相关论文:
- 
                                    
                                 - 
                                    
全球能源互联网
第8卷 第5期 2025年09月;页码:542-551 
面向零碳建筑的多维度综合评价方法
Multi-dimensional Comprehensive Evaluation Method for Zero Carbon Buildings
- 1. 广西电网有限责任公司,广西壮族自治区 南宁市 530023
 - 2. 智能配用电装备与系统全国重点实验室(天津大学),天津市 南开区 300072
 - 3. 天津市智慧能源与信息技术重点实验室(天津大学),天津市 南开区 300072
 
- CHEN Zhijun1, LI Zhige1*, QIN Huiling1, HE Chengyu1, WANG Dan2,3 (1. Guangxi Power Grid Co., Ltd., Nanning 530023, Guangxi Zhuang Autonomous Region, China
 - 2. State Key Laboratory of Intelligent Power Distribution Equipment and System (Tianjin University, Nankai District 300072, Tianjin, China
 - 3. Key Laboratory of Smart Energy & Information Technology of Tianjin Municipality (Tianjin University,Nankai District 300072, Tianjin, China
 
关键词
Keywords
摘 要
Abstract
为实现电力行业低碳转型目标,提出一种面向零碳供电所的多维度综合评价方法。通过分析外部政策、技术发展、地理环境、经济发展及社会认知等影响因素,构建包含清洁能源发电、终端负荷用电、建筑系统等8类一级指标和42个二级指标的综合评价体系。指标权重计算方面,结合熵权法与改进CRITIC法,更加全面地挖掘指标的信息无序性、数据离散程度和相关性等特征,采用平均差均值比替代标准差衡量指标变异性,降低数据分布偏倚的影响。方案评价方面,引入耦合协调度改进传统VIKOR法,通过量化指标间协同效应实现决策过程的优化。通过对中国南方地区某零碳供电所实际工程案例进行分析,验证了改进CRITIC法处理指标数据分布偏倚的优势,以及改进VIKOR法反映指标协同效应的优势,并针对较差方案提出改进措施。研究结果为推动零碳供电所建设提供了科学依据,并为电力系统低碳化路径优化提出了可操作的改进措施。
To achieve the goal of low-carbon transformation in the power industry, a multidimensional comprehensive evaluation method for zero carbon buildings is proposed.By analyzing external policies, technological development,geographical environment, economic development, and social cognition, a comprehensive evaluation system is constructed that includes eight categories of primary indicators and 42 secondary indicators, including clean energy generation, terminal load electricity consumption, building systems, etc.. In terms of indicator weight calculation, the entropy weight method and improved CRITIC method are combined to comprehensively explore the characteristics of indicator information disorder, data dispersion, and correlation. The mean to average ratio is used to measure indicator variability and reduce the impact of data distribution bias instead of the standard deviation. In terms of scheme evaluation, coupling coordination degree is introduced to improve the traditional VIKOR method, and the optimization of the decision-making process is achieved by quantifying the synergistic effects between indicators. Through the analysis of an actual engineering case of a zero carbon power supply station in southern China, the advantages of improving CRITIC method to handle the distribution bias of indicator data and improving VIKOR method to reflect the synergistic effect of indicators were verified, and improvement measures were proposed for poor schemes. The research results provide scientific basis for promoting the construction of zero carbon power supply stations and propose feasible improvement measures for optimizing the low-carbon path of the power system.
0 引言
