribution Grid Reliability Assessment Method Considering Source Load Response and Equipment Maintenance
- 1.广东电网有限责任公司广州海珠供电局,广东省 广州市 510000
 - 2.西安交通大学电气工程学院,陕西省 西安市 710049
 
- LEI Chaoping1, FAN Xingyu1, ZHAO Xiangwen1, DENG Jun2, ZHAO Haoxiang2, HUANG Yuxiong2,LI Gengfeng2*, LIU Liang1, HE Kun1, TONG Jiapeng1, WU Yuliang1, CAO Huiqiu1 (1. Guangzhou Haizhu Power Supply Bureau of Guangdong Power Grid Co., Ltd., Guangzhou 510000, Guangdong Province, China
 - 2. School of Electrical Engineering, Xi’an Jiaotong University, Xi’an 710049, Shaanxi Province, China
 
关键词
Keywords
摘 要
Abstract
随着新能源以及新型储能的广泛接入,配电网正逐步由单一的电能分配网络转化为源网荷储融合互动的新型配电网,这对配电网的可靠性评估与检修策略提出了新的要求。针对该问题,提出了一种考虑源荷响应及设备检修的配电网可靠性评估方法。首先,建立了一种考虑分布式电源出力与网络重构的检修策略优化模型。其次,针对配电系统中大量新型源荷接入的实际情况,提出了一种考虑源荷响应的配电网可靠性评估方法。最后,以IEEE 69节点配电网系统进行算例分析。算例结果表明,该方法在提高检修效率、降低停电损失及提升系统可靠性方面均表现出显著优势。
With the extensive access of new energy sources and new energy storage, the distribution network is gradually transformed from a single power distribution network to a new type of distribution network that integrates and interacts with source-network-load-storage, which puts forward new requirements for the reliability assessment and overhaul strategy of the distribution network. In this paper, a distribution network reliability assessment method considering source-load response and equipment maintenance is proposed to address this issue.First, an optimization model of maintenance strategy considering distributed power output and network reconfiguration is established. Second, a distribution network reliability assessment method considering source-load response is proposed for the actual situation of a large number of new source-load accesses in the distribution system. Finally, an arithmetic example is analyzed with the IEEE 69-node distribution system. The results of the arithmetic example show that the method exhibits significant advantages in improving maintenance efficiency,reducing outage losses and enhancing system reliability.
0 引言
配电网作为连接用户的“最后一千米”,其可靠性高低将会直接影响到用户的用电体验,配电网可靠性评估问题也越来越受到重视[1-2]。随着新能源、电动汽车充电基础设施、新型储能等大量接入配电系统[3-6],系统规模不断增大,系统中设备数目快速增长,源荷响应互动与设备检修导致的负荷停电对系统可靠性的影响不可忽视,原有的可靠性评估理论与方法已不再适用。
源荷双向响应的本质是源侧供给和荷侧需求之间的互动,对电网调峰和新能源消纳产生共同促进作用[7-9]。在发电侧,随着光伏装机容量的上升,尖峰负荷时域分布也发生变化,净负荷呈现“鸭子曲线”特征和早晚双尖峰现象[10]。储能技术的充放电可以部分解决风能和光伏等不确定性问题,减轻电网拥挤压力[11],同时对光伏分布不均,通过建设直流线路以实现区域互联[12];在负荷侧,为了提高系统的经济性,减少系统的碳排放量,文献[13]以最小化运行成本和减碳为目标函数,建立了考虑柔性负荷的多目标约束机组组合优化模型;从源、荷两侧考虑,文献[14]和文献[15]提出一种将空调负荷聚群控制的源-荷优化模型,文献[16]在两侧同时引入了需求响应和储能,以应对风电出力预测的不确定性,考虑风电和储能系统,构建了两阶段优化调度模型,文献[17]考虑配电网源-荷不确定性因素建模。但针对配电系统中大量新型源荷接入的实际情况,这些文章中都未提出一种新型有效的考虑检修停运可靠性评估方案。
此外,在配电网大量接入新能源的背景下,系统规模不断增大,设备数目也大量增加,相应的设备检修维护需求也快速增长。考虑检修停运对系统运行的影响与设备故障导致系统停电类似[18],因此检修工作对系统可靠性评估的影响不可忽略。目前在配电系统可靠性评估方面国内外已有大量研究。文献[19]建立了分布式电源供电充裕度概率模型,提出了考虑不同微网孤岛运行方式的可靠性评估方法;文献[20]采用威布尔分布拟合设备故障率变化情况,提升了可靠性;文献[21]提出面向可靠性指标评估的数学优化模型,采用寻优的方式求解有源配电网可靠性指标,以期提升求解速度;文献[22]提出了考虑信息物理耦合影响的可靠性评估方法,使评估结果更符合实际情况。但以上方法中的可靠性评估都没有考虑到检修过程中元件停运对系统运行带来的影响。
设备检修是电力系统日常运维中十分重要的内容,编制科学合理的检修计划编排方案,是提高配电网运行效率和可靠性的重要途径,对保障社会经济的稳定运行具有重要意义。目前的检修计划编排方法主要通过对检修工作、网络潮流构建约束[23-24],以经济性、管理性、可靠性最优为目标进行优化求解[25-28]。文献[29]提出了负荷转移路径和设备检修时间联合优化模型,并采用免疫禁忌算法求解得到了检修计划;文献[30]通过支路开断因子对原有潮流进行修正的方式分析检修过程中的潮流分布;文献[31]提出一种考虑光伏储能和可控负荷的配电网检修联合优化模型,考虑了分布式电源出力对检修计划的优化编排的影响。以上模型主要采用启发式算法,并没有充分考虑系统检修过程中配网重构的影响。
针对以上问题,本文提出考虑源荷响应及设备检修的有源配电网可靠性评估方法,示意图如图1所示。首先针对配电网年度检修计划排期问题,提出了配电网检修策略优化模型,与传统检修计划编排模型采用启发式算法求解不同,该模型可用数学规划方法求解,得到全局最优解,求解结果更加准确。其次针对配电系统大量新型源荷接入的情况,提出考虑源荷响应与设备检修的配电网可靠性评估方案,与传统的序贯蒙特卡洛的时序随机生产模拟不同,该模型考虑了分布式电源、光伏和用电激励以及在分时电价调度下具有用户行为特性的柔性负荷响应,使得模型更能适应新能源大量接入背景下的可靠性分析应用。最后采用改进的IEEE 69节点系统进行算例验证,分析所提模型对配电系统可靠性提升的影响。
图1 有源配电网可靠性评估示意图
Fig. 1 Schematic of active distribution grid reliability assessment
1 配电网检修策略优化模型
配电网检修策略主要包括计划排期与运行方式优化2个部分。本章首先建立设备重要度评估模型,其次采用配电网重构优化模型分析不同检修工况下的系统负荷削减量,最后以检修计划均匀度最优与年停电损失最小为目标构建年度检修计划排期模型。
1.1 基于可靠性分析的设备重要度评估模型
设备重要度是指设备在保障整个电力系统正常工作时所处的地位的重要程度,设备重要度越高,其故障停运导致整个系统的损失越大。
为量化分析每个设备的可靠性,对每个设备的故障率进行建模。考虑到设备的老化失效过程会影响设备故障率的大小,故障率λ由设备基本故障率λ0与设备老化故障率λold2部分构成:
本文提出一种基于可靠性分析的设备重要度评价方法,该方法通过分别比较不同设备修复前与设备修复后2种场景下的可靠性指标的增量实现设备重要度评估。
第1种情况为系统中所有设备均处于初始运行状态 (λnow),称为基本情况;第2种情况为系统中某一个设备处于修复后的状态 (λnew),即故障率有所下降,而系统中其他设备均处于初始状态,即故障率保持不变。显然,第1种情况对于所有系统设备都是唯一的,而第2种情况则需要针对每一个设备修复后的系统进行单独分析。此后,对2种情况下的所有系统情况进行可靠性分析。
设备重要度评估过程如下。
1) 计算得出2种情况下的可靠性指标,可以得到设备i修复对负荷点j的重要度因子(critical factor,CF):

