Recommended articles:
-
-
Global Energy Interconnection
Volume 8, Issue 4, Aug 2025, Pages 625-639
Assessing the technical and economic potential of rooftop solar panels in Nador, Morocco, using advanced GIS methodology and remote sensing data
Keywords
Abstract
Abstract
0 Introduction
In the modern context,humanity faces serious concerns related to energy resource constraints, global warming,and the urgent need to offset GHGs [1].These issues have driven a rush in the development of alternative energy sources, not just as a tool to address pollution but also to reduce the reliance on imported fossil fuels, such as oil and gas.Among the promising renewable energy sources, solar energy stands out for its environmental cleanliness, optimal efficiency, and the potential to significantly contribute to meeting the global energy demands[2].
Morocco, endowed with a climatic advantage of 3000 sunlight hours per year and an average irradiation exceeding 5 KWh/m2, has emerged as a region with substantial solar potential [3].The Moroccan Solar Plan exemplifies the nation’s commitment to solar energy, setting an ambitious goal of generating 52% of its electricity from renewable sources by 2030 [4].The city of Nador, located in the northeast of the country, plays a pivotal role in the implementation of these initiatives.The Noor solar complex stands as a testament to Morocco’s dedication to photovoltaic (PV) energy.Launched in 2016, the Noor Laayoune, Noor Boujdour, and Noor Ouarzazate I and II installations have significantly bolstered the country’s solar electricity production capacity [5].These facilities have not only reduced GHG emissions but also stimulated regional economic development.
Numerous studies have examined the solar potential of urban rooftops through Geographic Information System(GIS) tools, revealing considerable opportunities for renewable energy generation in urban environments.Although these studies offer a strong foundation,they also have certain limitations that our work seeks to overcome.Existing methods use 3D models and local meteorological data [6] or leverage geospatial data and digital surface models to evaluate solar potential [7,8].However, these approaches often face accuracy challenges in complex urban environments, particularly due to shading effects and the variability of rooftop characteristics.Shading effects arise from nearby objects such as buildings or trees that block sunlight from reaching the rooftops, thus reducing the efficiency of PV panels.These shadows vary depending on the time of day and season.The variability of rooftop characteristics (orientation, slope, shape) also impacts solar exposure.For instance, rooftops facing south receive more sunlight than those shaded or with a low slope.
A study demonstrated that the urban shading in Hong Kong reduces the annual solar potential by 35.7% [9],highlighting the importance of incorporating this variable to avoid overestimating solar potential.Our study provides a more comprehensive multicriteria analysis that includes not only roof orientation and slope but also additional criteria, such as safety and accessibility needs for panel installation.Unlike the study, which focuses solely on the evaluation of individual parcels in Tehran [10],our work applies these methods at an urban scale, thereby identifying optimal zones for solar panel installations across the entire city of Nador.
Furthermore, our study provides a more detailed economic approach, incorporating cost-benefit analyses specific to different types of PV modules (such as copper/indium/seleni um (CIS) modules, which offer a favorable balance between profitability and durability).Although studies [7,8] offer a general economic analysis, they do not explore the specific economic implications of each PV technology, nor do they consider maintenance costs or long-term durability effects.By including these parameters,we enhance the accuracy of our economic evaluation.
Finally, we propose a novel integrated method for evaluating the solar capacity of urban rooftops,optimizing the use of GIS and Light Detection and Ranging (LiDAR)data for greater accuracy in 3D building modeling, and including an accessibility and safety analysis for the installations.In summary, this study fills the gaps of previous work by proposing a more comprehensive metho dology adapted to the specific requirements of large-scale assessment, while addressing the technical and economic challenges posed by complex urban environments and the growing demand for renewable energy.
This study utilizes GIS to assess the feasibility of implementing solar energy systems in Nador City, Morocco.It focuses on several objectives: first, to analyze the available rooftop areas suitable for PV solar installations, considering factors like orientation, incline, shadows, and accessibility; second, to evaluate solar radiation levels to determine the potential efficiency and energy output of these systems; third, to estimate the installed capacity and predict electrical energy production based on rooftop area, solar radiation, and panel efficiency.Additionally,the study examines the economic benefits, costs, and CO2 emission reductions, aiming to quantify the socioeconomic impacts and benefits for residents and the environment.GIS facilitates the analysis of spatial data,ensuring a robust foundation for sustainable energy planning in Nador City.
1 Methodology
Assessment of the potential for PV energy on rooftops becomes even more crucial due to the scarcity of undeveloped spaces, exacerbated by the rapid urbanization of Nador.This analysis extends to the urban scale, taking into account the economic benefits resulting from the use of this technology while comprehensively evaluating the overall costs associ ated with its installation.It aims to balance the growing demand for energy with space constraints, providing an in-depth perspective on the feasibility and implications of integrating solar energy into the urban context of Nador.
Nador was selected for this study because of several factors.First, the city benefits, as mentioned earlier, from 3000 h of sunlight per year and an average irradiation exceeding 5 KWh/m2.Additionally, city is witnessing a growing urban development, resulting in a significant energy demand.Furthermore, Nador’s proximity to the Marchica lagoon, an ec ological heritage, requires careful preservation against urban pollution.This study aligns perfectly with the directives of the Kingdom of Morocco,which encourages the introduction of renewable energies to address energy shortages while preserving nature.
The multicriteria Boolean analysis through GIS was adopted for this study as enables a meticulous assessment of optimal sites for solar panel installation by excluding less favorable areas for PV energy production.It takes into account various parameters, such as the presence of shadows, surface orientation, optimal inclination, ease of access, and elimination of inappropriate structures.By combining these criteria, this methodology provides enhanced precision in determining the most favorable locations for efficient solar energy exploitation, thereby contributing to a more strategic and sustainable energy planning.
This complex process is implemented using the ArcGIS tool and relies on a detailed 3D model constructed from a LiDAR data point cloud.The LiDAR data provided a detailed 3D information on building heights and roof inclinations, which were then processed and analyzed within a GIS framework.The LiDAR data used in this study was provided by the Urban Agency of Nador.