“双碳”目标对现有的生产、消费和行为方式提出了更高的要求,降低电力等能源部门的碳排放量[1],是实现“双碳”目标的关键所在。供电所是电网中重要的供电和耗能建筑,构建面向零碳供电所的多维度综合评价体系,对于推动能源低碳化转型、实现“双碳”目标具有重要意义。该评价体系综合多个维度的零碳评价指标,科学衡量供电所的碳排放水平,并促进供电所的绿色发展和精准定位减排空间[2]。
零碳供电所多维度综合评价是一个典型的多属性决策问题[3],多属性决策是运筹学与系统工程领域的重要分支,核心目标是通过对备选方案的多个属性(指标)进行综合评价,实现方案排序或优选。关键是确定各指标的权重,因为指标权重直接影响评价结果的准确性与可靠性,反映了不同指标在综合评价中的相对重要程度,合理确定权重能够更科学地衡量零碳供电所的建设水平。目前有多种方法可用于指标权重计算,主观赋权法(如层次分析法[4]、德尔菲法[5])通过专家经验量化属性权重,适用于属性间关系模糊的定性问题,但存在主观偏差风险;客观赋权法(如熵权法[6]、CRITIC法[7])基于数据离散度与相关性计算权重,具有较强的数学严谨性。CRITIC法是一种科学有效的多指标综合评价权重确定方法,通过结合相关系数和信息量对各指标的重要性进行量化分析,从数据离散程度和相关性角度出发,实现客观合理的权重分配。
文献[8]利用CRITIC法对指标赋权,构建多元线性综合评价体系。文献[9-10]将层次分析法计算得到的主观权重和CRITIC法计算得到的客观权重相结合,得到评价指标的综合权重。文献[11]提出了一种基于灰色群组聚类和CRITIC法组合赋权的权重计算模型。文献[12]结合CRITIC法和熵值法进行组合赋权,计算指标权重。文献[13-14]结合CRITIC法和熵权法进行组合赋权,计算指标权重。上述权重计算方法均使用标准差或平均差计算指标的信息量,会受到数据中极端值或异常值的影响,导致信息量的计算精度降低。本文采用平均差均值比[15]替代标准差或平均差,降低了指标数据分布偏倚对指标变异性的影响,提高了指标信息量计算的准确性,并采用CRITIC法和熵权法组合赋权计算指标权重,可以更全面地挖掘数据中的各种特征。
指标权重确定后,关键是利用权重对不同方案进行科学全面地综合评价。合理的评价方法能够准确反映各方案的优劣程度,为决策者提供有力依据。逼近理想解排序法[16]通过计算方案与正/负理想解的欧氏距离进行排序,能够直观反映方案的优劣程度但对数据标准化方法比较敏感。消去与选择转化法[17]引入优势关系与否决阈值处理非补偿性问题,尤其适用于存在属性冲突的决策场景。偏好排序组织法[18]利用偏好函数构建流动关系矩阵,支持不完全序关系下的方案分级。VIKOR法作为一种有效的多属性决策方法[19],在复杂决策场景中具有显著优势,能够同时兼顾群体效用最大化和个体遗憾最小化这2个重要方面。在零碳供电所方案评价中,群体效用体现为整体建设目标的达成程度,涵盖清洁能源利用、碳排放控制、能源管理效率等多个维度;个体遗憾则反映了待评价方案与理想方案之间在各个指标上的差距,通过平衡群体效用和个体遗憾,VIKOR法能够为决策者提供更具合理性和可接受性的决策结果。
文献[20]提出基于模糊理论的多准则决策方法。文献[21]基于对偶犹豫模糊集与模糊测度的概念,提出考虑指标间相互作用的改进妥协解排序法。文献[22]将VIKOR法与考虑可信度的犹豫模糊信息相结合,提出考虑可信度的犹豫模糊VIKOR多属性决策模型。文献[23]提出了一种新的基于三角散度的距离测度,对VIKOR方法进行改进。上述VIKOR法虽然能够进行评价方案排序,但其结果主要基于静态的、独立的指标评估,无法捕捉到系统中潜在的动态变化或协同优化的效果。本文引入耦合协调度[24-26]改进传统VIKOR法,通过量化指标间协同效应实现决策过程的优化。
本文深入分析影响零碳供电所建设的各类因素,选取8类评价指标构建综合评价体系。在指标权重确定环节,采用平均差均值比替代标准差或平均差衡量指标变异性,提出了改进的CRITIC法,并与熵权法相结合对指标进行权重赋值,降低了数据分布偏倚对权重计算的影响,使权重分配更加客观合理;在方案评价环节,引入耦合协调度以改进传统VIKOR方法,通过量化指标间的相互作用关系以实现决策过程的优化,能够更准确地反映各方案的优劣程度。最后通过中国南方地区某零碳供电所项目算例分析,采用指标数据仿真验证所提方法的优势,并针对较差方案提出切实可行的改进措施。
1 零碳供电所多维度综合评价体系构建
近几年国家和地方性机构从不同需求角度发布了若干对于零碳建筑的设计和评价的指导性文件[27-29],可以看出零碳供电所综合评价体系受多种因素的影响,诸如地理环境、外部政策、技术发展水平、经济发展水平、社会认知与参与度等等。
综合考虑上述影响因素,零碳供电所多维度综合评价体系选取8类一级指标,分别为:清洁能源发电、终端负荷用电、建筑系统、零碳管控平台、碳增汇、低碳氛围营造、安全管理、额外加分项。以上8类一级指标可视为二级指标的分类,不需要取值分析,具体二级指标含义及计算方法见附表A1。
考虑到本文所针对的零碳供电所评价是一个典型的多属性决策问题,因此本文采用基于CRITIC法的指标权重计算和VIKOR法进行方案评价。后续关于指标权重的确定和方案的评价均是基于指标体系内的二级指标进行的。
2 基于熵权法-改进CRITIC法的指标权重方法
基于CRITIC法的多指标综合评价权重确定是一种科学有效的指标权重分配方法。该方法通过结合各类数据的相关系数和信息量对各指标的重要性进行量化分析,从而实现了客观合理的权重分配。在实际应用中,CRITIC法可以与熵权法相结合,熵权法从信息无序性角度出发,CRITIC法从数据离散程度和相关性角度出发,二者结合可以更全面地挖掘数据中的各种特征。
2.1 构造原始决策矩阵及标准化操作
本文以零碳供电所综合评价指标体系为例,假设有m个评估方案,n个评价指标,将第i个供电所评估方案,第j个评价指标Xij构成原始决策矩阵X=(Xij)m×n。
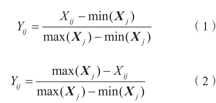
本文选取Min-Max归一化法,该方法将原始数据按比例缩放,使之落入一个小的特定区间,通常是[0, 1]或[-1, 1]。
正向型和负向型评价指标标准化的计算方法分别如下。

式中:Yij表示经过标准化处理后的第i个方案的第j项指标的数值;Xij表示第i个方案的第j项指标的初始数据值;max(Xj)表示所有方案中,第j项指标的最大值;min(Xj)表示所有方案中,第j项指标的最小值。标准化处理后矩阵记为Y=(Yij)m×n。
2.2 基于平均差均值比的指标变异性计算
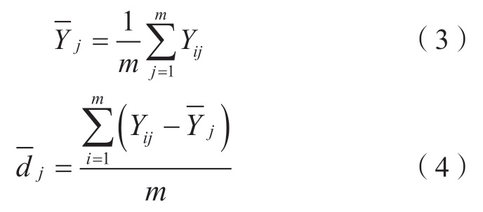
首先确定指标变异性参数,本文使用式 (3)—(5)所描述的平均差均值比代替传统的标准差,来衡量指标变异性,使其能够更好地消除数据分布偏倚对比较结果的影响[14]。