式中:α1表示不同可靠性指标所占权重;ΔR1i,j表示设备i修复前后节点j可靠性指标的变化量;
表示设备均处于初始状态时,节点j可靠性指标的值;重要度因子
的物理含义为设备i修复后对节点j可靠性增量的贡献。
2) 为分析设备修复后对整个系统可靠性增量的贡献,需要对设备修复后系统中所有节点可靠性增量进行累积,即加权累积重要度因子(weighted cumulative critical factor,WCCF):
式中:
表示设备i对负荷点j的重要度因子;Nnode表示系统中负荷点的总数;Wj表示负荷点j的权重,用以区分不同等级的负荷点。
3) 根据WCCF衡量对设备进行检修与维护能够为可靠性带来的提升,进而实现设备重要度的排序,为设备检修提供参考。
1.2 不同检修工况下负荷削减量的计算
考虑到配电网结构复杂,线路上存在大量开关,因此可以通过开断联络开关与分段开关构建合理的配电网拓扑结构,从而实现负荷转移,缩小停电范围[32-34]。本文采用配电网重构优化模型分析不同检修工况下系统的负荷削减量。
首先通过状态枚举法生成不同检修工况;其次采用配电网重构优化模型,在考虑配电系统网络重构的条件下,求解得到不同检修工况对应的系统运行方式与各负荷点的负荷削减量。
配电网重构优化模型的目标函数为最大化配电网网络重构后系统负荷恢复率:
式中:PL,j为第j个节点的负荷恢复量;ωj表示第j个节点负荷点权重;N表示系统所有负荷点的集合。模型主要约束如下。
1) 潮流约束:根据Distflow模型[35],运行潮流约束可表示为

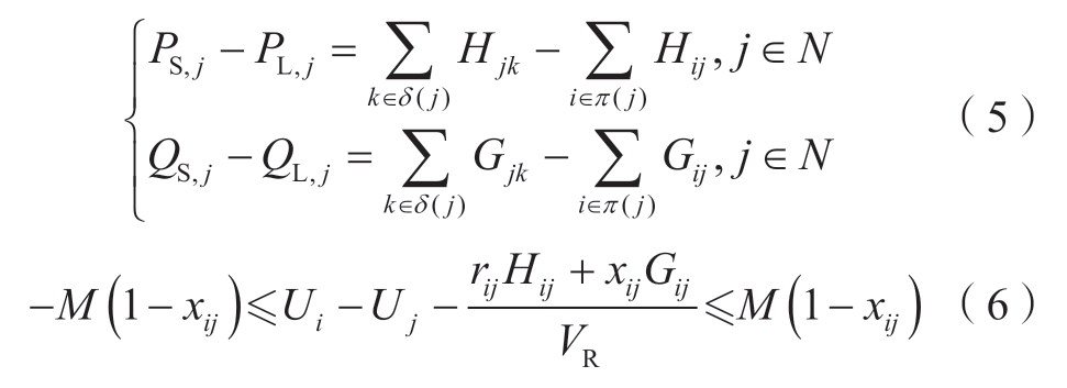
式中:xij表示支路ij的运行状态,0表示支路退出运行,1表示支路投入运行;δ(j)表示节点j的下游支路的集合;π(j)表示节点j的上游支路的集合;N表示系统中节点的集合;PS,j、QS,j分别表示接在j节点的电源点注入的有功功率与无功功率;PL,j、QL,j分别表示j节点负荷的有功与无功需求;Hij、Gij分别表示流过ij支路的有功与无功;Ui表示负荷节点i的电压;rij表示支路ij的电阻;xij表示支路ij的电抗;VR表示系统的额定电压;M为一个大数。
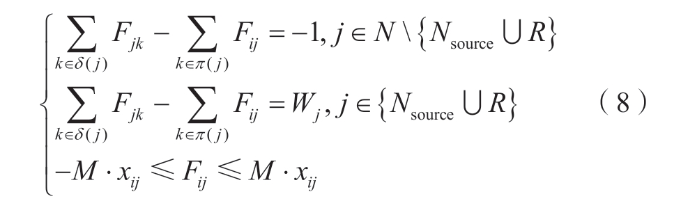
2) 辐射状拓扑约束:为满足配电网的辐射状拓扑约束,采用文献[36]中的单商品流法。
式中:Br表示系统中支路的集合;N表示系统中节点的集合;NSr表示可控电源节点的集合;R表示停电孤岛虚拟电源点的集合。式 (7) 表示系统在运支路数等于节点数减去给定的孤岛(子图)数目。

