Estimation of state of health based on charging characteristics and back-propagation neural networks with improved atom search optimization algorithm
2023-06-19
【论文推荐】湖北工业大学吴铁洲等:基于充电特征与改进原子搜索算法优化反向传播神经网络的健康状态估计方法
摘要
随着新能源技术的快速发展,锂电池被广泛的应用于储能系统和电动汽车领域。健康状态(State of health,SOH)的精确预测对维持锂电池的安全与稳定运行具有重要作用。为了解决实际应用中放电条件不确定和SOH估计精度低的问题,本文提出一种基于电池恒流充电段特征的SOH估计方法。该方法采用改进的原子搜索算法优化的反向传播神经网络。通过分析电池充电段的温度数据,提出了一个温度特征,即等时间的温度变化量(equal-time temperature variation,Dt_DT),并将其与从增量容量(Incremental capacity, IC)分析中得到的IC特征共同作为数据驱动预测模型的输入。使用公开数据集对提出的预测模型进行测试和分析。实验结果表明,本文所提方法的SOH估计的最大误差低于1.5%。
Estimation of state of health based on charging characteristics and back-propagation neural networks with improved atom search optimization algorithm
基于充电特征与改进原子搜索算法优化反向传播神经网络的健康状态估计方法
Yu Zhang1, Yuhang Zhang1, Tiezhou Wu
1. Hubei University of Technology, Hubei Key Laboratory of Solar Energy Efficient Utilization and Energy Storage Operation Control, Hubei, Wuhan 430068, P. R. China
收听作者1分钟语音介绍
Abstract
Keywords
State of health; Lithium-ion battery; Dt_DT; Improved atom search optimization algorithm

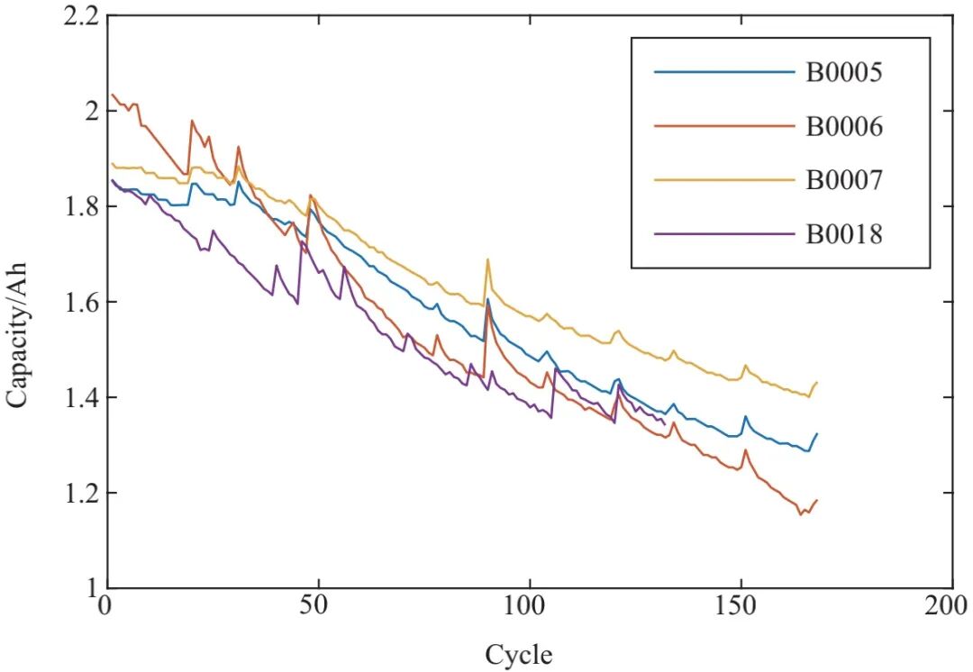
Fig. 1 NASA battery capacity trends with the cycle time

Fig. 2 Results before and after IC curve optimization

Fig. 3 Trend of the IC curves with the circulation for B0005

Fig. 4 Pearson correlation analysis of the optimal temperature variation time period of the charging period with SOH

Fig. 5 Topology of a BP neural network with a single hidden layer

Fig. 6 Experimental flow of the SOH estimation method based on IASO-BP

Fig. 7 Results and errors of battery SOH estimation based on Pic and Dt_DT with different methods
本文引文信息
Zhang Y, Zhang YH, Wu TZ (2023) Estimation of state of health based on charging characteristics and back-propagation neural networks with improved atom search optimization algorithm. Global Energy Interconnection, 6(2): 224-233
张宇,张宇航,吴铁洲等 (2023) 基于充电特征与改进原子搜索算法优化反向传播神经网络的健康状态估计方法. 全球能源互联网(英文), 6(2): 224-233
Biographies

Yu Zhang
Yu Zhang graduated from Hubei Institute of Technology in June 1992. She graduated from Hubei Institute of Technology in June 1999 with a master’s degree in engineering. She is a Professor at School of Electrical and Electronic Engineering, Hubei University of Technology.


Yuhang Zhang
Yuhang Zhang graduated from Bohai University with a bachelor’s degree in 2019. He is pursuing a master’s degree at Hubei University of Technology.


Tiezhou Wu
Tiezhou Wu graduated from Huazhong University of Science and Technology with a Doctor of Science degree in System Analysis and Integration in 2010. He is an Executive Vice President of Hubei University of Technology Solar Energy Research Institute, Director of Key Laboratory of Solar Power Generation and Energy Storage Operation Control, and Executive Vice Director of Hubei Collaborative Innovation Center for Efficient Utilization of Solar Energy.
编辑:刘通明
审核:王 伟
郑重声明
根据国家版权局相关规定,纸媒、网站、微博、微信公众号转载、摘编本网站作品,需包含本网站名称、二维码等关键信息,并在文首注明《全球能源互联网》原创。 个人请按本网站原文转发、分享。
                