First, the city boundary was delineated and data on the spatial distribution of urban structures were collected by the photogrammetric reconstruction Nador, a technique that utilizes aerial photographs to create 3D models of urban topography.This approach yielded a detailed representation of urban features, which is essential for a comprehensive assessment of the suitability of rooftops for the installation of PV solar systems.Subsequently, the raw LiDAR data point cloud was processed and filtered.Only the initial echoes from the first returns were retained,including elements such as vegetation, building distribution, and topographical details.This step aims to refine the dataset for an in-depth analysis.
The refined LiDAR data was then used to generate a detailed 3D model of the city, which served as the fundamental basis for the study, providing an effective characterization of the position and configuration of structures.To determine the suitable roof area for the installation of solar panels, a Boolean multicriteria analysis was performed,where each criterion was assessed with a value of 1 for compliance and 0 for non-compliance, creating a binary sequence.By merging these binary layers,a comprehensive mapping of locations meeting all the criteria was obtained,including roof slope, orientation, shadow impact, solar module access,and the presence of structural obstacles.
Calculation equations based on the latitude, inclination,and orientation of the roofs were applied to estimate the available solar energy in kWh/m2 and the resulting annual electrical energy production from this radiation.The various types of solar panels available on the market, each characterized by a specific level of efficiency, were analyzed.
The variability in performance among different solar panel technologies, whether based on silicon, thin-film technology, or other materials, leads to divergent energy yields.The efficiency level of a solar pan el determines its ability to convert solar energy into electricity, which, in turn, directly impacts the overall productivity of the PV system.
The results related to buildings located in the area of intere st were grouped and organized within a comprehensive database.This database offers advanced functionality,enabling detailed mapping of these results through the use of GIS tools.It provides details, such as the roof area available for the installation of solar systems, installed electrical capacity, and amount of generated energy.
This information help to identify the roofs most conducive to PV energy production.This significantly contributes to making informed decisions regarding the optimal utilization of solar resources in a given region,thereby maximizing energy efficiency and supporting sustainable development.
Finally, this study closely examines the economic benefits and associated costs of implementing PV systems.It also precisely determine the population that could potentially benefit from the resulting electrical energy production while quantifying the reductions in CO2 emissions.Going beyond a mere evaluation, this approach explores the economic and environmental dimensions, aiming to comprehensively understand the social and ecological impacts of the project.
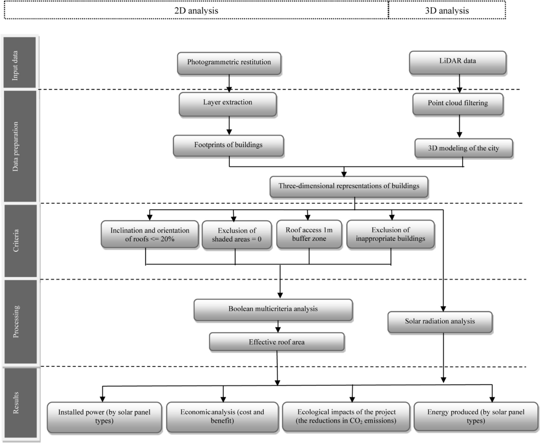
Fig.1 illustrates the process implemented to assess the PV potential of Nador.This graphical representation provides a visual overview of the steps taken to analyze and quantify the integration capacity of PV systems in the urban environment of Nador.The various stages of this process are presented sequentially, allowing for a clear visual understanding of the optimized workflow developed for this specific evaluation.
1.1 Study area
Nador, situated in the northeastern region of Morocco,covers an area of 38 km2 with a perimeter of 28 km.It is part of the Eastern Rif region in the Oriental administrative region and is adjacent to the Marchica Lagoon.Positioned on the Mediterranean coast between 35°12 -35°7 N and 2°58-2°54 W, the city recorded a population of approximately 161,72 6 during the 2014 general population and housing census.Experiencing an average annual population growth rate of 1.1% from 2004 to 2014, Nador benefits from a Mediterranean climate characterized by low precipitation and significant temperature variations ranging from 4 to 40 °C [11].In terms of housing, the majority of households in the city are ‘‘Moroccan houses,”constituting 85.7% of the urban area, followed by 8.3% in the ‘‘apartment” category.Additionally, Nado r features various commercial establishments like shopping centers,hypermarkets, sports facilities, administrative buildings,among others[12].Fig.2 illustrates the geographical location of the study area extracted from OpenStreetMap.
1.2 Data used
The data used in this study is provided by the Agency of Nador.Due to the proprietary nature of these data, they cannot be shared via a direct download link.Researchers interested in accessing these data may contact the Agency of Nad or directly to discuss the access conditions.
Fig.1.Enhanced workflow for assessing the photovoltaic (PV) potential in the City of Nador.
1.2.1 Point cloud from LiDAR data
The study is primarily based on the utilization of a point cloud generated from LiDAR data, associated with the Leica Geosystem ALS 70 HA LiDAR system, widely employed in mapping extensive geographical areas.These LiDAR data were collected in March 2018,providing reliable spatial information and presented in the LiDAR standard (LAS) format with a point density of 0.8 m2.
The accuracy of the LiDAR system is variable, with an altimetry precision of 7-16 cm and a planimetry precision of 5-37 cm.This variability in precision is influenced by various factors, including flight altitude and the observation location, especially whether it is positioned at the nadir (directly beneath the aircraft) or at the end of the flight line.These details are documented in the ALS70 document reference [13].Fig.3 presents a section of the point cloud representing the city of Nador.
1.2.2 Photogrammetric restitution
Photogrammetric restitution, implemented in 2018, represents a complex methodology facilitating photointerpretation through high-resolution aerial images that form stereoscopic pairs with a resolution of 20 cm.This rigorous process is broken down into several phases.Initially, aerial photography is conducted to collect airborne data covering the entire studied area.Subsequently, stereopreparation is conducted, which requires GNSS observations on the ground to determine tie points and ensure georeferenced accuracy.A crucial subsequent step is aerotriangulation, which precisely position aerial images in the 3D space.This provides an accurate representation of the topography and architecture of the studied region.Finally, the validation phase completes the restitution by comparing the obtained results with the ground reality.This step includes surveying missing details and colle cting toponymies, contributing to refining the accuracy and completeness of the data.