式中:Fij为支路ij流过的潮流;Wj为源节点j发出的虚拟功率。式 (8) 表示每个孤岛 (子图)均为连通图。
1.3 年度检修计划排期模型
在设备检修工作过程中,需要对相关的在运设备进行停电,并安排合理的停电窗口。因此对于配电网运行调度而言,设备检修工作排期问题可以等效为停电计划排期问题。一般来说,设备检修计划编排问题的目标主要有停电计划的偏移量最小、停电计划分布均匀、停电经济成本最低等。因此,本文构建了以d为计算时段,考虑最小化停电损失与元件强化计划偏移量的年度设备检修工作排期模型。
1.3.1 目标函数定义
为保证设备检修计划的经济性,考虑推迟检修强化工作会增加电力系统运行的风险,提前检修强化工作会降低元件强化的经济性,本节以最小化停电损失与停电计划均匀度为目标建立年度设备检修工作排期模型。特别地,本文所涉及的年度检修计划时间尺度为d,而设备老化失效过程的时间尺度一般为a,且在年度检修工作开展过程中设备故障率的变化量很小,因此本文中忽略设备老化失效过程对年度检修计划制订的的影响。
1) 停电损失:电网停电会导致失负荷带来停电损失。设在检修周期T内,第t天的负荷削减量为ΔPt,停电持续时长为Δt,则系统第t天的停电损失可以表示为
式中:α表示停电损失的费用系数。
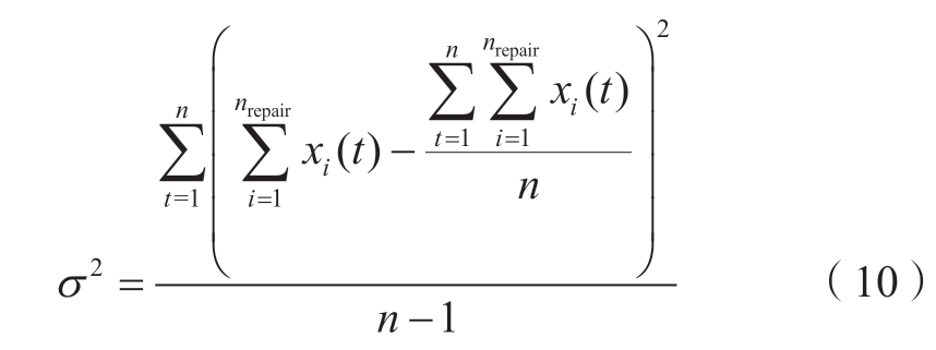
2) 停电计划的均匀度:为使各时段工作量分配合理,即各时段内停电计划数目的方差最小

式中:n表示检修周期的时段数目;nrepair表示待检修强化的元件数目;xi(t)表示第i个元件在时段t时的工作状态,是一个0-1整数变量,0表示处于正常工作状态,1表示处于检修停运状态。
对以上2种目标函数加权求和,则本模型的目标函数可以表示为
式中:k1、k2为权重系数,其取值需要根据实际需要和经验确定。
1.3.2 约束条件定义
1) 工程资源约束:工程资源指工程人员数量及技术能力、设备能力等,由于资源有限使得能同时进行的作业数量有限。
式中:Ωc表示系统中所有元件的集合;Mt表示工程公司在第t个时间段可以同时检修强化的最大元件数目。
2) 同时约束:在一个系统中,一次停电可以解决的问题需要全面解决,不允许因考虑不周,而发生重复停电的问题,因此有些元件必须同时停电。
式中:xi(t)和xj(t)分别为第i个和第j个元件在第t个时间段的工作状态。
3) 互斥约束:为减少设备检修工作时停电的负荷点,有些设备不能同时停电,例如并联的元件。
式中:n为停电关系为互斥的设备的总数。
4) 确定性停电约束:部分设备检修工作的日期是确定的,其停电时间不可变更。例如,上级调度部门制定的停电计划,上个时间段延续至本年度的停电计划等。
式中:xi(T)表示第i个设备在特定的时间段T的检修状态。特别地,在用电高峰时段、重大活动、节假日等时间段一般不安排检修,也可归入这一类约束。
5) 停电连续性约束:为保证配电网运行的稳定性,停电计划一旦执行,应当一直保持停电直到设备检修工作完成,不允许分为多段。
6) 最小停电间隔约束:为了使停电计划的分布均匀合理,同时为了避免反复停电影响配电网可靠性,2次停电作业之间相邻的时间要满足最小间隔时间要求。
式中:ti,2表示元件i本次停电计划的结束时间;
表示元件i下一次停电计划的开始时间;Bi表示元件i的2次停电的最小间隔时间。
2 考虑源荷响应的配电网可靠性评估
配电网的源荷响应主要包括源荷侧分布式储能出力和柔性负荷响应2个部分,图2所示为考虑源荷响应及设备检修的有源配电网可靠性评估方法流程图。本章首先建立灵活性资源、储能出力和柔性负荷响应的物理模型,其次,采用序贯蒙特卡洛模拟得到多时间尺度的可靠性指标,最后构建考虑切负荷最小的经济最优目标函数的经济调度模型。
图2 考虑源荷响应及设备检修的有源配电网可靠性评估方法流程图
Fig. 2 Flowchart of active distribution network reliability assessment method considering source load response and equipment maintenance
2.1 新型源侧响应模型
模型以新能源机组灵活的发电调节能力及用户负荷的响应调整为目标,通过需求响应技术在负载端实现动态平衡,确保电力系统运行稳定。未来的高比例新能源新型电力系统将整合风能、太阳能等新能源机组、储能电源、抽水蓄能机组和适量的灵活性火电机组,实现区域分布式新能源配电网和广域集中式新能源大电网的协同工作。
2.1.1 风电机组模型
由风电预测出力与随机误差组成风电出力不确定性模型。将风电实际出力用预测风电出力叠加1个随机的波动误差来表示。假设出力误差按照预测值上下30%浮动并符合正态分布,则其表达式为
式中:
为风电机组t时刻的实际出力;
为风电机组t时刻的预测出力。
2.1.2 光伏机组模型
由光伏发电预测出力与随机误差组成光伏出力不确定性模型。将光伏发电实际出力用预测光伏出力叠加1个随机的波动误差来表示。假设出力误差按照预测值上下30%浮动并符合正态分布,则其表达式为
式中:
为光伏机组t时刻的实际出力;
为光伏机组t时刻的预测出力。
2.1.3 储能模型
储能是一种规模较小但响应速度较快且不受地理位置限制的电源,可以使发电侧出力更平均、平滑新能源出力,也可以使负荷侧的用电可靠性更高,以此来提高配电网系统的灵活性。
储能电池需要满足容量约束、充放电约束,可分别表示为

式中:EES,t为储能电池t时刻容量,kWh;EES,max、EES,min为储能电池容量上、下限,k W h;PESc,min、PESdc,min为储能电池充、放电功率下限,kW;PESc,max、PESdc,max为储能电池充、放电功率上限,kW;PESc,t、PESdc,t为储能电池t时刻充、放电功率,kW。
此外储能电池还需要满足SOC状态约束,一周期内循环电量平衡,可表示为
式中:SOC,t为t时刻储能电池的SOC状态,范围为[0,1];λES为储能电池的自放电率;ηESc为储能电池的充电效率。
2.2 新型荷侧响应模型
研究新型源荷响应模型时,对于未来的负荷值,一般可以采用预测负荷值叠加一个随机误差来表示,可以表示为
式中:
为负荷预测值;
为负荷预测误差;
为叠加预测误差后的负荷值。
本文假设负荷的预测误差在预测值的上下10%范围波动,且偏差为服从正态分布的随机变量。由概率论知识,服从正态分布的随机变量X ~N(µ ,σ 2) ,其位于(µ - 3σ ,µ +3σ )区间范 围 内 的置信水平为99.7%,因此本文近似认为负荷预测误差在µ ±3σ 范围内波动,可表示为
式中:
为负荷预测值;
为负荷实际值。
研究新型荷侧响应模型时,对于负荷侧资源,积极引导用户参与需求响应,优化负荷曲线,可将负荷分为基础负荷和柔性负荷,其中柔性负荷又可分为可削减负荷、可转移负荷、可平移负荷[37-38],可以表示为
式中:
为t时刻的总负荷;
为t时刻的基本负荷;
为t时刻的可削减负荷;
为t时刻的可平移负荷。可转移负荷与可平移负荷的建模相似,在本文中合并为一项进行表达。
2.2.1 可平移负荷
可平移负荷是指电网中受补偿减价影响的用电负荷,平移到合适的时间进行生产以达到削峰填谷和降本增效的效果。平移负荷的原始负荷起始时间为tsh,持续时间为Tsh,用状态变量τsh表示平移负荷,取值为[0, 1],故平移负荷可以表示为