式中:
表示m个方案中,第j个指标的平均值;
表示m个方案中,第j个指标的平均差。平均差均值比可定义如下:

然后结合熵权法,确定指标信息熵,可定义如下:

式中:ej表示第j个指标的信息熵。
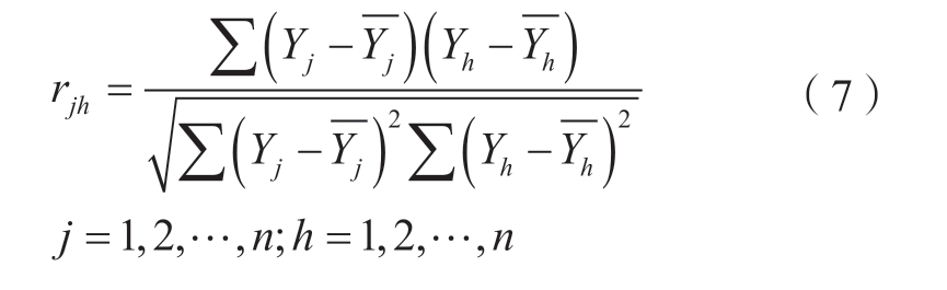
同时,需要确定CRITIC方法中得到指标冲突性参数,首先计算指标相关性系数。

式中:rjh表示第j个指标与第h个指标的相关系数,相关系数矩阵可定义为R=( rjh)n× n。Yj第m个方案中,第j个指标的标准化处理后的数值。Yh为m个方案中,第h个指标的标准化处理后的数值。
为m个方案中,第h个指标的标准化处理后的平均值。进而可以计算指标冲突性参数如下:
式中:Lj表示第j个指标的冲突性参数。
2.3 指标信息量和权重计算
结合式(5)—(6),将平均差均值比与信息熵相加获得指标变异性参数,该参数能够把基于信息论的无序性度量和基于统计的离散程度度量结合起来,全面地描述指标数据变异性。
式中:Vj表示第j个指标的变异性参数。
获得指标变异性参数之后,再与第j个指标的冲突性参数相乘,综合考虑这2方面来全面衡量指标的信息量,更准确地确定每个指标在综合评价中的重要程度,为合理分配指标权重提供依据,使得最终的评价结果更能真实地反映各指标所包含的有效信息以及它们在整体评价中的作用,如式 (10) 所示:

式中:Ij为第j个指标信息量,最后确定指标权重如式(11) 所示:

式中:ωj为第j项指标的客观权重。
3 基于耦合协调度的VIKOR法进行多属性决策评价
传统的VIKOR法核心思想是通过多标准综合评价,帮助决策者在复杂环境中找到最佳或折衷的解决方案。该方法虽然能够根据指标权重计算出各方案的距离,但其结果主要基于静态的、独立的指标评估,无法捕捉到系统中潜在的动态变化或协同优化的效果。
本文采用耦合协调度评估各个指标间的协调发展水平,该值越大则表示指标间的协调发展程度越高。设定某一权重阈值,选择高于该阈值的指标计算耦合协调度,并引入到传统VIKOR法最优方案距离的计算中,对方案优劣排序过程进行有效干预,衡量被选择指标之间的相互影响程度,反映系统内部的协同效应或制约关系。从而可进一步识别被选择指标中哪些对实现方案整体目标具有更强的协同作用。
3.1 计算指标正负理想解
针对2.1节描述的原始决策矩阵X=(Xij)m×n进行平方和归一化处理,得到矩阵X*=(Xij*)m×n。从而确定指标的正负理想解。

式中:
分别为指标j正、负理想解。
3.2 计算耦合协调度
设定某一权重阈值,选择高于该阈值的指标1到指标n,首先计算所有待评价方案的耦合度。

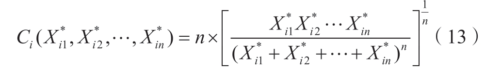
式中:Ci为方案i的耦合度;
为方案i中被选择指标j平方和归一化处理后的数值。然后确定方案的协调指数。
式中:Ti为方案i的协调指数。最后确定方案的耦合协调度。
式中:Di为方案i的耦合协调度。
3.3 确定最优方案距离之和与最大值
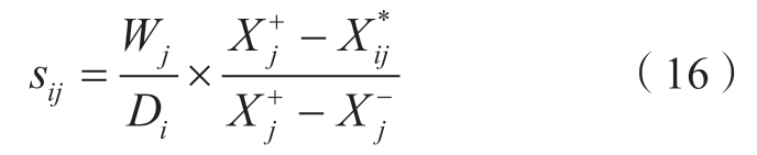
定义最优方案距离,用于衡量每个方案与理论上最理想方案的接近程度,将上述耦合协调度引入到最优方案距离计算之中。

式中:sij为方案i的指标j与最优方案的距离。
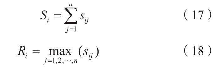
最后,确定最优方案距离之和、最优方案距离最大值如式 (17)—(18) 所示。

式中:Si为方案i最优方案距离之和;Ri为方案i最优方案距离最大值。
3.4 待评价方案排序
最后,计算VIKOR指数,它反映了每个待评价方案在所有方案中的相对位置和优劣程度,能够为决策者提供全面综合的决策依据。