Fig.2.Geographical positioning of the study area (City of Nador)extracted from OpenStreetMap.
Fig.3.Extract from the LiDAR data of Nador.
The goal of this technique is to develop frequent photogrammetric surveys, continually enriching the dataset with detailed and accurate information about the topography and architecture of buildings in the study area.Fig.4 represents an excerpt from the photogrammetric restitution of Nador.
1.2.3 Sun positions data from SunEarthTools
Fig.4.Extract from the photogramm etric restitution of Nador.
SunEarthTools is a comprehensive resource that provides data on the sun’s position.Going beyond its functi on as a simple data library, this system acts as a portal connecting various resources from different countries.This unique feature allows access to an extensive range of solar radiation data, providing a global perspective to the study.This diversity of sources enriches the analysis by integrating information from different regions of the globe.
SunEarthTools provides data on the sun altitude and azimuth, yielding detailed statistics on rooftop solar radiation.This approach enhances the robustness and scope of the research results, add ing an additional layer of precision and reliability to the analysis of solar performance at the studied locations [14].
The overall dataset is complete and varied, with LiDAR point cloud data acquired in 2018 offering accurate spatial information, photogrammetric restitution from 2018 delivering detailed imagery of the study area, and sun positions data from SunEarthTools bringing useful insi ghts into solar radiation patterns.This collection of data sources gives a thorough and reliable basis for evaluating ideal sites for solar systems and predicting the electrical energy output in Nador.
1.3 Data preparation
Following aerial acquisition, the initial phase involves extracting information from the system.This procedure begins with trajectory calculation using locations provided by a global positioning system and inertial navigation system to confirm the spatial accuracy of the point cloud.This combined trajectory validates the consistency and precision of the point cloud with respect to geographical reality.
The LAS file undergoes filtering and classification,where each point in the point cloud, recorded by laser pulses during the aerial mission, is assigned a specific numerical value, characterizing various information related to the captured surface.
Once the point cloud is classified, the data is analyzed in ArcGIS to compute the Digital Surface Model (DSM) by filtering the LAS dataset, with a particular emphasis on first return points, i.e., the initial echoes of laser pulses.Subsequently, a conversion program is employed to transform these filtered points into a raster format.The‘‘AVERAGE” interpolation method is used to determine cell values in the output raster, which ensures the creation of a smooth surface while preserving the spatial distribution of input elements [15].The specification of the value used, in conjunction with the sample type set at 1 m,defines the resolution of the output raster, contributing to an accurate and detailed representation of the DSM.
The primary objective is to accurately obtain the footprints of buildings for analytical integration.This procedure begins by identifying rooftops in 2D using a georef erenced vectorized database established during photogrammetric restitution,relying on aerial images forming stereoscopic pairs.
To ensure that only relevant structures in the area of interest are retained, a mask is applied to eliminate the unnecessary elements.Other layers are then removed,and the results are exported to an additional shapefile,which includes specific features of each building type,providing crucial details for subsequent phases of analysis.
This procedure ensures not only the precise extraction of building footprints in the research area but also their careful integration into an extensive dataset, which serves as a solid foundation for in-depth examinations, offering a detailed perspective on the topography and architectural structure of the studied area.Fig.5 displays the DSM derived from the LiDAR data, along with the building footprints extracted through photogrammetric restitution.
1.4 Parameters used in determining the effective surface of roofs through a Boolean multicriteria analysis
A multi-criteria analysis is implemented to accurately determine the truly exploitable surface of each roof for the installation of PV energy systems.This approach incorporates various crucial parameters, such as the roof slope, its orientation in relation to the sun, impact of shadow cast by other structures or obstacles, and the roof’s accessibility for the installation and maintenance of solar panels, while excluding inappropriate buildings.
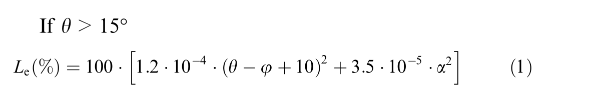
In grid-connected PV systems, it is crucial to determine the optimal orientation of solar modules to optimize energy capture throughout the year.This ideal orientation maximizes the exposure of solar panels to sunlight,directly impacting the overall system performance.The proportion of energy losses were calculated using Eqs.(1) and (2), published by the Institute for Energy Diversification and Economics [16].These equations are quantify energy losses based on various parameters,such as the orientation of the solar panels.The application of the specific equation depends on the roof slope on which the solar modules are installed.The slope influences how sunlight strikes the panels, affecting the efficiency of converting solar energy into electricity.

Fig.5.Digital surface model derived from LiDAR data, accompanied by building footprints extracted through photogrammetric restitution of Nador.

L e(%) is the proportion of energy losses
αis the angle of azim uth (orientation),
θ is the angle of inclination (0° for South orientation, -90° for East orientation and +90° for West orientation),
φ is the latitude of the location equal 35.17° of the study area.(Tilt and φare expressed in degrees)
The final data layer is generated by reassigning the losses related to inclination and orientation, assigning the value 1 to cells corresponding to losses less than or equal to 20%.which are retained.The criterion used to assess energy losses related to the inclination and orientation of solar modules is specified in the ‘‘Basic Document HE5 of the Building Code.According to these standards,losses in overlaid modules should not exceed 20% [17].This means that in cases where solar modules are installed in a stacked manner, the total sum of inclination and orientat ion losses should not surpass this threshold, ensuring optimal energy efficiency in such configurations.
To calculate shading, the ‘‘Hillshade” tool was used which derives the region of light via the raster surface model by considering the location of the sun(azimuth and elevation).It makes it possible to estimate if a zone is shaded or not and the size of the shadows at a particular time [18].The yearly shadow map for the research region was estimated between 10 and 14 h throughout the year.To achieve this, the initial shadow maps of all days of the year were made with a time interval of 1 h; subsequently, all the maps were merged, yielding a total annual shadow map.In the created raster layers,the resulting shadow and illumination values vary from 0 to 255 where the shadow areas have the value 0.The values ranging from one to 255 for every map were classed to 1.