式中:τsh为某一时刻平移状态,取值[0, 1];
为t时刻可平移负荷功率;
 为可平移负荷功率的上下限;
为t时刻总的可平移负荷的调度成本;∆Ct为t时刻激励与分时电价差带来的成本。
考虑到平移过程频繁的启停对机组或使用带来的不便,因此对可平移负荷进行最小的运行时间的约束,可以表示为
式中:
为最小的连续平移时间。
2.2.2 可削减负荷
可削减负荷是指电网中受补偿电价影响的用电负荷,可削减负荷模型可以表示为

式中:
为t时刻可削减负荷的实际削减量;
为可削减负荷的激励弹性系数,值与
有关;
为t时刻可削减负荷的补偿金额;
为t时刻可削减负荷的调度成本;γt为t时刻是否为可削减区间,范围为[0, 1];Nmax为可削减负荷最大次数。
可削减负荷激励弹性系数可表示为

式中:
和
为用户进行负荷削减时的分时负荷段;
为可削减负荷的激励电价序列,
越小表示用户对该激励电价越不敏感;λmax和λmin为削减负荷的最小和最大敏感指数;Npeak为峰值负荷长度;
为补偿电价高低的序列;
为可削减负荷激励弹性系数,
。
2.3 配电网可靠性评估算法
运行过程中的故障停运存在随机性,而检修过程中的设备停运是确定性的,二者存在本质差异。因此,本文采用2种不同的方式分别处理随机故障场景与非随机的检修场景。
首先,根据最终的待检修设备集合编制对应的年度检修计划,并作为后续系统生产模拟的输入;其次,采用序贯蒙特卡洛模拟法对系统状态抽样,蒙特卡洛算法通过进行大量的随机抽样,充分考虑了新能源出力、负荷需求的不确定性,保证了电力电量平衡结果的准确性,进而更加准确地考虑了随机故障的影响[39-40];最后,根据系统生产模拟的结果计算配电系统有关的可靠性指标,进而实现考虑随机故障与设备检修的配电网可靠性评估。
2.3.1 日前机组组合及日内经济调度
日前机组组合是优化电力系统调度运行安排的一个重要步骤,它是在满足负荷需求以及其他约束的情况下通过合理安排各个机组在不同时刻的启停状态和出力计划来作为日内经济调度的基础。本文通过使用的日前机组组合期望进行日内经济调度,以达到经济性最优为目标,考虑功率平衡等约束建立模型。
1)日前机组组合。
目标函数:假设系统中有l台储能机组、k台新能源机组(k1台风电机组、k2台光伏机组),以经济性最优为目标函数,同时考虑切负荷、主网购电成本和分布式光伏奖励项,公式为
式中:第1项为向主网购电费用;第2项为新能源机组购电费用;第3项为储能机组运行总费用;第4项为分布式光伏消纳奖励项;第5项为切负荷惩罚成本。
式中:Pnet, i, t表示主网t时刻的出力;Cnet,i表示主网单位出力下的运行成本。
式中:Pnew, i, t表示第i台新能源机组t时刻的出力;Cnew,i表示第i台新能源机组单位出力下的运行成本。

式中:CESc,i、CESdc,i分别表示第i台储能机组充电及放电时单位出力下的成本;PESc, i, t、PESdc, i, t分别表示第i台储能机组t时刻充电及放电出力。
式中:CPVS表示消纳光伏的单位经济奖励;Pv St表示t时刻下的消纳光伏量。
式中:CLS表示切单位负荷时的经济损失;LS t表示t时刻下的切负荷。
约束条件如下。
功率平衡约束:

式中:Pnew, i ,t为表示第i台新能源机组在t时刻的出力;PES, i ,t为表示第i台储能机组在t时刻的出力,充电为负、放电为正,PE S, i , t = PE Sdc, i ,t - PESc, i ,t;Pt为表示t时刻的总负荷需求。
机组出力上下限约束(新能源):
式中:
分别表示第i台风电机组和光伏发电机组在t时刻的出力;
分别表示第i台风电机组和光伏发电机组的最大出力。
储能充放电功率及SOC状态约束:

式中:UES, i, t为第i台储能机组在t时刻的储能状态,0表示充电、1表示放电;
为第i台储能机组在t时刻的SOC状态。
线路潮流约束:
式中:Pl ,t为线路l在t时刻的功率;Pl,max、Pl,min为线路l的双向潮流约束。
2)日内经济调度。
日内经济调度的目标函数和约束条件与日前机组组合相仿,由日前机组组合所确定约束不再考虑。其中目标函数在日前机组组合基础上考虑日内实时柔性负荷进行经济调度,柔性负荷响应经济目标公式为
2.3.2 可靠性评估
1) 电力电量平衡可靠性指标。
可靠性指标主要用来描述电力系统在生产模拟周期内切负荷的概率、电力、电量、时间等方面的情况,主要有电力不足概率 (RLOLP)、电力不足期望值(RLOLE)、电量不足期望值 (REENS)、系统平均停电功率(RMOP)、用户停电损失 (Rloss)。
电力不足概率(RLOLP):生产模拟周期内电力系统发生切负荷的概率,计算公式为
式中:Ncut为电力系统在生产模拟周期内发生切负荷的总次数;ti为电力系统在第i次切负荷时持续的时间,h;T为生产模拟总的模拟时间,h。
电力不足期望值 (RLOLE):生产模拟周期内电力系统发生切负荷的小时数,其计算公式为
电量不足期望值 (REENS):生产模拟周期内电力系统切负荷的电量期望值,其计算公式为
式中:Li为生产模拟周期内系统出现第i次切负荷状态的切负荷量,MW;ti为生产模拟周期内系统出现第i次切负荷状态量,取值为[0,1]。
系统平均停电功率(RMOP):生产模拟周期内系统切负荷平均功率,其计算公式为

用户停电损失Rloss:生产模拟周期内用户因失负荷带来的损失,其计算公式为
式中:REENS,i表示负荷点i在生产模拟周期内用户因电力系统切负荷损失的电量的期望值;Ncost表示系统负荷点的数目;αi表示负荷点i因失负荷导致的损失系数。
2)收敛判定及指标计算。
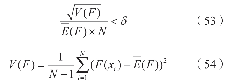
蒙特卡洛模拟基于大数定律,即当随机事件的次数趋近于无穷大时,其统计平均值趋近于其期望值,收敛判据为