式中:Qi为VIKOR指数;µ为决策机制系数,该值介于[0,1]之间。µ一般取0.5,意味着在决策过程中,对群体效用和个体遗憾给予了同等的重视程度。即该指数既考虑了整个方案群体的整体利益和满意度,也兼顾了每个方案个体与理想方案之间的差距和遗憾。
基于VIKOR指数对所有待评价方案进行排序,VIKOR指数越小,方案排序越优。
4 算例分析
4.1 基态方案和二级指标计算结果
本文以中国广西壮族自治区某零碳供电所为实证案例,基于调研获取的历史数据以及走访建设者获取到的未来供电所建设目标,形成了3种不同阶段的零碳供电所指标集,视为3种基态方案指标集。附表A2描述了这3种基态方案的二级指标计算结果,其中每种基态方案细节如下:
1) 方案1代表早期该供电所未进行碳流监测分析,导致供电所碳排放量较大的方案;
2) 方案2代表目前该供电所通过碳流监测分析,做到零碳运行的方案;
3) 方案3代表未来该供电所实现零碳、经济、高效运行时的方案。
4.2 基态方案评价结果分析
对二级指标计算结果进行标准化处理,即正向化处理、负向化处理、非负平移、归一化处理,标准化处理后数据如附表A3所示。按照上述熵权法-改进CRITIC法计算指标权重如附表A4所示。
按照确定好的权重,基于耦合协调度的VIKOR法对3个基态方案进行多属性决策评价。设定权重阈值为0.029,高于该阈值有6个指标,选取该6个指标计算基态方案的耦合协调度,基态方案所有指标最优方案距离见附表A5。基态方案的耦合协调度D、最优方案距离之和S、最优方案距离最大值R、VIKOR指数Q见表1。
表1 基态方案的耦合协调度和最优方案距离排序(改进VIKOR法)
Table 1 Coupling coordination degree of ground state schemes and distance ranking of optimal schemes (improved VIKOR method)
耦合协调度 S R Q方案1 0.260 3.838 0.202 1.000方案2 0.320 1.055 0.136 0.474方案3 0.390 0 0 0
由表1可以看出,基于VIKOR指数Q越小,方案排序越优的原则,待评价方案的优劣排序为:方案3优于方案2优于方案1。
4.3 改进CRITIC法与传统CRITIC法对比
下面以基态方案二级指标中“上网卖出绿电电量”指标为例,说明改进CRITIC法中使用平均差均值比代替标准差衡量指标的变异性,可以降低指标数据分布偏倚对指标变异性的影响。
对于指标数据呈现偏态分布时,可分为正偏态分布和负偏态分布2种情况,偏态系数[30]是描述数据分布偏态性的统计量,用于衡量数据分布的不对称程度。当数据分布为正偏态时,其分布形态表现为大部分数据集中在左侧(较小值区域),而在右侧(较大值方向)有少数较大的数据点,此时偏态系数大于0;负偏态分布与正偏态分布正好相反,其形态表现为大部分数据集中在右侧(较大值区域),而在左侧(较小值方向)存在一些较小的数据点,此时偏态系数小于0。
针对“上网卖出绿电电量”指标,在方案样本库中选取60个方案样本,构成不同偏态系数下的指标数据集,如表2所示。
表2 不同偏态系数下的指标数据集
Table 2 Indicator datasets with different skewness coefficients kWh
样本序号满足正偏态指标数据集样本序号满足负偏态指标数据集样本序号满足较大正偏态指标数据集1 10 21 10 41 10 2 10 22 300 42 10 3 10 23 300 43 10 4 10 24 300 44 10 5 10 25 300 45 10 6 10 26 300 46 10 7 10 27 300 47 10 8 10 28 300 48 10 9 10 29 300 49 10
续表
样本序号满足正偏态指标数据集样本序号满足负偏态指标数据集样本序号满足较大正偏态指标数据集10 10 30 300 50 10 11 10 31 300 51 10 12 10 32 300 52 10 13 10 33 300 53 10 14 10 34 300 54 10 15 10 35 300 55 10 16 10 36 300 56 10 17 10 37 300 57 10 18 10 38 300 58 10 19 10 39 300 59 10 20 25 40 300 60 2500
指标数据集的标准差和平均差均值比对比如表3所示,负偏态系数下指标数据集的标准差较正偏态系数下指标数据集的标准差增大18.33倍,而负偏态系数下指标数据集的平均差均值比较正偏态系数下指标数据集的平均差均值比仅降低27%;较大正偏态系数下指标数据集的标准差较正偏态系数下指标数据集的标准差增大165倍,较大正偏态系数下指标数据集的平均差均值比较正偏态系数下指标数据集的平均差均值比仅增大12.27倍。综合上述对比,使用平均差均值比代替标准差衡量指标的变异性,可以显著降低指标数据分布偏倚对指标变异性的影响。
表3 指标数据集的标准差和平均差均值比对比
Table 3 Comparison of standard deviation and mean deviation to mean ratio of indicator datasets
注:标准差变化率和平均差均值比变化率均以正偏态系数(基准)的指标数据集为基准。
正偏态系数 负偏态系数 较大的正偏态系数标准差 3.35 64.84 556.78平均差均值比 0.13 0.09 1.75标准差变化率 0/基准 18.33 165.00平均差均值比变化率 0/基准 -0.27 12.27
4.4 改进VIKOR与传统方法对比
4.4.1 2种方法计算结果
为了验证考虑耦合协调度的VIKOR法相比于传统方法的优势,构造另外3组待评价方案4、5、6以及对应的二级评价指标集合,指标取值相对于原有基态方案随机性更大,方案4、5、6的二级指标原始数据见附表A6。采用4.2节计算得到指标权重,分别使用基于耦合协调度的VIKOR法和传统VIKOR法对方案4、5、6进行多属性决策评价。2种方法对原始指标进行平方和归一化处理后,求得各二级指标的正负理想解见附表A7。
对于传统VIKOR法,所有指标最优方案距离见附表A8。各评价方案的最优方案距离之和S、最优方案距离最大值R、VIKOR指数Q见表4。
表4 各评价方案的最优方案距离排序(传统VIKOR法)
Table 4 The optimal distance ranking of each evaluation scheme(traditional VIKOR method)
序号 S R Q方案4 0.510 0.052 1.000方案5 0.410 0.043 0.195方案6 0.466 0.037 0.277
由表4可以看出,基于VIKOR指数Q越小,方案排序越优的原则,待评价方案的优劣排序为:方案5优于方案6优于方案4。
对于改进VIKOR法,设定权重阈值为0.029,高于该阈值有6个指标,选取该6个指标计算评价方案的耦合协调度,所有二级指标最优方案距离见附表A9。各评价方案的耦合协调度D、最优方案距离之和S、最优方案距离最大值R、VIKOR指数Q见表5。
表5 各评价方案的耦合协调度和最优方案距离排序(改进VIKOR法)
Table 5 The coupling coordination degree and optimal solution