Accessibility to the roof area where solar modules will be installed is an important consideration in determining the effective usable surface.This issue is particularly crucial for facilitating regular maintenance of solar systems and providing access to firefighting measures.This was achieved using the’buffer zone’ tool to the layer representing buildings to create impact zones.A 1 m wide space was delineated around the roofs, forming a buffer zone,which reflects the space necessary for maintenance and access to firefighting measures.This technique effectively remove the undesirable points (outliers or errors during da ta collection) from LiDAR data[19].
In the present study, the term ‘‘inadequate buildings” refers to constructions in densely inhabited parts of the historic medina and the city’s suburbs.These buildings are primarily old dwellings that are deteriorating, unusable, and frequently crowded on poor or inadequate foundations.These buildings are unsuitable for the installation of solar modules due to their deteriorating state.
To include this aspect in the study, a binary classification was used.Buildings that were considered unsuitable were assigned the value 0.Buildings that were regarded suitable for hosting solar installations were assigned a value of 1.This classification en sures the accuracy and dependability of the analysis, as it guides the selection of places that are both physically and structurally acceptable for PV module installation in the Nador City.
1.5 Total effective area of roofs
The binary layers generated wi th specified constraints(Fig.4) were overlaid using a multiplicat ion operation(Eq.(3))[20].The objective was to obtain the available and functional roof area for each building, particularly those suitable for solar panel systems.This overlay operation integrated various constraints and limitations, assessing the feasibility and potential efficiency of installing solar panel systems on building rooftops.
where
A ecis effective area coefficient
αis the inclination and orient ation factors
βis the shadow factor
γis the roof accessibil ity factor
δis the inadequate buildi ngs factor
The ‘‘raster calculator” tool is a crucial component of our methodology, facilitating the manipulation of raster layers associated with our geospatial data [21].Its use results in the creation of a detailed map, highlighting the specific locations of roofs that fully meet all the predefined conditions.This map provides a clear visual representation, enabling the quick identification of areas where the required criteria are satisfied.
1.6 Solar irradiation assessment
Solar radiation maps were generated using the ‘‘Solar radiation area” tool in ArcGIS, a sophisticated instrument designed to accurately estimate the amount of solar radiation reaching a specified surface during a specified period[22].The radiation estimate, expressed in units of global irradiation (direct + diffuse), was presented in Wh/m2 for each studied region.This approach incorporates fluctuations in the sun’s position as well as the influence of built structures and other topographic parameters, ensuring a precise solar analysis [23].
The subsequent variables were defined:(35,16 °of the research region).
The latitude (in degrees and positive for the northern hemisphere) was utilized to calculate declination and solar position.By default, its value is 45°, but as the raster input layer provides a geographical reference, the latitude is determined automatically
The time during which the solar radiation is estimated might range from 1 to 365 days.
Topographic characteristics, such as inclination and orientation that dep end on the elevation model.
The diffuse proportion of radiation relies on air conditions.Its value fluctuates from 0 to 1, but normally for a clear sky, a suitable number is typically 0.3.
Transmittivity is the relationship between the quantity of energy absorbed in the atmosphere and that which finally reaches the ground surface.Clear skies have a value of 0.5,whereas the values swing from 0 to 1 (without transmission and entire transmission accordingly).
To offer an overview of the process, we have included a detailed visual summary, presented in the form of a thumbnail, in Fig.6.This visual illustration highlights the different phases of data processing, emphasizing the logical sequence of operations performed in ArcGIS.This allows users to visually comprehend how the initial data is transformed to generate the final map of roof locations that comply with our requirements.The access area losses refer to a 1-m zone around each roof, with a value of 0 assigned to unfavorable areas and 1 to favorable ones for solar panel installation.The inappropriate buildings losses relate to structures deemed unsuitable for installation due to factors like shape or structure,and were assigned a value of 0, while suitable buildings received a value of 1.Inclination and orientation losses reflect the roof’s slope and direction, with 0 for unfavorable angles and 1 for favorable ones.Shadow losses consider shaded areas, which receive a value of 0, and unshaded areas, which receive 1.Annual global radiation measures the total solar energy each roof receives annually, based on factors like roof angle, orientation,and latitude.
1.7 Power installed
In the context of a grid-connected PV system, the installed power, expressed in peak kilowatts (kWp), for each PV module technology in a specific area was determined using Eq.(4) [24].
where
P is the inst alled power
Ig is the global irradiation = 1 kW/m2 (under standard measurement conditions)
ηis the efficiency of PV modules
A ris the roof area available.
Each variety of PV module was associated with a specific efficiency value (Table 1)[25].
1.8 Energy produced
The total energy produced annually (in kWh) was estimated using Eq.(5) [24].In addition to considering the efficiency of PV modules, another crucial aspect is the energy performance of the installation, also known as the ‘‘Performance Ratio” (ρ).This metric assesses the quality of the installation, considering factors, such as temperature, wiring efficiency, the presence of dirt in the installation, etc.Eq.(5) was then employed for the energy calculation:
where
E is the annual en ergy (kWh)
I Ais the annual global solar irra diation (kWh/m2)
ηis the efficiency of PV modules
A ris the roof area available
ρ is the Ratio of performance = 0.8 (a PR value will be applied, which sup poses an optimal arrangement of the system without losses of shadow)
1.9 Economic analysis
1.9.1 Monetary gain
Current statistical data highlight the electricity costs in the world’s major economies in June 2022, revealing significant disparities.In the United States, the electricity rate reached 18 cents per kilowatt-hour, a considerably higher value compared to rates observed in China and Russia,both of which were <1 cent.In France, consumers had to pay 22 cents per kilowatt-hour, equivalent to 20 euro cents.These figures reflect a notable increase compared to previous years, shedding light on the impact of the energy crisis affecting several regions worldwide [26].
Fig.6.Thumbnails showing the different stages of data processing.
Table 1 Efficiency of each PV module [25].
Types of Photovoltaic (PV) Modules Efficiency Silicon crystal Silicon monocrystalline 16%Silicon multicrystalline 15%Thin film CIS (Copper/Indian/selenide) 11%Te Cd (tellurid/cadmium) 10.5%Amorphous silicon 6%
The cost of electricity in Morocco is 12 cents per kilowatt-hour, according to the data provided by the Global Petrol Prices for the year 2023 [27].