式中:V (F )为系统评价指标的样本方差;δ为收敛判据的误差给定值。
可靠性指标的计算由进行蒙特卡洛模拟的收敛判定,若收敛则输出最终可靠性指标结果:

式中:n为仿真年限,1 a共8760 h;xi ,t为系统第i年在t时刻的运行状态;f ( xi , t)为评价系统指标的中间函数;Fi为系统在第i年的评价指标结果;
为系统评价指标的样本均值。
3 算例分析
3.1 算例概述
以改进的IEEE 69节点配电网系统为例对本文所提考虑源荷响应及设备检修的有源配电网可靠性评估方法进行验证。系统拓扑结构如图3所示。
图3 改进的IEEE 69节点配电网
Fig. 3 Improved IEEE 69-node distribution network
分布式资源中风电、光伏、储能的容量分别设置为0.5 MW、2 MW、0.4 MW。本文负荷、新能源出力选取某地区电网2025年时序预测数据。分时电价数据如表1所示。
表1 分时电价数据
Table 1 Time-of-use tariff data
时段类型 时段 电价/(元·kWh-1)峰时段 11:00—13:00 17:00—22:00 0.59平时段8:00—10:00 14:00—16:00 23:00—24:00 0.49谷时段 0:00—7:00 0.31
3.2 算例结果与分析
3.2.1 设备重要度排序结果分析
考虑到线路1、线路2停电检修会导致电网大面积失负荷,因此考虑检修的设备为线路3~线路68。本文中用于设备重要度评价的可靠性指标主要有电量不足期望值(REENS)与负荷削减概率(RPLC)。根据系统数据采用基于可靠性分析的设备重要度评估模型对配电系统支路进行重要度评价,得到各线路的WCCF值如图4所示。
图4 线路累计重要度因子
Fig. 4 Weighted cumulative critical factor of line
从图4可以发现,配电系统上游支路的设备重要度普遍比系统下游的支路更高,例如支路26~支路28,这说明辐射式配电系统上游支路的可靠运行对于配电系统整体的可靠性至关重要。分布式电源与联络开关能够通过故障状态下转移负荷,进而提升分布式电源与联络开关附近设备的重要度,例如支路10~支路13。
3.2.2 源荷响应对系统可靠性的影响
为研究检修工作与源荷响应的特性对配电系统可靠性的影响,设置4种不同的配电系统运行场景:场景1、场景2为无源荷响应下的检修计划随机编排、检修计划优化编排;场景3、场景4则为有源荷响应下的指标情况。
1) 柔性负荷响应情况分析。
表2展示了不同场景下系统的可靠性指标情况。以优化方案为例,对比发现考虑源荷响应的条件下相较于不考虑源荷响应的条件下的系统可靠性指标明显更优,REENS减少了约1.810%,RMOP减少了约1.812%,Rloss减了约0.637%,这表明源荷响应可以一定程度改善电力不足的问题,减小系统失负荷损失。
表2 系统可靠性指标对比
Table 2 Comparison of system reliability indicators
指标无源荷响应 有源荷响应随机方案(场景1)优化方案(场景4)REENS/(MWh·a-1) 8.121 1 6.867 6 7.935 4 6.743 3 RMOP/(kW/次) 483.394 2 408.790 1 472.352 7 401.380 1优化方案(场景2)随机方案(场景3)Rloss/(美元·a-1) 9 045.342 3 7 509.622 5 8 838.508 1 7 461.819 5
图5展示了某模拟年内系统的日最大负荷与日最小负荷情况。可以发现在考虑柔性负荷后系统的高负荷较无柔性负荷时更低;系统的低负荷较无柔性负荷时更高,即在电网负荷高峰期,通过激励政策促使大工业用户转移用电量,进而优化电力使用,使系统整体用电平滑性更好,一定程度上削减了负荷尖峰,减少停电事故的发生,缩小了停电事故的影响范围,提升了配电系统的可靠性。
图5 某模拟年内的负荷响应情况
Fig. 5 Load response for a simulation year
2) 源荷双侧出力情况分析。
为分析柔性负荷与储能对系统运行的影响,本文综合考虑从主网购电、分布式新能源发电、储能出力以及柔性负荷响应等因素,图6以堆叠曲线图的形式展示了春夏秋冬四季典型日的源荷响应出力情况。
图6 四季典型日源荷响应情况
Fig. 6 Typical daily source load response for four seasons
可以看出,在负荷需求方面,由于电价政策的激励,柔性负荷用户用电行为发生转移,在白天的用电高峰时段用户负荷需求减少,在夜晚的用电低谷时段用户负荷需求增大,起到了削峰填谷的作用,有利于提高配电系统的可靠性;在电源出力方面,每日主要的出力来自于从主网侧购电,在白天光伏出力大幅增加,使得净负荷曲线呈现鸭嘴状,减小主网侧的压力,提高经济效益;在储能出力方面,在凌晨用电低谷或白天新能源大发时段,储能会通过从主网购买低价电或吸收新能源电量供储能充电,在晚高峰时段,储能充当灵活性资源,进行放电,可有效缓解用电高峰时系统的限电、切负荷现象。
不同季节下系统的源荷响应情况有所差异:春秋两季中可以利用的风电资源比较丰富,能够减少部分主网侧的购电需求,且在不使用储能装置的情况下就能满足负荷需求;夏季光伏资源充足,净负荷曲线呈现明显的鸭嘴状,需要储能作用提升新能源消纳比例;而冬季光伏资源匮乏,主网供电压力大,且负荷需求的峰谷差大于其他季节,因此需要利用储能装置调节负荷的峰谷差异。
综上所述,源荷响应互动能够实现电力系统的高效运行。源侧的储能设施与荷侧的柔性负荷响应相结合,在提高配电系统运行可靠性的同时,提高了系统运行的经济性。
3.2.3 设备检修对系统可靠性的影响
为验证检修编排模型的优化效果,对随机检修编排与优化检修编排2种检修策略下系统可靠性进行分析。
1) 分别对比表2中场景1与场景2,场景3与场景4,可以发现无论是否考虑源荷响应,按照检修优化排期执行检修工作系统的REENS、RMOP和Rloss指标均更优。例如,相较于场景1,场景2的REENS减少了约15.435%,RMOP减少了约15.433%,Rloss减少了约16.978%;与场景3相比,场景4的REENS减少了15.022%,RMOP减少了约15.025%,Rloss减少了约15.576%。这表明优化后的检修计划可以减小检修停电对系统可靠稳定运行的影响,验证了本文所提配电网检修策略优化模型的有效性。
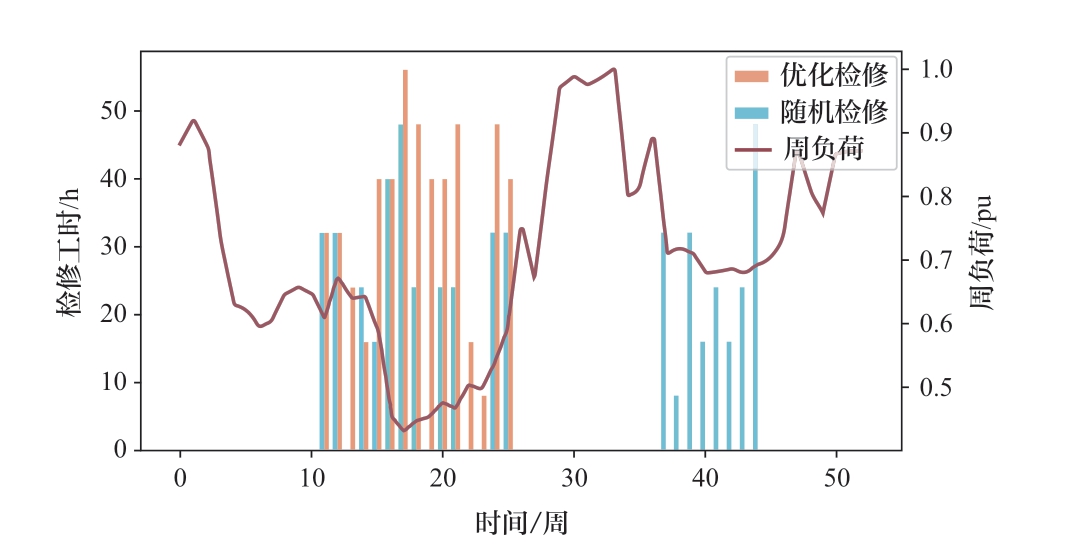
2)图7为不同检修策略下检修计划图,从图中可以看出随机检修策略的检修计划随机地分布在春季与秋季时段,而优化检修策略下系统的检修任务则主要集中在系统的低负荷时段,降低了线路检修停运对系统稳定运行的影响,有效降低了系统的电量不足期望值,提升了配电系统的可靠性。
图7 不同检修策略下检修计划图
Fig. 7 Maintenance plan under different maintenance strategies
4 结论与展望
随着新型电力系统的发展,将会有越来越多的新型分布式资源和需求响应加入配电系统,本文提出了一种考虑新型源荷及运维策略化的配电网可靠性评估方法,将所用方法应用到IEEE 69节点测试系统进行验证和分析,所得结论如下。
1)根据配电网检修工作的实际情况,通过算例分析可知:生成安全高效的检修策略,可以有效地减小配电网对系统可靠性的影响,提高电力系统可靠性,从而保证电力系统的正常运行。
2)本文通过搜集实际负荷数据,加入随机波动建立年度负荷曲线,同时将该地区的实际风、光发电数据,加入随机波动建立年度分布式发电资源出力曲线。此外根据用户行为,建立由分时电价和补偿电价调控的柔性负荷响应。最后考虑了发电侧和负荷侧的储能配置的优化调度模型。结果表明,源荷响应互动能够实现电力系统的高效运行。源侧的储能设施与荷侧的柔性负荷响应相结合,提高了配电系统的可靠性和经济性。
3)在改进的IEEE 69节点配电系统上考虑了检修策略,添加了分布式电源和柔性负荷响应,并对本文所提方法进行了验证,结果验证了所提方法的正确性。
在本文的基础上,未来的研究方向将致力于分析不同场景对可靠性评估的影响,其中包括检修延误、变压器与分布式电源的随机故障以及线路开关不完全可靠等复杂场景。讨论不同场景下电力系统的运维策略,从而提高配电系统在面对突发事件时的可靠性。
参考文献
- 
                                            [1]
                                            
