Simulation of interaction between high-temperature process and heat emission from electricity system in summer
2023-02-01
【论文推荐】国网江苏电科院 刘凯等:夏季高温过程与用电系统热排放相互作用的模拟研究
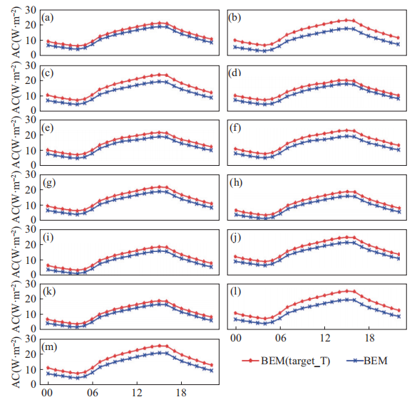
夏季高温过程中,用电系统的大量使用增加了局地的人为热量排放,使得高温进一步加剧。在人为热源的组成部分中,建筑物内部的电能消耗、热量产生以及室内外热量传输与交换,对于城市热环境的改变有着非常重要的作用。因此,为研究室内用电系统的产热及室内外热量传输扩散,并对室外热环境产生的影响,运用WRF模式,选取BEP+BEM城市冠层参数化方案,即基于多层城市冠层方案BEP增加室内空调用电系统影响的建筑物能量模式BEM的方案。以夏季高温热浪作为背景天气进行模拟研究,结果表明采用WRF模式考虑空调用电系统室内外能量交换的BEP+BEM参数化方案,能够更好地模拟出夏季晴天城市近地层气温。白天空调等用电系统开启对于城市近地层气温的影响不明显,而夜间使得城市气温普遍升高0.6℃,尤其是在居民区密集的地方,22~23时最大有1.2℃左右的升温。当调整室内空调目标温度为25—27℃时,空调系统能量总释放量减少12.66%,13~16时温度下降最大,平均约为1℃,建筑物越是密集,温度下降越大。
Simulation of interaction between high-temperature process and heat emission from electricity system in summer
夏季高温过程与用电系统热排放相互作用的模拟研究
Kai Liu1, Yuanhan Du1, Weidong Chen2, Xijuan Wu1
(1.Information and Communication Company, State Grid Jiangsu Electric Power Company, Nanjing 210000, P. R. China
2.China Electric Power Research Institute, Nanjing 210003, P. R. China)
收听作者1分钟语音介绍
Abstract
Keywords
Electricity system; Anthropogenic heat emission; Urban climate; Heat waves.

Fig.1 Simulation region and land use type in domain 3

Fig.2 Distribution of 2-m temperature changes in July 2017 in Jiangsu Province

Fig.3 Daily variation of indoor temperature in Nanjing

Fig.4 Air temperature differences between BEM and BEM(noAH) simulations superimposed on wind fields simulated by BEM at different time on 24 July(a. 10:00, b. 11:00, c. 12:00, d. 22:00, e. 23:00, f. 24:00 BJ)

Fig.5 Energy differences simulated by BEM & BEM(target_T) from 24 July to 25 July. (a)Suzhou; (b) Wuxi; (c)Changzhou; (d)Zhenjiang; (e)Nanjing; (f)Nantong; (g)Yangzhou; (h)Taizhou; (i)Yanzhou; (j)Huaian; (k)Suqian; (l)Xuzhou; and (m)Lianyungang

Fig.6 (a) Energy saving and (b, c) air temperature distributions simulated by BEM and BEM (target_T)at 14:00 on 24 July
本文引文信息
Liu K, Du YH, Chen WD, et al. (2022) Simulation of interaction between high-temperature process and heat emission from electricity system in summer. Global Energy Interconnection, 5(6): 692-702
刘凯,杜元翰,陈卫东等 (2022) 夏季高温过程与用电系统热排放相互作用的模拟研究. 全球能源互联网(英文), 5(6): 692-702
Biographies

Kai Liu
Kai Liu (1993-), male, master’s degree, engineer, research interests in energy power big data analytics.


Yuanhan Du
Yuanhan Du (1993-), male, master’s degree, engineer, research interests in new energy power prediction.


Weidong Chen
Weidong Chen (1989-), male, master’s degree, engineer, research interests in power meteorology and new energy power prediction.


Xijuan Wu
Xijuan Wu (1993-), female, master’s degree,engineer, research interests in substation automation and network security.
编辑:王彦博
审核:王 伟
郑重声明
根据国家版权局相关规定,纸媒、网站、微博、微信公众号转载、摘编本网站作品,需包含本网站名称、二维码等关键信息,并在文首注明《全球能源互联网》原创。 个人请按本网站原文转发、分享。
                