The economic assessment of this study relies on electricity tariffs in Morocco, calculated by multiplying the quantity of energy produced by the price per unit of electricity.The resulting value represents the revenue generated by the electricity production, playing a crucial role in assessing the efficiency and profitability of rooftop solar installations in the locality.Furthermore,this analysis contributes to informed decision-making regarding investment,resource allocation, and the overall sustainability of the city’s energy production infrastructure.
1.9.2 Solar rooftops’ capacity to meet the energy needs of the population
Determining the number of people that can benefit from the production of a solar rooftop system requires understanding the extent of energy consumption in Morocco.According to data from the World Bank in 2014[28], the annual electricity consumption per capita in Morocco is 904 kWh.
By dividing the total amount of energy produced by the system by the average electricity consumption per capita,we can obtain a realistic estimate of the number of people that the system can potentially cover.
This in-depth analysis allows us to make informed decisions regarding the design, size, and implementation of solar installations, ensuring they are tailored to the actual energy needs of the population.By fully understanding this relationship, we can maximize the efficiency of the system and ensure that it brings tangible benefits to a significant number of people in the city of Nador.
1.9.3 Installation cost of the total system
The installation cost of PV modules is influenced by two main factors:installed capacity and cost per peak watt ($/Wp).
Installed capacity (in peak watts, or Wp) represents the total capacity of the PV modules installed on rooftops, measured at their maximum electricity production capacity under standardized conditions.
Cost per peak watt ($/Wp) is the unit cost per peak watt associated with each type of PV module(Table 2).It includes not only the cost of the modules themselves but also expenses related to installation,inverters,support structures,and other system components.
Thus, the total installation cost can be calculated by multiplying the installed capacity (in Wp) by the cost per peak watt ($/Wp).This calculation provides an estimate of the overall project cost based on the installed capacity and unit cost of the modules used [29].
It is imperative to consider other associated costs in the project.This can be achieved by identifying the different types of associated costs, such as labor fees, materials, permits, design, maintenance, an d other miscellaneous expenses, followed by collecting relevant data for each type of cost, like local labor surveys and supplier quotes for materials.
This data is analyzed considering the specifics of the project (location, system size, regulatory requirements)and using appropriate tools (spreadsheets, project management software) to organize and calculate the costs.The estimates have to be validated by consulting experts,comparing with similar projects, and adjusting based on the feedback received.
This methodical approach ensures an accurate and comprehensive estimate of additional costs, thus facilitating the financial planning of the project.
Table 2 Lowest cost per peak watt across different PV modules [30].
Price per Watt Peak/Dh Type of PV Cell Price per Watt Peak/US$Silicium monocristallin 1.28 12.84 Silicium polycristallin 1.23 12.34 Silicium amorphe 1.02 10.23 Te Cd(tellurid/cad mium)0.87 8.73 CIS (Copper/Indian/selenide)0.93 9.33
1.9.4 Reductions in CO2 emissions
Determining the extent of CO2 emission savings is based on the idea that the transition to solar energy can help mitigate the CO2 emissions resulting from the use of fossil fuel in electricity producti on.The average CO2 emissions associated with fossil fuel for electricity production are estimated at 280 kgCO2e per megawatt-hour (MWh)[31].To assess these savings, this value was used as an emission factor and multiplied with the solar energy produced to quantify the CO2 emission savings for each building, providing a concrete assessment of solar energy’s positive impact on reducing GHG emissions.However,there are limitations and uncertainties to this method.The emission factor of 280 kgCO2e per MWh is an average that may not reflect specific emissions of different fossil fuels or power plants.Emissions can vary based on fuel mix, electricity production efficiency, and regional energy technology differences.Additionally, this factor may change over time due to technological advancements.
Electricity production efficiency varies among plants and technologies, and the emission savings calculation assumes constant efficiency, which may not be accurate.The calculation focuses on direct emissions from fuel combustion, ignoring indirect emissions from the production,transportation, and installation of solar panels.
The assumption that solar energy completely replaces fossil fuel energy may not always hold true due to grid dynamics and storage challenges.Policy changes and incentives can also influence the benefits of solar energy,adding furt her uncertainty.Addressing these issues requires a detailed, region-specific analysis that considers local energy mixes, technological advancements, and policy environments.
2 Results and discussions
In this work, the scenario of introducing PV systems on the roofs of buildings in the city of Nador was assessed,while conducting an economic analysis associated with various technologies.The study’s methodology incorporates various analytical approaches, with a particular emphasi s on using a Boolean multicriteria analysis.This approach takes into account various factors, thereby determining the effective area of each roof to optimize the assessment of energy produced.
GIS played a crucial role by combining LiDAR and photogrammetric data.The photogrammetric restitution provided information on building footprints, while the LiDAR data allowed us to obtain details on the height and inclination of the roofs.These data were processed within the GIS to select suitable surfaces for solar panel installation.
The orientation and inclination of the roofs were key exclusion criteria.Only rooftops oriented primarily towards the south, or close to it, and with moderate slopes,were considered favorable for solar panel installation.A shadow analysis was performed to exclude areas that would be permanently shaded by surrounding elements(neighboring buildings, trees, etc.).Only rooftops receiving adequate direct sunlight were retained.Accessibility of the rooftops was also considered, with a 1-meter buffer zone applied around each roof to en sure sufficient access for installation and maintenance.Rooftops with difficult access were excluded from the analysis.Finally, inappropriate structures (old or deteriorated buildings) were excluded due to their degradation and limited capacity to support solar panels.
These criteria were integrated into a binary multicriteria analysis, enabling the creat ion of an accurate map of suitable rooftops.
The results revealed a substantial area of 336 ha suitable for solar systems, constituting 61% of the total area covered by existing structures.This analysis involves a comprehensive calculation of the installed power and produced en ergy, considering the data recorded in the attribute table associated with the roof layer.Beyond technical considerations,it also integrates a thorough economic analysis.
The economic analysis includes various parameters,such as the number of system beneficiaries, anticipated economic gains, and the overall cost of the project.These financial aspects wer e examined and grouped according to each type of solar module to understand the economic implications specific to each technology used.Table 3 provides a holistic view of the technical performance and economic aspects of the project, thereby contributing to an informed decision-making process.