刘凯诚,钟鸣,曾平良,等. 考虑分布式可再生电源和储能的智能配电网可靠性评估综述[J]. 电测与仪表,2021,58(7):1-11.LIU Kaicheng, ZHONG Ming, ZENG Pingliang, et al.Review on reliability assessment of smart distribution networks considering distributed renewable energy and energy storage[J]. Electrical Measurement & Instrumentation, 2021,58(7): 1-11(in Chinese). [百度学术]
 - 
                                            [2]
                                            
范馨予,黄媛,吴疆,等. 考虑源网荷储协同优化的配电网韧性提升策略[J]. 电力建设,2023,44(4):63-73.FAN Xinyu, HUANG Yuan, WU Jiang, et al. Resilience promotion strategy for distribution network considering source-network-load-storage coordination[J]. Electric Power Construction, 2023, 44(4): 63-73(in Chinese). [百度学术]
 - 
                                            [3]
                                            
吴任博,黄奕俊. 高比例可再生能源接入下含自愈性能的分布式配电网重构策略研究[J]. 发电技术,2024,45(5):975-982.WU Renbo, HUANG Yijun. Research on reconfiguration strategy of distributed distribution network with self-healing performance under high-proportion renewable energy access[J]. Power Generation Technology, 2024, 45(5): 975-982(in Chinese). [百度学术]
 - 
                                            [4]
                                            
蒋超凡,艾欣. 面向工业园区的综合能源系统协同规划方法研究综述[J]. 全球能源互联网,2019,2(3):255-265.JIANG Chaofan, AI Xin. Review on integrated energy system collaborative planning methods for industrial parks[J]. Journal of Global Energy Interconnection, 2019, 2(3): 255-265(in Chinese). [百度学术]
 - 
                                            [5]
                                            
马继洋,蔡永翔,唐巍,等. 考虑电动汽车参与韧性提升的配电网状态平滑切换控制策略[J]. 电力建设,2024,45(5):29-36.MA Jiyang, CAI Yongxiang, TANG Wei, et al. Enhancing distribution network resilience: electric vehicle integration in seamless state switching strategy[J]. Electric Power Construction, 2024, 45(5): 29-36(in Chinese). [百度学术]
 - 
                                            [6]
                                            
刘洪波,刘珅诚,盖雪扬,等. 高比例新能源接入的主动配电网规划综述[J]. 发电技术,2024,45(1):151-161.LIU Hongbo, LIU Shencheng, GAI Xueyang, et al. Overview of active distribution network planning with high proportion of new energy access[J]. Power Generation Technology, 2024,45(1): 151-161(in Chinese). [百度学术]
 - 
                                            [7]
                                            
张雷,刘琦,赵晓丽,等. 电力需求增长和负荷灵活性提升视角下的风光资源密集地区可再生能源消纳研究[J]. 全球能源互联网,2024,7(4):454-462.ZHANG Lei, LIU Qi, ZHAO Xiaoli, et al. Research on renewable energy penetration in wind and solar resourceintensive areas from the perspective of power demand growth and load flexibility enhancement[J]. Journal of Global Energy Interconnection, 2024, 7(4): 454-462(in Chinese). [百度学术]
 - 
                                            [8]
                                            
