Identification of XLPE cable insulation defects based on deep learning
2023-04-06
【论文推荐】北方工业大学万庆祝等:基于深度学习的XLPE电缆绝缘缺陷识别
摘要
电缆的绝缘老化是导致电缆寿命减少的主要原因,目前电力相关部门对电缆绝缘缺陷检测缺乏快速有效的方法。本文提出了一种基于深度学习的XLPE电缆绝缘缺陷识别方法。首先,介绍了谐波法检测电缆绝缘缺陷的原理;其次通过ANSYS软件模拟了电缆绝缘层含气泡、突起、水树枝缺陷,分析了各类缺陷对电缆绝缘层磁场强度和涡损电流的影响;然后,构建了总谐波含有率及2至10次谐波电流共10个特征量,建立了电缆绝缘缺陷数据库;最后,通过深度学习算法LSTM对电缆的绝缘缺陷类型进行了精确识别。结果表明,采用LSTM算法对电缆的绝缘缺陷能够有效诊断识别,其准确率达到95.83%。
Identification of XLPE cable insulation defects based on deep learning
基于深度学习的XLPE电缆绝缘缺陷识别
Tao Zhou 1, Xiaozhong Zhu 1, Haifei Yang 1, Xuyang Yan 2, Xuejun Jin 2, Qingzhu Wan 2
(1.State Grid Yangquan Power Supply Company, Yangquan Shanxi 045000, P. R. China
2.College of Electrical and Control Engineering, North China University of Technology, Beijing 100144, P. R. China)
收听作者1分钟语音介绍
Abstract
Keywords
Insulation defects, Deep learning, Database, Eddy loss current.

Fig.1 Schematic diagram of eddy current in cable

Fig.2 Common defects of cable insulation

Fig.3 Schematic diagram of bubble defects in the insulating layer of XLPE cable

Fig.4 Magnetic field intensity with changes in the bubble position

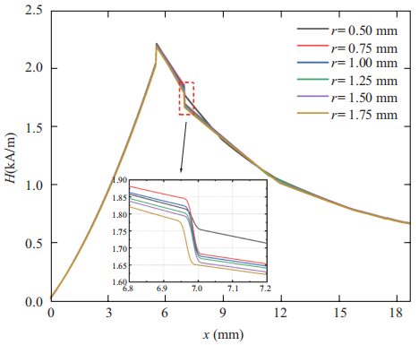
Fig.5 Magnetic field intensity with changes in the bubble radius

Fig.6 Magnetic field intensity with changes in the number of bubbles

Fig.7 Trend of eddy loss currents as bubbles change

Fig.8 Schematic diagram of protrusions defects in the insulating layer of XLPE cable

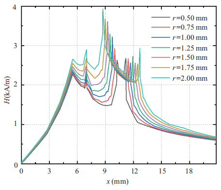
Fig.9 Magnetic field intensity distribution of cable with different protrusion sizes

Fig.10 Magnetic field intensity distribution of cable with different protrusions lengths

Fig.11 Magnetic field intensity distribution of cable with the change of the number of protrusions

Fig.12 Trend of eddy loss currents as the protrusion state changes

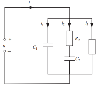
Fig.13 Dielectric equivalent circuit diagram

Fig.14 Vector diagram of a dielectric at AC voltage

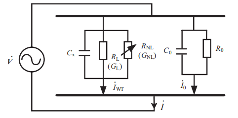
Fig.15 Equivalent circuit diagram for water tree defects

Fig.16 Harmonic components of loss current in different development stages of water tree

Fig.17 Basic unit structure of LSTM

Fig.18 LSTM model diagnostic framework diagram

Fig.19 Flow chart of cable insulation defect identification based on LSTM

Fig.20 Accuracy and loss values the of LSTM algorithm

Fig.21 Flow chart of cable insulation defect identification based on LSTM
本文引文信息
Zhou T, Zhu XZ, Yang HF, et al (2023) Identification of XLPE cable insulation defects based on deep learning. Global Energy Interconnection, 6(1): 36-50
周涛,朱晓中,杨海飞等 (2023) 基于深度学习的XLPE电缆绝缘缺陷识别. 全球能源互联网(英文), 6(1): 36-50
Biographies

Tao Zhou
Tao Zhou, senior engineer, is currently working in State Grid Shanxi Electric Power Company. His research interests are mainly in substation equipment operation and maintenance management, distribution equipment operation and maintenance management.


Xiaozhong Zhu
Xiaozhong Zhu, senior engineer, is currently working in State Grid Shanxi Electric Power Company. His research interests are mainly in power systems and fault diagnosis.


Haifei Yang
Haifei Yang, senior engineer, is currently working in State Grid Shanxi Electric Power Company. His research interests are mainly in power systems and fault diagnosis.


Xuyang Yan
Xuyang Yan is a graduate student at North China University of Technology. His research interests include cable fault diagnosis, and big data analysis.


Xuejun Jin
Xuejun Jin is a graduate student at North China University of Technology. Her research interests include cable fault diagnosis and smart grid.


Qingzhu Wan
Qingzhu Wan received Ph.D. degree at Tsinghua University. His research interests include cable fault diagnosis, big data analysis, and smart grids.
编辑:刘通明
审核:王 伟
郑重声明
根据国家版权局相关规定,纸媒、网站、微博、微信公众号转载、摘编本网站作品,需包含本网站名称、二维码等关键信息,并在文首注明《全球能源互联网》原创。 个人请按本网站原文转发、分享。
                