Table 3 was generated using the attribute table of the roofs, where each parameter was calculated using Arc-GIS’s Field calculator tools.The process involved calculating individual values for each parameter directly in ArcGIS, after which the entire table was exported in text format.This exported data was then imported into Excel to perform the final total calculations for each parameter.This approach allowed for precise aggregation and presentation of data.
The detailed data presented in the table provides a comprehensive foundation for conducting an in-depth and comparative analysis of the performance of each type of PV module.This analysis is crucial for making informed strategic decisions, as it offers a detailed overview of various aspects of each option, enabling the shaping of strategies aligned with the specific priorities and key objectives of a project or business.Examining each module type individually reveals several key points.
With a high installed capacity of 337.54 MWp and a substantial energy production of 452.88 GWh, Silicon Monocrystalline stands out with the largest annual monetary gain of USD 54.35 million.However, its initial project cost is also the highest, requiring 13 years to recover the investment.However, it provides the greatest reduction in CO2 emissions, making it a preferred choice for those valuing long-term sustainability.
Offering a balance between installed capacity, energy production, and annual monetary gain, the Silicon Multicrystalline presents a viable option.Although its initial cost is high, it requires 12 years to recover the investment.This option also demonstrates a significant reduction in CO2 emissions.
The CIS PV module emerges as a particularly attractive option, offering a remarkable balance between financial profitability and environmental sustainability.
With a robust installed capacity of 168.56 MWp and a substantial energy production of 311.35 GWh, the CIS module positions itself as a high-performing solution in terms of energy output.Furthermore, its relatively moderate initial project cost of 376.95 million USD makes it financially appealing.This contributes to a financial profitability that can be achieved over a period of 10 years,which is a reasonable timeframe compared to other options.
Regarding environmental sustainability, the CIS demonstrates a substantial reduction in CO2 emissions,thereby contributing to mitigating its environmental impact.Other options, such as Silicon Monocrystalline,may offer a more significant reduction in CO2 emissions.
Table 3 Global statistical solar analysis in the city of Nador based on various PV modules, using the rooftop attribute table.
Types of PV Modules Power installed/MWp Energy produced/GWh People covered Monetary gain per year in million/USD Cost of the project in million/USD Number of years to offset the installation cost Reductions in CO2 emissions in tons Silicon monocrystall ine 337.54 452.88 500,969 54.35 688.05 13 126,805 Silicon multicrystallin e 268.95 424.57 469,659 50.95 619.85 12 118,880 CIS (copper/indian/selen ide)168.56 311.35 344,416 37.36 376.95 10 87,179 Te Cd(telluride/c admium)134.76 297.20 328,761 35.66 306.90 9 83,216 Amorphous silicon 100.58 169.83 187,863 20.38 187.47 9 47,552
Despite a lower installed capacity, the Te Cd provides substantial energy production and a shorter time to recover installation costs(9 years).It also presents a notable reduction in CO2 emissions.
With a lower installed capacity, the Amorphous Silicon offers relatively lower project costs and annual financial gains.The time needed to recover the installation cost is 9 years, and it shows a notable reduction in CO2 emissions.This option could be suitable for those seeking a compromise between initial cost and financial returns.
The selection of an appropriate PV technology relies on a complex balance among various criteria, including financial profitability, environmental sustainability, and contextual factors specific to each project.In this study, the CIS module was presented as the best option due to its superior performance in terms of energy yield and long-term durability.Indeed, CIS panels are known for their efficiency even in low-light conditions and their ability to adapt to different types of roofs, making them a wise choice for installations in urban environments.
Bifacial PV panels were not considered in this study.Their performance is largely influenced by the reflectivity of the ground, an aspect that is difficult to control in an urban environment where surfaces can be varied and suboptimal for light capture.However, their optimization potential could be exp lored in future studies, particularly by analyzing their performance in specific areas where reflectivity is more favorable.This could open up opportunities for improving solar energy production, even in urban environments.
The energy generated by various PV systems significantly exceeds the energy needs of a much larger number of people than the total population of Nador, previously set at 161,726 inhabitants.In other words, the solar energy production capacity substantially surpasses the estimated energy demand of the urban population.This observation is of crucial importance, given the various other energy requirements of the city, extending beyond residential use.These needs encompass critical sectors,such as industry and public institutions.
According to the Haut-Commissariat au Plan, Direction Re´gionale de l’Oriental [32], the annual net production of hydro and thermal energy for the region is 3,860 million kWh (3.86 TWh).In comparison, monocrystalline solar panels, the most efficient type, produce 452.88 GWh in Nador, representing 11.74% of the total regional production.
The estimated annual monetary gain from solar energy in Nador is 54.35 million USD.Considering Morocco’s GDP, which is 1,400 billion DH ( 155.56 billion USD)[33], this gain constitutes a significant co ntribution to the local economy.
The solar panels in Nador help reduce the annual CO2 emissions by 126,805 tons.In compari son,Morocco’s total CO2 emissions in 2020 were 66,720 kt [34], meaning that the solar installation in Nador could reduce national CO2 emissions by 0.19%, which is an important step towards the country’s environmental goals.
To install monocrystalline solar panels in Nador, the time required to offset the initial cost is estimated to be around 13 years.This duration is comparable to other PV projects in Morocco, such as those in Ain Beni Mathar and Laaˆyoune, where payback periods vary depending on the technology used, production capacity, and local sunlight conditions.For instance, projects like Noor Ouarzazate in Ouarzazate achieved cost recovery in 10 years due to their scale and advanced concentrated solar power technology [4].Similarly, projects in Benguerir and Laaˆyoune show similar payback periods, reflecting the benefits of intense sunlight and competitive installation costs in these regions.Therefore, investing in solar panels in Nador presents favorable long-term profitability prospects, supported by favorable climatic conditions and potential integration into local economic development strategies.
The collected data was integrated into a GIS database,aiding in spatial-scale information manipulation.This database serves as a crucial resource, enabling us to generate detailed maps that highlight rooftops most suitable for the installation of PV solar panels while identifying those with lower efficiency.
These data form the cornerstone for the development of a more accurate solar cadastre, considering not only the solar radiation levels but also the effective surface of each roof.This advanced solar ca dastre focuses on a variety of PV module types, allowing for a differentiated analysis based on the specific characteristics of each module.