李振坤,黄滢,李谅,等. 计及需求侧响应的主动配电网多时间尺度优化调度[J]. 电力建设,2023,44(3):36-48.LI Zhenkun, HUANG Ying, LI Liang, et al. Multi-time scale optimal dispatching of active distribution network considering demand-side response[J]. Electric Power Construction, 2023,44(3): 36-48(in Chinese). [百度学术]
 - 
                                            [9]
                                            
冀肖彤,杨东俊,方仍存,等. “双碳” 目标下未来配电网构建思考与展望[J]. 电力建设,2024,45(2):37-48.JI Xiaotong, YANG Dongjun, FANG Rengcun, et al. Research and prospect of future distribution network construction under dual carbon target[J]. Electric Power Construction, 2024,45(2): 37-48(in Chinese). [百度学术]
 - 
                                            [10]
                                            
董昱,孙大雁,许丹,等. 新型电力系统电力电量平衡的挑战、应对与展望[J]. 中国电机工程学报,2025,45(6):2039-2057.DONG Yu, SUN Dayan, XU Dan, et al. Challenges, response and prospects for power balance in new power systems[J].Proceedings of the CSEE, 2025, 45(6): 2039-2057(in Chinese). [百度学术]
 - 
                                            [11]
                                            
HEMMATI R, SABOORI H, JIRDEHI M A. Stochastic planning and scheduling of energy storage systems for congestion management in electric power systems including renewable energy resources[J]. Energy, 2017, 133: 380-387. [百度学术]
 - 
                                            [12]
                                            
宁可儿,刘俊杉,张超逸,等. 考虑光伏消纳的配电网储能与直流选址定容协同规划[J]. 全球能源互联网,2023,6(1):45-53.NING Keer, LIU Junshan, ZHANG Chaoyi, et al. Coordinated planning of distribution grid energy storage and DC siting and sizing considering photovoltaic consumption[J]. Journal of Global Energy Interconnection, 2023, 6(1): 45-53(in Chinese). [百度学术]
 - 
                                            [13]
                                            
王晗,徐潇源,严正. 考虑柔性负荷的多目标安全约束机组组合优化模型及求解[J]. 电网技术,2017,41(6):1904-1912.WANG Han, XU Xiaoyuan, YAN Zheng. Multi-objective optimization of security constrained unit commitment model and solution considering flexible load[J]. Power System Technology, 2017, 41(6): 1904-1912(in Chinese). [百度学术]
 - 
                                            [14]
                                            
杨悦,宋良泰. 考虑用户需求响应的空调负荷日前-实时聚合调控[J]. 全球能源互联网,2023,6(5):529-537.YANG Yue, SONG Liangtai. Day ahead and real time aggregate regulation of air conditioning load on demand response[J]. Journal of Global Energy Interconnection, 2023,6(5): 529-537(in Chinese). [百度学术]
 - 
                                            [15]
                                            
GU Y Z, XIE L. Look-ahead dispatch with forecast uncertainty and infeasibility management[C]//2012 IEEE Power and Energy Society General Meeting. July 22-26, 2012, San Diego,CA, USA. IEEE, 2012: 1-7. [百度学术]
 - 
                                            [16]
                                            
GENG K L, AI X, LIU B. A two-stage scheduling optimization model and corresponding solving algorithm for power grid containing wind farm and energy storage system considering demand response[J]. DEStech Transactions on Engineering and Technology Research, 2017. [百度学术]
 - 
                                            [17]
                                            
王晗,徐潇源,严正,等. 随机源-荷影响下配电网运行不确定性量化理论方法与应用展望[J]. 全球能源互联网,2022,5(3):230-241.WANG Han, XU Xiaoyuan, YAN Zheng, et al. Theoretical methods and application prospects for uncertainty quantification in distribution network operation under the influence of stochastic source-load[J]. Journal of Global Energy Interconnection, 2022, 5(3): 230-241(in Chinese). [百度学术]
 - 
                                            [18]
                                            
唐伟宁,张俊勃. 考虑计划冲突的电网停电计划排期方法[J]. 电网技术,2023,47(1):360-368.TANG Weining, ZHANG Junbo. Conflict-considered outage scheduling of power grid[J]. Power System Technology, 2023,47(1): 360-368(in Chinese). [百度学术]
 - 
                                            [19]
                                            
袁修广,黄纯,张磊,等. 计及微网孤岛运行方式的配电网可靠性评估[J]. 电网技术,2015,39(3):690-697.YUAN Xiuguang, HUANG Chun, ZHANG Lei, et al.Reliability evaluation of distribution network considering islanded operation of microgrid[J]. Power System Technology,2015, 39(3): 690-697(in Chinese). [百度学术]
 - 
                                            [20]
                                            
赵洪山,赵航宇. 考虑元件故障率变化的配电网可靠性评估[J]. 电力系统保护与控制,2015,43(11):56-62.ZHAO Hongshan, ZHAO Hangyu. Distribution system reliability analysis considering the elements failure rate changes[J]. Power System Protection and Control, 2015,43(11): 56-62(in Chinese). [百度学术]
 - 
                                            [21]
                                            
李阳洋,关轶文,赵佳琪,等. 基于优化模型的有源配电网可靠性评估方法[J]. 中国电机工程学报,2023,43(8):2931-2940.LI Yangyang, GUAN Yiwen, ZHAO Jiaqi, et al. Reliability evaluation method of active distribution network based on optimization model[J]. Proceedings of the CSEE, 2023, 43(8):2931-2940(in Chinese). [百度学术]
 - 
                                            [22]
                                            
王守相,高嘉佐,赵倩宇,等. 计及故障重构与信息约束的有源配电网短期可靠性评估方法[J]. 电力自动化设备,2023,43(10):79-86.WANG Shouxiang, GAO Jiazuo, ZHAO Qianyu, et al. Shortterm reliability assessment method of active distribution network considering fault reconfiguration and cyber constraints[J]. Electric Power Automation Equipment, 2023,43(10): 79-86(in Chinese). [百度学术]
 - 
                                            [23]
                                            
杜嫣然,杨帆,王颖,等. 基于数据拟合的配电网线性运行约束建模方法[J]. 全球能源互联网,2022,5(3):242-250.DU Yanran, YANG Fan, WANG Ying, et al. Linear operation constraint modeling method in distribution networks based on data fitting[J]. Journal of Global Energy Interconnection, 2022,5(3): 242-250(in Chinese). [百度学术]
 - 
                                            [24]
                                            
王睿,孙秋野,胡伟,等. 面向“碳达峰、碳中和” 的新型电力系统的潮流计算[J]. 全球能源互联网,2022,5(5):439-446.WANG Rui, SUN Qiuye, HU Wei, et al. Power flow calculation of new power system for carbon peaking and carbon neutralization[J]. Journal of Global Energy Interconnection,2022, 5(5): 439-446(in Chinese). [百度学术]
 - 
                                            [25]
                                            