distance ranking of each evaluation scheme (improved VIKOR method)
序号 耦合协调度 S R Q方案4 0.274 2.277 0.192 1.000方案5 0.314 1.305 0.138 0.364方案6 0.388 0.904 0.097 0
根据式 (16) 可知,评价方案的耦合协调度越大,该方案的各个二级指标与最优方案的距离越小。基于VIKOR指数Q越小,方案排序越优的原则,待评价方案的优劣排序为:方案6优于方案5且方案5优于方案4。
4.4.2 2种评价方法对比分析
对比2种评价方法,差异在于方案6和方案5的排序,而方案4均为最差方案。方案6与方案5在评价中排序不同,主要源于二级指标原始数据差异和耦合协调度反映的协同差异。
4.4.2.1 二级指标原始数据差异
1)清洁能源发电指标。方案6的风力发电占比达30.92%,远高于方案5的15.45%,意味着方案6能更多地利用风能清洁能源进行发电,减少对传统能源的依赖,从而降低碳排放。方案6每月供电周期内风机发电平均日利用小时数为5.15 h,大于方案5的3.76 h,表明方案6中风电机组每日实际运营效率更高,风能转化为电能的量更多,进一步提升了清洁能源的产出[31]。
2)终端负荷用电指标。在新能源汽车比例和双向充电桩设施比例上,方案6均为100%,而方案5分别为90%和80%。表明方案6在推广新能源汽车应用和配套设施建设方面更为出色,不仅有利于减少供电所内传统燃油汽车的使用,降低碳排放,还能通过双向充电桩提高能源利用效率,实现车与电网之间的能量双向流动。同时,方案6的建筑直流用电比例为52.32%,高于方案5的50.89%,且建筑交流用电比例为47.68%,低于方案5的49.11%。由于直流电相比交流电具有更高的能源传输效率和更少的能源损失,方案6的用电比例结构更有利于提高能源利用效率,减少能源浪费和碳排放。
3)零碳管控平台指标:方案6上网卖出绿电电量为1860 kW,大幅高于方案5的370 kW,这体现出方案6在可再生能源利用和绿电销售方面优势明显,能够将更多的绿色电力输送到电网,为实现零碳目标做出更大贡献。方案6的上级电网碳势为0.4 kg/kWh,低于方案5的0.5 kg/kWh,说明方案6使用的电网电力碳排放强度更低,在获取外部电力时对环境的影响更小。
4.4.2.2 耦合协调度反映的协同差异
1)上网卖出绿电电量(二级指标)反映了供电所可再生能源发电的剩余量及对外输送清洁电力的能力,建筑能耗节约率(二级指标)体现建筑节能水平。当上网卖出绿电电量增多,意味着供电所利用可再生能源发电充足,而建筑能耗节约率提高,则减少了建筑自身能源消耗。在方案6中,大量的绿电产出配合较低的建筑能耗,多余的绿电可上网销售,促进能源的高效利用和零碳目标实现。方案5绿电产出较少,建筑能耗相对较高,能源浪费较多。因此,方案6在能源产生与消耗的平衡上更优,促进零碳目标实现,提升其排序优势。
2)储能装置充放电效率(二级指标)在能源存储与转换中至关重要。当上网卖出绿电电量有波动时,高效的储能装置能在绿电过剩时储存电能,在绿电不足或建筑用电高峰时释放电能。建筑直流用电比例(二级指标)也与储能协同,直流电传输效率高,若建筑直流用电比例合理增加,可减少输电损耗,配合储能装置,优化能源使用效率。方案6中储能装置充放电效率和建筑直流用电比例指标值均高于方案5的对应指标值,保障了能源的稳定供应和高效利用,提升了方案6的排序。
3)绿色建材应用比例(二级指标)的提高可降低建筑能耗和碳排放,与建筑能耗节约率(二级指标)相互促进。绿色建材从源头减少能源消耗和环境影响,建筑能耗节约率则反映整体节能效果,二者协同提升建筑的绿色环保水平。方案6和方案5的绿色建材应用比例相同,配合方案6更高的建筑能耗节约率,进一步增强了建筑的可持续性,为零碳供电所建设提供有力支持,有助于提升方案6的排序。
综上所述,结合二级指标原始数据差异和耦合协调度反映的协同差异的分析,方案6优于方案5。因此可证明采用基于耦合协调度的VIKOR法进行多属性决策评价更加准确。
4.4.2.3 方案改进措施
方案4和方案5在评价中与方案6存在差距,结合方案的不足制定改进措施,推动供电所向零碳、高效方向发展,改进措施如下。
1)方案5上网卖出绿电电量(二级指标)仅为370 kWh,方案4上网卖出绿电电量仅60 kWh,远低于方案6的1860 kWh。同时方案5建筑能耗节约率(二级指标)为42%,相对较低。可结合当地资源条件,通过增加可再生能源发电设备,如安装更多的太阳能光伏板或风力发电机,大幅度提高新能源发电量,从而增加上网卖出绿电电量。推广节能技术和设备,对建筑的照明、空调系统进行节能改造,提高建筑能耗节约率。这样不仅能减少建筑自身能源消耗,还能使多余的绿电上网销售,实现能源产生与消耗的良性协同。
2) 储能装置充放电效率(二级指标)和建筑交直流用电比例(二级指标)是影响能源存储与转换效率的重要因素。方案4、5可升级储能设备,采用更先进的储能技术,提高储能装置充放电效率,减少能源在存储和转换过程中的损失。合理调整建筑内的用电设备,提高直流用电比例,降低交流用电比例,优化建筑用电结构,配合储能装置,提升能源使用效率。推广使用直流充电桩、直流照明等设备,使建筑用电更适配储能装置,实现能源存储与转换的高效协同。
3) 绿色建材应用比例(二级指标)方面,方案4、5应加大绿色建材的采购和使用力度,选择保温隔热性能更好的绿色墙体材料、节能门窗等。这不仅能提升建筑的环保性能,还能与建筑能耗节约形成协同效应,进一步降低建筑能耗,提升整体的绿色环保水平。
5 结论
本文构建了零碳供电所多维度综合评价体系,综合考虑外部政策、技术发展、地理环境等多方面影响因素,选取了8类一级指标及42个二级指标,全面系统地反映了零碳供电所的建设水平,主要结论如下。
1)指标权重确定方面。本文采用平均差均值比替代标准差以衡量指标变异性,提出了改进的CRITIC法,降低了数据分布偏倚对权重计算的影响,并将熵权法与改进的CRITIC法相结合,更有效地挖掘指标的信息无序性、数据离散程度和相关性等特征,使权重分配更加客观、合理,确保评价结果能真实反映各指标的重要程度和有效信息。
2)方案评价方法方面。提出基于耦合协调度的VIKOR法,将耦合协调度引入到传统VIKOR法最优方案距离的计算中,改进后方案4、5、6的最优方案距离之和,表明该方法对方案优劣排序过程进行了有效干预,衡量被选择指标之间的相互影响程度和协同效应,并针对表现较差方案给出了相应的改进措施。
3)以中国广西某零碳供电所项目为例进行算例分析,对不同方案进行评价,结果表明所提方法能够清晰地展现各方案优劣,并且通过与传统方法对比,验证了本文改进CRITIC法在处理指标数据分布偏倚的优势,以及本文改进VIKOR法在指标协同效应方面的优势。同时,针对评价结果中表现较差的方案提出了具体改进措施,为零碳供电所的建设和优化提供了实际指导。
本研究为零碳供电所的综合评价提供了科学合理的方法和思路,有助于推动零碳供电所的建设和发展,促进电力行业的低碳转型。未来研究可进一步拓展评价体系的应用范围,考虑更多复杂因素对评价结果的影响,以及探索更优化的评价方法和指标权重确定方式。
附录A
附表A1—A9详见网址:
https://www.gei-journal.com/cn/elsePage/annex.html
参考文献
- 
                                            [1]
                                            