Fig.7 complements this approach by providing a detailed visual representation of energy production, specifically focusing on the CIS module in the city of Nador.This visualization adds a tangible dimension to the energy efficiency of installations, offering an in-depth perspective on the specific contribution of this type of module to energy production in the region.
This study contributes significantly to the field of urban solar energy planning by integrating technical, economic,and spatial analyses into a comprehensive framework.Combining LiDAR data and photogrammetric restitution to develop precise 3D models of the built environment yield a detailed evaluation of rooftop suitability for PV install ation,considering critical factors,such as slope,orientation, shading, and accessibility.Additionally, the study compares the economic performance of various PV technologies, providing insights into cost-effectiveness,energy yield, and return on investment.
Fig.7.Energy production result maps of the CIS (Copper-In dium-Selenium) module in the city of Nador.
The methodology presented in this research is highly adaptable and can be applied to other regions with similar urban environments.By utilizing the widely available GIS tools and remote sensing data, this approach can assist planners and policymakers in identifying optimal locations for PV installations, even in areas with different geographic or climatic conditions.Such adaptability underscores the broader relevance of this study, offering a practical and replicable framew ork for advancing solar energy integration in urban settings worldwide.Furthermore, this method can be a foundation for developing detailed solar cadastres in other cities,facilitating localized and efficient energy planning.
However, certain limitations must be acknowledged.First, the accuracy of the analysis heavily depends on the quality of the LiDAR and photogrammetric data used.In regions where such data are unavailable or of lower quality, the methodology may be less applicable.Second,economic estimates, such as installation and maintenance costs and profitability projections, are based on assumptions specific to the studied context.These parameters can vary significantly across regions, affecting the transferability of the results.Third, while the study considers factors, such as slope, orientation, and shading, other potentially significant aspects,such as roof structural load capacities or local regulatory constraints, were not included,which may limit applicability in specific contexts.Finally, the study focuses exclusively on utilizing building rooftops and does not explore other opportunities,such as using undeveloped land or urban infrastructure like parking lots and public spaces.
In summary, this study offers a solid and adaptable methodological approach, but its findings should be interpreted cautiously, considering the identified limitations.These discussions enhan ce the understanding of this research’s implications and shed light on its potential contributions to other contexts.
3 Conclusion
This study represents a significant step in harnessing Nador’s solar resources to improve the city’s energy effi-ciency.It explores the integration of PV panels on rooftops, while also including an economic analysis of this technology.The methodology relies on a multicriteria analysis of geographical factors, using GIS to identify the most suitable sites for solar panel installation, considering factors such as slope,orientation,shading,and rooftop accessibility.
Unlike previous studies, this research stands out by integrating both technical and economic assessments within a spatial framework.Using LiDAR data and photogrammetry to create 3D models of the city, it allows for an in-depth comparison of different types of solar panels,taking into account efficiency, installation costs, longterm energy production, and return on investment.
The results reveal that 336 ha of rooftops, representing 61% of the total rooftop area in Nador, are suitable for solar installations.The CIS module stands out for its balance between profitability and environmental sustainability, offering an installed capacity of 168.56 MWp and energy production of 311.35 GWh.Its profitability is achieved within 10 years, and it significantly reduces CO2 emissions.
In conclusion, this study provides essential data for strategic decision-making regarding solar energy and supports the transition to sustainable energy solutions in Nador.It paves the way for a more environment-friendly energy future, contributing to the development of a more sustainable city.
Declaration of competing interest
The authors declare that they have no known competing financial interests or personal relationships that could have appeared to influence the work reported in this paper.
Acknowledgments
We express our deep gratitude to the Urban Agency of Nador, which graciously shared crucial cartographic and LiDAR data for this study.Their contribution has been of vital importance to successfully carry out our research.We also extend heartfelt thanks to the entire academic team of the Laboratory of Fundamental and Applied Geosciences at the Faculty of Sciences Ain Chock of Hassan II University.Their invaluable guidance and continuous support have been priceless.The provision of resources and facilities by them has played a decisive role in advancing our research efforts.Additionally, our thanks go to the E´cole Normale Supe´rieure of Rabat, particularly to Mr.Abdellatif AARAB, Coordinator of the sector (Cartography, Geology, an d Geomatics).Their assistance and fruitful discussions have significantly contributed to the quality of this study.In summary, these supports have been crucial to the success of our research,and we express our gratitude to all individuals and institutions who contributed,directly or indirectly, to the completion of this work.