乔骥,卢泓睿,李更丰,等. 城区配电系统自适应鲁棒应急检修计划编排方法[J]. 全球能源互联网,2024,7(5):492-498.QIAO Ji, LU Hongrui, LI Gengfeng, et al. Adaptive robust emergency maintenance planning for urban power distribution systems[J]. Journal of Global Energy Interconnection, 2024,7(5): 492-498(in Chinese). [百度学术]
 - 
                                            [26]
                                            
MIRSAEEDI H, FEREIDUNIAN A, MOHAMMADIHOSSEININEJAD S M, et al. Electricity distribution system maintenance budgeting: a reliability-centered approach[J].IEEE Transactions on Power Delivery, 2018, 33(4): 1599-1610. [百度学术]
 - 
                                            [27]
                                            
栗然,王飞飞,李增辉. 基于风险评估的配电网检修决策优化[J]. 电力自动化设备,2013,33(11):1-8.LI Ran, WANG Feifei, LI Zenghui. Maintenance decision making optimization based on risk assessment for distribution system[J]. Electric Power Automation Equipment, 2013,33(11): 1-8(in Chinese). [百度学术]
 - 
                                            [28]
                                            
周福举,荆江平,马智刚,等. 计及源网荷储协同的有源配电网检修计划两阶段随机优化模型[J]. 智慧电力,2024,52(11):64-71.ZHOU Fuju, JING Jiangping, MA Zhigang, et al. Two-stage stochastic optimization model for active distribution network maintenance plan considering source-network-load-storage coordination[J]. Smart Power, 2024, 52(11): 64-71(in Chinese). [百度学术]
 - 
                                            [29]
                                            
黄弦超,张粒子,舒隽,等. 配电网检修计划优化模型[J].电力系统自动化,2007,31(1):33-37.HUANG Xianchao, ZHANG Lizi, SHU Jun, et al. Maintenance schedule optimization model in distribution systems[J]. Automation of Electric Power Systems, 2007, 31(1): 33-37(in Chinese). [百度学术]
 - 
                                            [30]
                                            
许丹,罗治强,李旻,等. 考虑安全约束及电量执行的年度发电与检修联合优化模型[J]. 电力系统保护与控制,2019,47(17):133-139.XU Dan, LUO Zhiqiang, LI Min, et al. A combined optimization model for annual generation and maintenance scheduling considering safety constraints and power execution[J]. Power System Protection and Control, 2019,47(17): 133-139(in Chinese). [百度学术]
 - 
                                            [31]
                                            
王正宇,金尧,蒋传文,等. 考虑光伏储能和可控负荷的配电网检修计划优化[J]. 电网与清洁能源,2015,31(11):74-82.WANG Zhengyu, JIN Yao, JIANG Chuanwen, et al.Maintenance schedule optimization in distribution network with consideration of photovoltaic system with energy storage and controllable load[J]. Power System and Clean Energy,2015, 31(11): 74-82(in Chinese). [百度学术]
 - 
                                            [32]
                                            
谢学渊,刘潇潇,李超,等. 考虑分布式电源和电动汽车集群调度的配电网络重构[J]. 中国电力,2023,56(1):119-125.XIE Xueyuan, LIU Xiaoxiao, LI Chao, et al. Distribution network reconfiguration considering distributed generation and electric vehicle cluster scheduling[J]. Electric Power, 2023,56(1): 119-125(in Chinese). [百度学术]
 - 
                                            [33]
                                            
叶宇鑫,李更丰,别朝红,等. 考虑智能软开关的有源配电网恢复力评估与提升[J]. 全球能源互联网,2022,5(3):203-212.YE Yuxin, LI Gengfeng, BIE Zhaohong, et al. Resilience assessment and improvement of active distribution networks considering soft open point[J]. Journal of Global Energy Interconnection, 2022, 5(3): 203-212(in Chinese). [百度学术]
 - 
                                            [34]
                                            
王建军,茹伟,施光南,等. 考虑智能软开关的配电网检修运行协同决策[J]. 哈尔滨理工大学学报,2024,29(2):85-93.WANG Jianjun, RU Wei, SHI Guangnan, et al. Collaborative optimization decision of distribution network reconfiguration and maintenance considering soft switching[J]. Journal of Harbin University of Science and Technology, 2024, 29(2): 85-93(in Chinese). [百度学术]
 - 
                                            [35]
                                            
DING T, LI F X, LI X, et al. Interval radial power flow using extended DistFlow formulation and Krawczyk iteration method with sparse approximate inverse preconditioner[J]. IET Generation, Transmission & Distribution, 2015, 9(14): 1998-2006. [百度学术]
 - 
                                            [36]
                                            
DING T, LIN Y L, LI G F, et al. A new model for resilient distribution systems by microgrids formation[J]. IEEE Transactions on Power Systems, 2017, 32(5): 4145-4147. [百度学术]
 - 
                                            [37]
                                            
梁硕哲,唐昊,王正风,等. 计及源荷双侧弹性资源的区域电网鲁棒优化调度[J]. 现代电力,2024,41(4):601-611.LIANG Shuozhe, TANG Hao, WANG Zhengfeng, et al.Robust optimal dispatch of regional power grid considering flexible resources on both source and load sides[J]. Modern Electric Power, 2024, 41(4): 601-611(in Chinese). [百度学术]
 - 
                                            [38]
                                            
李昂,何嘉泰,李海波,等. 面向新能源消纳的需求侧灵活性资源聚合响应分析[J]. 电网与清洁能源,2024,40(3):147-154.LI Ang, HE Jiatai, LI Haibo, et al. An aggregated response analysis of demand-side flexible resources for renewable energy accommodation[J]. Power System and Clean Energy,2024, 40(3): 147-154(in Chinese). [百度学术]
 - 
                                            [39]
                                            
孙万通,陈众,陈慧霞,等. 考虑负荷特性的光伏消纳能力的模拟与评估[J]. 太阳能学报,2024,45(4):475-481.SUN Wantong, CHEN Zhong, CHEN Huixia, et al. Simulation and evaluation of photovoitaic absorption capacity considering load characterristics[J]. Acta Energiae Solaris Sinica, 2024,45(4): 475-481(in Chinese). [百度学术]
 - 
                                            [40]
                                            
董晓红,孔华志,丁飞,等. 考虑电池老化的电动汽车中长期充电负荷预测方法[J]. 电力系统自动化,2024,48(13): 109-119.DONG Xiaohong, KONG Huazhi, DING Fei, et al. Mediumand long-term charging load forecasting method for electric vehicles considering battery aging[J]. Automation of Electric Power Systems, 2024, 48(13): 109-119(in Chinese). [百度学术]
 
基金项目
中国南方电网有限责任公司科技项目(030115KK52222003/GDKJXM20222018)。
Technical Projects of China Southern Power Grid Corporation(030115KK52222003/GDKJXM20222018).
