Finite-time economic model predictive control for optimal load dispatch and frequency regulation in interconnected power systems
2023-07-31
【论文推荐】东南大学 贾玉斌等:有限时间经济型模型预测控制在互联电力系统的最优负荷分配和频率调节中的应用
本文关注于有限时间经济模型预测控制在多区域电力系统的频率调节和最优负荷分配中的应用。为实现电力系统的最优负荷分配和频率稳定,采用经济模型预测控制,实现了系统实时经济优化和控制。此外,采用广义终端惩罚项,保证了系统的有限时间内收敛。通过对由AC线连接的两个区域的电力系统进行仿真,结果说明了该方法的有效性。
Finite-time economic model predictive control for optimal load dispatch and frequency regulation in interconnected power systems
有限时间经济型模型预测控制在互联电力系统的最优负荷分配和频率调节中的应用
Yubin Jia1, Tengjun Zuo2, Yaran Li3, Wenjun Bi2, Lei Xue1, Chaojie Li4
1.School of Automation, Southeast University, Nanjing 210096, P.R.China
2.Nanjing Institute of Technology, Nanjing 211167, P.R.China
3.State Grid Jiangsu Electric Power Research Institute, Nanjing 211103, P.R.China
4.School of Electrical Engineering and Telecommunications, University of New South Wales, Sydney, NSW 2052,Australia
Finite-time economic model predictive control for optimal load dispatch and frequency regulation in interconnected power systems
Abstract
Keywords
Economic model predictive control; Finite-time convergence; Optimal load dispatch; Frequency stability

Fig. 1 Application of economic model predictive control in modern power systems

Fig. 2 Structure of a two-area power system connected by an AC tie line

Fig. 3 Structure of a power system with load frequency control

Fig. 4 Structure of the model predictive control algorithm

Fig. 5 Comparison of tracking and economic model predictive control

Fig. 6 Variation of the frequency deviation, Δf, in the two areas with load demand

Fig. 7 Variation of the power generated, Pg, in the two areas with load demand

Fig. 8 Variation of tie-line power Ptie and voltage angle δ of the two areas with load demand

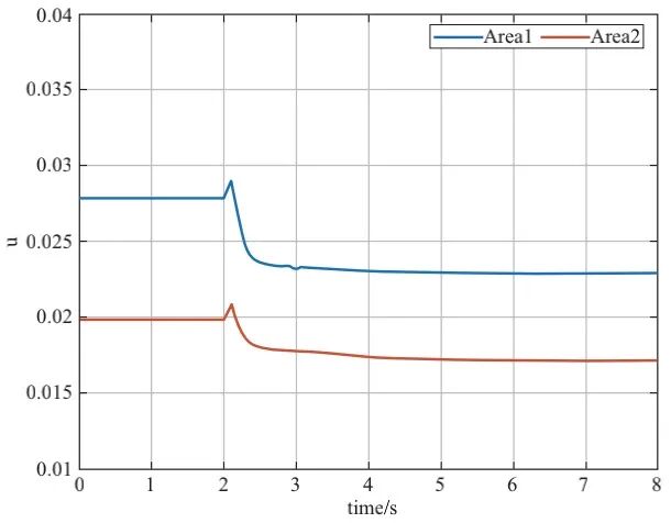
Fig. 9 Variation of the control input u of the two areas with load demand

Fig. 10 Variation of frequency deviation Δf in each area with time for economic and tracking model predictive control
本文引文信息
Yubin Jia, Tengjun Zuo, Yaran Li, Wenjun Bi, Lei Xue, Chaojie Li (2023) Finite-time economic model predictive control for optimal load dispatch and frequency regulation in interconnected power systems, Global Energy Interconnection, 6(3): 343-354
贾玉斌,左腾骏,李雅然,毕文俊,薛磊,李超杰 (2023) 有限时间经济型模型预测控制在互联电力系统的最优负荷分配和频率调节中的应用. 全球能源互联网(英文), 6(3): 343-354
Biographies

Yubin Jia
Yubin Jia received the B.S.and M.S.degree in automation, North China Electric Power University, Beijing, China, in 2012 and 2015,and received the Ph.D.degree in the School of Automation, Southeast University, Nanjing,China, in 2020.He is currently a Postdoctoral fellow at Southeast University.His research interests include wind model predictive control, power system, machine learning, and renewable energy system.


Tengjun Zuo
Tengjun Zuo received the B.E degree in Electrical Engineering from the Xi'an Jiaotong-Liverpool University, Suzhou, China, in 2013, and the MEngSc and Ph.D.degrees in Electrical Engineering from the University of New South Wales, Sydney, Australia, in 2015 and 2020, respectively.He is currently a lecturer with The Nanjing Institute of Technology.His research interests include wind farm planning,power system, and energy storage system.


Yaran Li
Yaran Li received the Ph.D.degree in electrical engineering from the University of New South Wales, Sydney, Australia, in 2021, the B.E.degree in electrical engineering from Southeast University, Nanjing, China, in 2017.She also held industrial positions with TransGrid, Australia as a network planning engineer.Her research interests include microgrid control, renewable connection, and power system stability analysis.


Wenjun Bi
Wenjun Bi received the Ph.D degree from Southeast University, Nanjing, China, in 2022.He is currently working with the School of Electric Power Engineering, Nanjing Institute of Technology.His research interests include power system operation/control and power system security.


Lei Xue
Lei Xue received his Ph.D.degree in control science and engineering from Southeast University, Nanjing, China, in 2017.From September 2013 to September 2014, he was a Visiting Ph.D.student with Applied Computational Intelligence Laboratory,Department of Electrical and Computer Engineering, Missouri University of Science and Technology, Rolla, MO, USA.Currently he is an Associate Professor with the School of Automation, Southeast University,Nanjing, China.His research interests include game theory, multiagent system, and optimization control.


Chaojie Li
Chaojie Li received the B.Eng.degree in electronic science and technology, the M.Eng.degree in computer science from Chongqing University, Chongqing, China, in 2007 and 2011, respectively, and the Ph.D.degree in electrical engineering from RMIT University,Melbourne, Australia, in 2017, where he was a Research Fellow for one and a half year.
编辑:王彦博
审核:王 伟
郑重声明
根据国家版权局相关规定,纸媒、网站、微博、微信公众号转载、摘编本网站作品,需包含本网站名称、二维码等关键信息,并在文首注明《全球能源互联网》原创。 个人请按本网站原文转发、分享。
                