朱继忠,程乐峰. 新型电力系统下的新能源主导多主体优化博弈决策理论及应用[J]. 电力工程技术,2025,44(3):2.ZHU Jizhong, CHENG Lefeng. Game decision theory and application of multi-agent optimization dominated by new energy in new power system[J]. Electric Power Engineering Technology, 2025, 44(3): 2(in Chinese). [百度学术]
 - 
                                            [2]
                                            
胡佳萌,王坚,林皓. 零碳建筑标准对比研究[J]. 福建建设科技,2024(3):107-110.HU Jiameng, WANG Jian, LIN Hao. Comparative research of zero carbon building standards[J]. Fujian Construction Science &Technology, 2024(3): 107-110 (in Chinese). [百度学术]
 - 
                                            [3]
                                            
金晓婉. 不确定环境下多属性决策的策略性权重分配及其应用研究[D]. 上海:上海理工大学,2022.JIN Xiaowan. Research on strategic weight allocation and its application in multi-attribute decision making under uncertain environment[D]. Shanghai: University of Shanghai for Science &Technology, 2022(in Chinese). [百度学术]
 - 
                                            [4]
                                            
马莉,陈应雨,田钉荣,等. 基于改进层次分析法的多级电压暂降严重程度评估[J]. 电力系统保护与控制,2023,51(17):49-57.MA Li, CHEN Yingyu, TIAN Dingrong, et al. Severity evaluation of multistage voltage sag based on an improved analytic hierarchy process[J]. Power System Protection and Control, 2023, 51(17): 49-57(in Chinese). [百度学术]
 - 
                                            [5]
                                            
朱天曈,丁坚勇,郑旭. 基于改进TOPSIS法和德尔菲:熵权综合权重法的电网规划方案综合决策方法[J]. 电力系统保护与控制,2018,46(12):91-99.ZHU Tiantong, DING Jianyong, ZHENG Xu. A comprehensive decision-making method for power network planning schemes based on the combination of the improved TOPSIS method with Delphi-entropy weight method[J].Power System Protection and Control, 2018, 46(12): 91-99(in Chinese). [百度学术]
 - 
                                            [6]
                                            
