Power generation expansion planning approach considering carbon emission constraints
2023-05-23
山东大学石访等:考虑碳排放约束的电源规划方法
电力部门碳排放量约占我国总碳排放量的40%,电力部门低碳转型是能源领域实现碳中和的重要环节。因此,综合考虑经济、环境(碳排放)以及技术等因素对演进路径的影响是未来电源规划的关键。本文提出了一种适用于低碳电源规划的混合整数线性优化模型。本模型以系统总运行成本最小为目标函数,将能源发展战略、灵活发电以及资源限制等因素视为约束条件,实现低碳电源规划目标。利用本文所提优化模型对中国电力低碳转型路径进行了分析并与现有电力低碳转型路径比较,进一步剖析现有规划方案的优缺点。研究结果表明,碳排放限制、电力备用系数、资源利用率、燃料消耗以及燃料价格都将深刻影响未来的电源投资决策。最后,结合模型优化结果,从传统电源灵活性改造、新能源参与电力市场机制以及新兴低碳技术综合应用三方面提出了政策建议。上述建议将为能源领域低碳转型并如期实现碳中和目标提供决策参考。
Power generation expansion planning approach considering carbon emission constraints
考虑碳排放约束的电源规划方法
Hasan Mehedi1, Xiaobin Wang1, Shilong Ye2, Guiting Xue4, Islam Md Shariful3, Fang Shi1
1.School of Electrical Engineering, Shandong University, Jinan 250061, P. R. China
2.College of Letter and Science, University of California Davis, California, USA, 95618
3.School of Economics, Shandong University, Jinan 250100, P. R. China
4.Haidian Electric Power Supply Company of State Grid Beijing Electric Power Company, Beijing 100000, P. R. China
收听作者1分钟语音介绍
Abstract
Keywords
Low-carbon; Optimization; Generation expansion planning; Long-term planning; Renewable energy.

Fig.1 Overall Optimization framework

Fig.2 Carbon emission for different policy scenarios

Fig.3 Installed capacity of different power plant technologies

Fig.4 Power generation capacity of different power plant technologies

Fig.5 Hourly electricity generation on a typical day from 2020 to 2060

Fig.6 Fossil fuel consumption over time horizon

Fig.7 Newly added renewable energy capacity in planning horizon

Fig.8 Total optimal system cost with predicted future demand

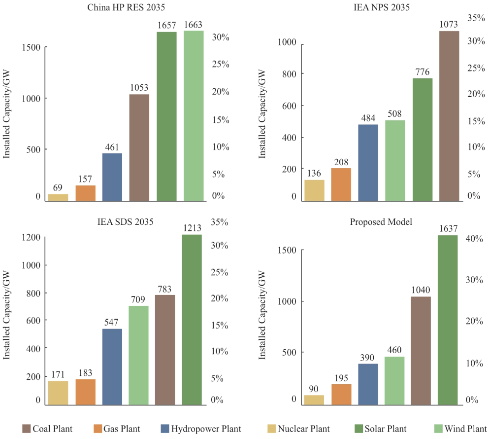
Fig.9 Installed capacity projection based on various modeling cases in 2035

Fig.10 Installed capacity projection between China HP RES and proposed model in 2050
本文引文信息
Mehedi H, Wang XB, Ye SL, et al (2023) Power generation expansion planning approach considering carbon emission constraints. Global Energy Interconnection, 6(2): 127-140
哈桑·迈赫迪,王晓彬,叶世龙等 (2023) 考虑碳排放约束的电源规划方法. 全球能源互联网(英文), 6(2): 127-140、
Biographies

Hasan Mehedi
Hasan Mehedi received his B.E. degree in Electrical Electronics and Communication Engineering from Pabna University of Science and Technology, Bangladesh, in 2017. Currently, he is pursuing his M.E. degree in Electrical Engineering under the Key Laboratory of Power System Intelligent Dispatch and Control of the Ministry of Education in Shandong University, Jinan, China. His present research interest is power system planning, modeling, and integration of renewable energy in the distribution grid.


Xiaobin Wang
Xiaobin Wang received his B.E. degree in Electrical Engineering from University of Jinan, Jinan, China. He is currently working toward an M.E. degree in Electrical Engineering with the Key Laboratory of Power System Intelligent Dispatch and Control of the Ministry of Education in Shandong University, Jinan, China. His research interests include fault locations in distribution networks.


Shilong Ye
Shilong Ye majors in applied math, college of letter and science, University of California Davis, California, USA. His research interests include power system planning and operation.


Guiting Xue
Guiting Xue received his Ph.D. from Shanghai Jiao Tong University in 2014. He works as a senior engineer at the Haidian Branch of Beijing Electric Power Company, Beijing, China. His research interests include power system stability and control and PMU technology and its applications.


Islam Md Shariful
Islam Md Shariful received his M.A. in Economics from Shandong University, China in 2021. He is currently pursuing his Ph.D. in Economics at the School of Economics, Shandong University, Jinan, China. His present research areas are international trade, energy security, and renewable energy in Belt and Road Initiative (BRI) countries.


Fang Shi
Fang Shi received his B.E. degree in Electrical Engineering from the China University of Petroleum, Dongying, China in 2006; M.E. degree in Electrical Engineering from the State Grid Electric Power Research Institute, Nanjing, China in 2009; and Ph.D. from Shanghai Jiao Tong University, Shanghai, China in 2014. He is currently an Associate Professor in the Key Laboratory of Power System Intelligent Dispatch and Control of the Ministry of Education, Shandong University, Jinan, China. His research interests include power system stability and control and phasor measurement units (PMU) technology and its applications.
编辑:刘通明
审核:王 伟
郑重声明
根据国家版权局相关规定,纸媒、网站、微博、微信公众号转载、摘编本网站作品,需包含本网站名称、二维码等关键信息,并在文首注明《全球能源互联网》原创。 个人请按本网站原文转发、分享。
                