References
-
[1]
K.O.Yoro, M.O.Daramola, CO2 emission sources, greenhouse gases, and the global warming effect, in: Advances in Carbon Capture, Woodhead Publishing, 2020, pp.3-28. [百度学术]
-
[2]
A.Shahsavari, M.Akbari, Potential of solar energy in developing countries for reducing energy-related emissions, Renew.Sustain.Energy Rev.90 (2018) 275-291. [百度学术]
-
[3]
M.Enzili, Renewable Energies in MOROCC O, Workshop on the Methodology for the Development of the Solar Energy Development Plan in the Oriental Oujda, from March 19 to 22,2012, National Agency for the Development of Renewable Energies and Energy Efficiency (ADEREE), 2012. [百度学术]
-
[4]
Moroccan Agency for Sustainable Energy (MASEN), Moroccan Solar Plan, 2021.Retrieved from https://www.masen.ma/. [百度学术]
-
[5]
World Bank, Noor Laayoune Project, 2021.https://projects.worldbank.org/en/projects-operations/project-detail/P111172. [百度学术]
-
[6]
Y.An, T.Chen, L.Shi, C.K.Heng,J.Fan, Solar energy potential using GIS-based urban residential environmental data:a case study of Shenzhen, China, Sustain.Cities Soc.93 (2023) 104547. [百度学术]
-
[7]
A.D.Sakti, K.T.N.Ihsan, T.S.Anggraini, Z.Shabrina, N.A.Sasongko, R.Fachrizal, K.Wikantika, Multi-criteria assessment for city-wide rooftop solar PV deploymen t: a case study of Bandung, Indonesia, Remote Sens.14 (12) (2022) 2796. [百度学术]
-
[8]
D.Gawley, P.McKenzie, Investigating the suitability of GIS and remotely-sensed datasets for photovoltaic modelling on building rooftops, Energ.Build.265 (2022) 112083. [百度学术]
-
[9]
H.Ren, C.Xu, Z.Ma, Y.Sun,A novel 3D-geographic information system and deep learning integrated approach for high-accuracy building rooftop solar energy potential characterization of highdensity cities, Appl.Energy 306 (2022) 117985. [百度学术]
-
[10]
B.Ranjgar, A.Niccolai, Large-scale rooftop solar photovoltaic power production potential assessment: a case study for Tehran metropolitan area, Iran, Energies 16 (20) (2023) 7111. [百度学术]
-
[11]
Climate-Data, Nador, Morocco - Climate-Data.org, 2024.Retrieved from https://fr.climate-data.org/afrique/maroc/nador/nador-764490/. [百度学术]
-
[12]
HCP, High Commission for Planning.Monograph of the Nador Province, 2014.Retrieved in 2024 from www.hcp.ma/regionorientale. [百度学术]
-
[13]
Leica ALS70-airborne laser scanners—performance for diverse applications.http://leica-geosystems.com/products/airbornesystems/LiDAR/leica-als70-airborne-laser-scanner. [百度学术]
-
[14]
S.E.Tools, Sun Earth Tools.Obtenido de Sun Earth Tools, 2018.https://www.sunearthtools.com/dp/tools/pos_sun.php# top. [百度学术]
-
[15]
ArcGIS Desktop, Creating raster DEMs and DSMs from large LiDAR point collections.ArcMap 10.8, Help archive, 2024.Retrieved from https://desktop.arcgis.com/fr/arcmap/latest/manage-data/las-dataset/LiDAR-solutions-creating-rasterdems-and-dsms-from-large-LiDAR-point-collections.htm. [百度学术]
-
[16]
IDEA, Institute for Diversification and Energy Saving.Technical Specifications of Installations Connected to the Network.PROGENSA, 2011. [百度学术]
-
[17]
BD, H.E.Basic Document, Regulation technical building.Basic documento HE.Save energy, in: Development Ministry, 2009. [百度学术]
-
[18]
T.Hong, M.Lee, C.Koo, J.Kim, K.Jeong, Estimation of the available rooftop area for installing the rooftop solar photovoltaic(PV) system by analyzing the building shadow using Hillshade analysis, Energy Procedia 88 (2016) 408-413. [百度学术]
-
[19]
D.Palmer, I.Cole, T.Betts, R.Gottschalg,Assessment of potential for photovoltaic roof installations by extraction of roof tilt from light detection and ranging data and aggregation to census geography, IET Renew.Power Gener.10 (4) (2016) 467-473. [百度学术]
-
[20]
F.M.I.Flora, N.Donatien, R.Tchinda,O.Hamandjoda,Selection wind farm sites based on GIS using a Boolean method:Evaluation of the case of Cameroon, J.Power Energy Eng.9 (1) (2021) 1-24. [百度学术]
-
[21]
ArcGIS Desktop, Raster calculator.ArcMap 10.8, Help archive,2024.Retrieved from https://desktop.arcgis.com/en/arcmap/latest/tools/spatial-analyst-toolbox/raster-calculator.htm. [百度学术]
-
[22]
S.A.F.S.A.Rahman, K.N.A.Maulud, H.Hassan, Leveraging LiDAR for smart cities climate change resilient: a solar potential case study in a developing area, in: IOP Conference Series: Earth and Environmental Science,vol.1167,no.1,IOP Publishing,2023,p.012023. [百度学术]
-
[23]
ArcGIS Help Library, Area Solar Radiation (Spatial Analyst).ArcGIS Resource Center, 2023.accessed on 25.02.2020, from:http://resources.arcgis.com. [百度学术]
-
[24]
L.K.Wiginton, H.T.Nguyen, J.M.Pearce, Quantifying rooftop solar photovoltaic potential for regional renewable energy policy,Comput.Environ.Urban Syst.34 (2010) 345-357. [百度学术]
-
[25]
N.M.Chivelet, Integracio´n de la energı´a fotovoltaica en edificios,Progensa, 2011. [百度学术]
-
[26]
Statista Research Department, Statista, 2023.Retrieved from https://fr.statista.com/a-propos/notre-engagement-pour-larecherche. [百度学术]
-
[27]
Global Petrol Prices, Electricity prices - Morocco, 2023.https://fr.globalpetrolprices.com/Morocco/electricity_prices/. [百度学术]
-
[28]
International Energy Agency, Energy Statistics and Balances of Non-OECD Countries and Energy Statistics of Member Countries of OECD, IEA Statistics, 2015.https://iea.org/stats/index.asp. [百度学术]
-
[29]
T.Go´mez-Navarro, T.Brazzini, D.Alfonso-Solar, C.Vargas-Salgado, Analysis of the potential for PV rooftop prosumer production: Technical, economic and environmental assessment for the city of Valencia (Spain),Renew.Energy 174(2021)372-381. [百度学术]
-
[30]
H.N.Afrouzia, S.V.Mashaka, Z.Abdul-Maleka, K.Mehranzamira, B.Salimia, Solar array and battery sizing for a photovoltaic building in Malaysia, J.Teknol.(Sci.Eng.) 64 (2013)79-80. [百度学术]
-
[31]
V.Quaschning, Understanding Renewable Energy Systems.2,Earthscan/Routledge London, London, 2016, ISBN 978-1844071289. [百度学术]
-
[32]
HCP, Haut-Commissariat au Plan, Direction Re´gionale de l’Oriental.Monographie de la province de Nador.Royaume du Maroc, 2017.Retrieved from http://www.hcp.ma/region-oriental. [百度学术]
-
[33]
World Bank, GDP (Current US$) - Morocco, 2024.https://donnees.banquemondiale.org/indicator/NY.GDP.MKTP.CD?locations=MA. [百度学术]
-
[34]
World Bank, CO2 emissions (kt) - Morocco,2023.https://donnees.banquemondiale.org/indicator/EN.ATM.CO2E.KT?locations=MA. [百度学术]
Fund Information