韩一鸣,徐鹏飞,宫建锋,等. 基于用户侧需求的电网发展经营综合评价体系研究[J]. 发电技术,2022,43(4),636-644.HAN Yiming, XU Pengfei, GONG Jianfeng, et al. Research on comprehensive evaluation system of power grid development and operation based on user demand[J]. Power Generation Technology, 2022, 43(4): 636-644(in Chinese). [百度学术]
 - 
                                            [7]
                                            
王敏,邹婕,王惠琳,等. 基于改进的AHP-CRITICMARCOS配电网设备风险评估方法[J]. 电力系统保护与控制,2023,51(3):164-172.WANG Min, ZOU Jie, WANG Huilin, et al. Improved AHP-CRITIC-MARCOS-based risk assessment method for distribution network equipment[J]. Power System Protection and Control, 2023, 51(3): 164-172(in Chinese). [百度学术]
 - 
                                            [8]
                                            
李洪兵,罗雨,韩咪,等. 基于Critic法的中国天然气供需安全评价分析[J/OL]. 世界石油工业,2024:1-9. (2024-07-15). https://kns.cnki.net/KCMS/detail/detail.aspx?filename=SS YY20240710001&dbname=CJFD&dbcode=CJFQ.LI Hongbing, LUO Yu, HAN Mi, et al. Safety evaluation and analysis of natural gas supply and demand in China based on critic method[J/OL]. World Petroleum Industry, 2024: 1-9.(2024-07-15). https://kns.cnki.net/KCMS/detail/detail.aspx?fi lename=SSYY20240710001&dbname=CJFD&dbcode=CJFQ(in Chinese). [百度学术]
 - 
                                            [9]
                                            
郑友卓,杨叶奎,张恒荣,等. 基于层次分析法和CRITIC法的配电自动化设备测试结果综合评价方法研究[C]//2024年电力行业技术监督专业技术交流研讨会优秀论文集. 南宁,2024:661-669. [百度学术]
 - 
                                            [10]
                                            
魏子茹,卢延辉,王鹏宇,等. 基于CRITIC法的灰色关联理论在无人驾驶车辆测试评价中的应用[J]. 机械工程学报,2021,57(12):99-108.WEI Ziru, LU Yanhui, WANG Pengyu, et al. Application of grey correlation theory based on CRITIC method in autonomous vehicles test and evaluation[J]. Journal of Mechanical Engineering, 2021, 57(12): 99-108(in Chinese). [百度学术]
 - 
                                            [11]
                                            
徐晓军,李奎,张方银,等. 基于灰色群组聚类和CRITIC组合赋权的线路管廊入廊费用定价研究[J]. 综合智慧能源,2023,45(11):82-89.XU Xiaojun, LI Kui, ZHANG Fangyin. Research on pricing of line pipe gallery entrance costs based on grey group clustering and CRITIC combination weighting [J]. Integrated Smart Energy, 2023, 45 (11): 82-89(in Chinese). [百度学术]
 - 
                                            [12]
                                            
陈丹,陈伟,文云立. 熵值法与CRITIC法合成赋权的湖北高职院校产教融合绩效评价研究[J]. 广西职业技术学院学报,2023,16(5):89-98.CHEN Dan, CHEN Wei, WEN Yunli. Research on performance evaluation of integration of production and teaching in Hubei higher vocational colleges by entropy method and CRITIC method[J]. Journal of Guangxi Vocational and Technical College, 2023, 16(5): 89-98(in Chinese). [百度学术]
 - 
                                            [13]
                                            
陈晨,闫向阳,齐桓若,等. 基于FAHP-改进CRITIC组合赋权的屋顶光伏接入配网评价方法[J]. 电力系统保护与控制,2023,51(15):97-108.CHEN Chen, YAN Xiangyang, QI Huanruo, et al. An evaluation method of a roof photovoltaic access distribution network based on the weight of FAHP-improvement CRITIC combination[J]. Power System Protection and Control, 2023,51(15): 97-108(in Chinese). [百度学术]
 - 
                                            [14]
                                            
许继军,朱振熔,雷彩秀,等. 基于改进CRITIC-熵权法组合赋权模型的西藏高原河湖健康评价[J]. 长江科学院院报,2024,41(9):200-206.XU Jijun, ZHU Zhenrong, LEI Caixiu, et al. Health assessment of rivers and lakes in Xizang Plateau based on improved CRITIC-entropy combinatorial weighting model[J]. Journal of Changjiang River Scientific Research Institute, 2024, 41(9):200-206(in Chinese). [百度学术]
 - 
                                            [15]
                                            
王力锋,姚源果,刘抗英. 基于CRITIC-熵权法的冷链物流配送中心布局优化方法[J]. 物流科技,2024,47(19):143-146.WANG Lifeng, YAO Yuanguo, LIU Kangying. Optimization method of cold chain logistics distribution center layout based on CRITIC: entropy weight method[J]. Logistics Sci-Tech,2024, 47(19): 143-146(in Chinese). [百度学术]
 - 
                                            [16]
                                            
徐波. 基于逼近理想解排序法的基坑风险模糊识别方法[J].地下空间与工程学报,2022,18(2):673-680.XU Bo. Fuzzy risk identification during excavation based on TOPSIS method[J]. Chinese Journal of Underground Space and Engineering, 2022, 18(2): 673-680(in Chinese). [百度学术]
 - 
                                            [17]
                                            
程智余,朱晓虎,李建青. 基于改进ELECTRE法的电网规划投资多准则融合决策方法[J]. 中国电力,2022,55(11):59-65.CHENG Zhiyu, ZHU Xiaohu, LI Jianqing. A multi-criteria fusion decision-making method for power grid planning investment based on improved ELECTRE method[J]. Electric Power, 2022, 55(11): 59-65(in Chinese). [百度学术]
 - 
                                            [18]
                                            
时朋飞,龙荟冰,田子业,等. 基于PROMETHEE法的中国乡村振兴水平的测度、空间分异与收敛性研究[J]. 资源开发与市场,2023,39(8):937-948.SHI Pengfei, LONG Huibing, TIAN Ziye, et al. Measurement,spatial differentiation and convergence test of China’s rural revitalization level based on the PROMETHEE method[J].Resource Development & Market, 2023, 39(8): 937-948(in Chinese). [百度学术]
 - 
                                            [19]
                                            
张鑫,梁佩云,陈茹茹. 区域科技服务业服务创新能力评价:基于改进的CRITIC-VIKOR法[J]. 科技管理研究,2020,40(16):60-69.ZHANG Xin, LIANG Peiyun, CHEN Ruru. Evaluation of service innovation ability of regional science and technology service industry: based on the improved CRITIC-VIKOR method[J]. Science and Technology Management Research,2020, 40(16): 60-69(in Chinese). [百度学术]
 - 
                                            [20]
                                            
俞立平. CRITIC评价方法的修正及在学术期刊评价中应用研究[J]. 图书馆杂志,2022,41(5):56-62.YU Liping. Study on the revision of CRITIC evaluation method and its application in academic journal evaluation[J].Library Journal, 2022, 41(5): 56-62(in Chinese). [百度学术]
 - 
                                            [21]
                                            
OPRICOVIC S. Multi criteria optimization of civil engineering systems[D]. Belgrade: Faculty of Civil Engineering, 1998. [百度学术]
 - 
                                            [22]
                                            
SINGH P K, SINGH A K. Analyzing the characteristics of agri-food 4.0 acting as stimuli to sustainable agriculture supply chain: a fuzzy VIKOR approach[J]. Process Integration and Optimization for Sustainability, 2025, 9(3): 1053-1064. [百度学术]
 - 
                                            [23]
                                            
李志鹏,王建喜,周洪伟,等. 计及多指标间相互影响的园区综合能源系统规划评价方法[J]. 电力建设,2022,43(10):98-110.LI Zhipeng, WANG Jianxi, ZHOU Hongwei, et al. Evaluation method for park-level integrated energy system planning considering the interaction of multiple indices[J]. Electric Power Construction, 2022, 43(10): 98-110(in Chinese). [百度学术]
 - 
                                            [24]
                                            
杨鹏. 基于可信度犹豫模糊VIKOR的高校数字化水平评价研究[D]. 郑州:河南财经政法大学,2024.YANG Peng. Research on evaluation of digitalization level of colleges and universities based on credibility hesitation fuzzy VIKOR[D]. Zhengzhou: Henan University of Economics and Law, 2024(in Chinese). [百度学术]
 - 
                                            [25]
                                            
SEIKH M R, CHATTERJEE P. Sustainable strategies for electric vehicle adoption: a confidence level-based intervalvalued spherical fuzzy MEREC-VIKOR approach[J].Information Sciences, 2025, 699: 121814. [百度学术]
 - 
                                            [26]
                                            
ZHANG L J, AIHEMAITIJIANG G, WAN Z H, et al.Exploring spatio-temporal variations in water and land resources and their driving mechanism based on the coupling coordination model: a case study in western Jilin Province,China[J]. Agriculture, 2025, 15(1): 98. [百度学术]
 - 
                                            [27]
                                            
零碳供电所创建与评价规范: T/ZDL 02—2022[S]. 浙江:浙江省电力行业协会,2022.Zero-carbon power supply creation and evaluation specifications: T/ZDL 02—2022[S]. Zhejiang: Zhejiang Provincial Electric Power Trade Association, 2022. [百度学术]
 - 
                                            [28]
                                            
基于全寿命周期的变电站低碳设计导则:TCES_258-202[S]. 北京:中国电工技术学会团体,2023.Guidelines for low-carbon substation design based on full life cycle: TCES_258-202[S]. Beijing: China Electrotechnical Society, 2023. [百度学术]
 - 
                                            [29]
                                            
零碳建筑认定和评价指南:T/TJSES 002-2021[S]. 天津:天津市环境科学学会,2021.Guidelines for zero-carbon building certification and evaluation: T/TJSES 002-2021[S]. Tianjin: Tianjin Society of Environmental Sciences, 2021. [百度学术]
 - 
                                            [30]
                                            
向蓉美,李卫平. 偏态系数在经济统计分析中的意义和作用[J]. 财经科学,1981,(4):75-78.XIANG Rongmei, LI Weiping. The significance and role of skewness coefficient in economic statistical analysis[J].Finance and Economics, 1981(4): 75-78. [百度学术]
 - 
                                            [31]
                                            
LI G Y, LI G D, ZHOU M. Comprehensive evaluation model of wind power accommodation ability based on macroscopic and microscopic indicators[J]. Protection and Control of Modern Power Systems, 2019, 4(1): 19. [百度学术]
 
基金项目
国家自然科学基金面上项目(51977141);南方电网公司科技项目(040000KC23040028)。
National Natural Science Foundation of China General Program (51977141); Technology Project of China Southern Power Grid Co., Ltd.(040000KC23040028).
